vinhtuong đăng vào lúc 13/02/2023 - 09:15
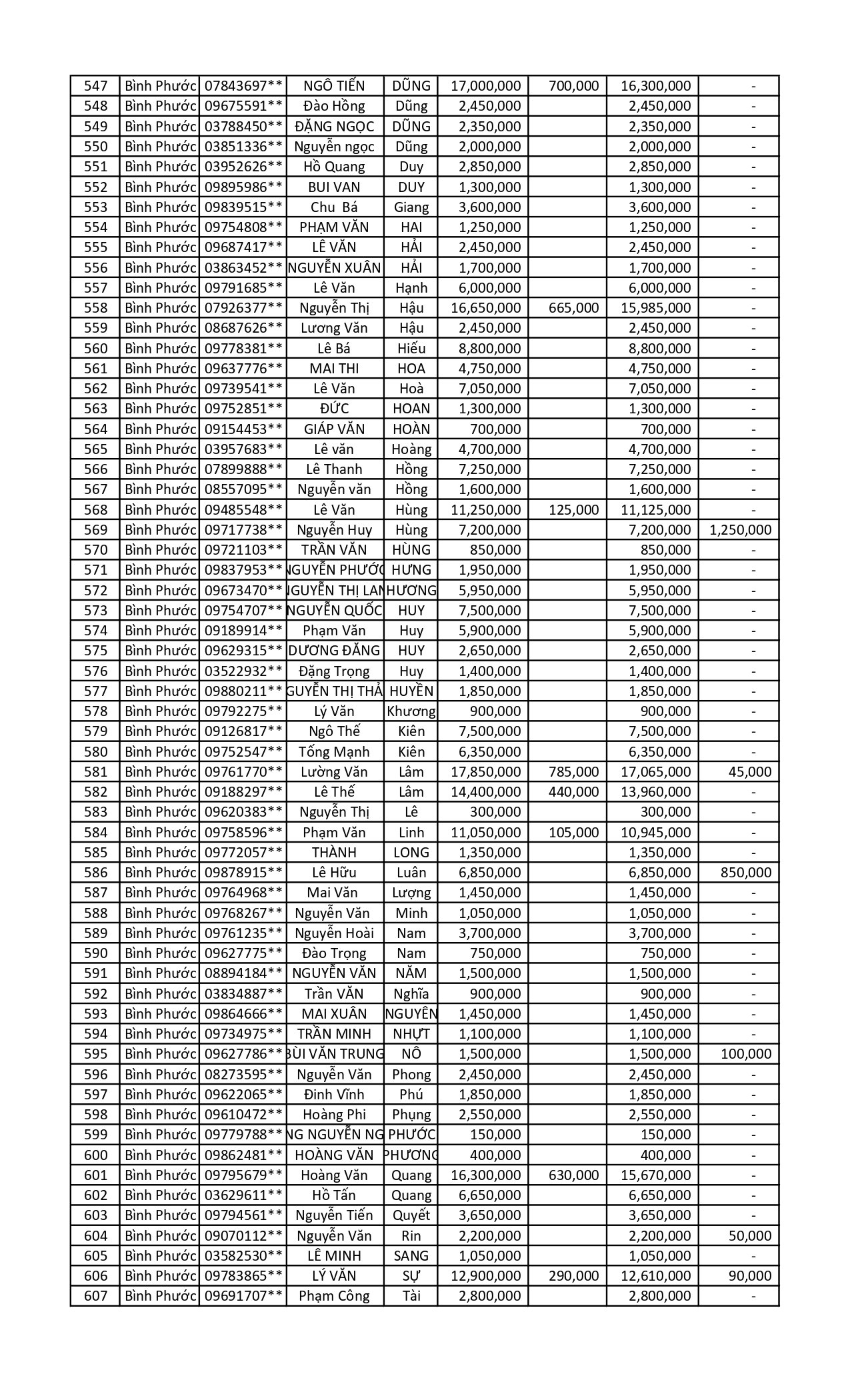
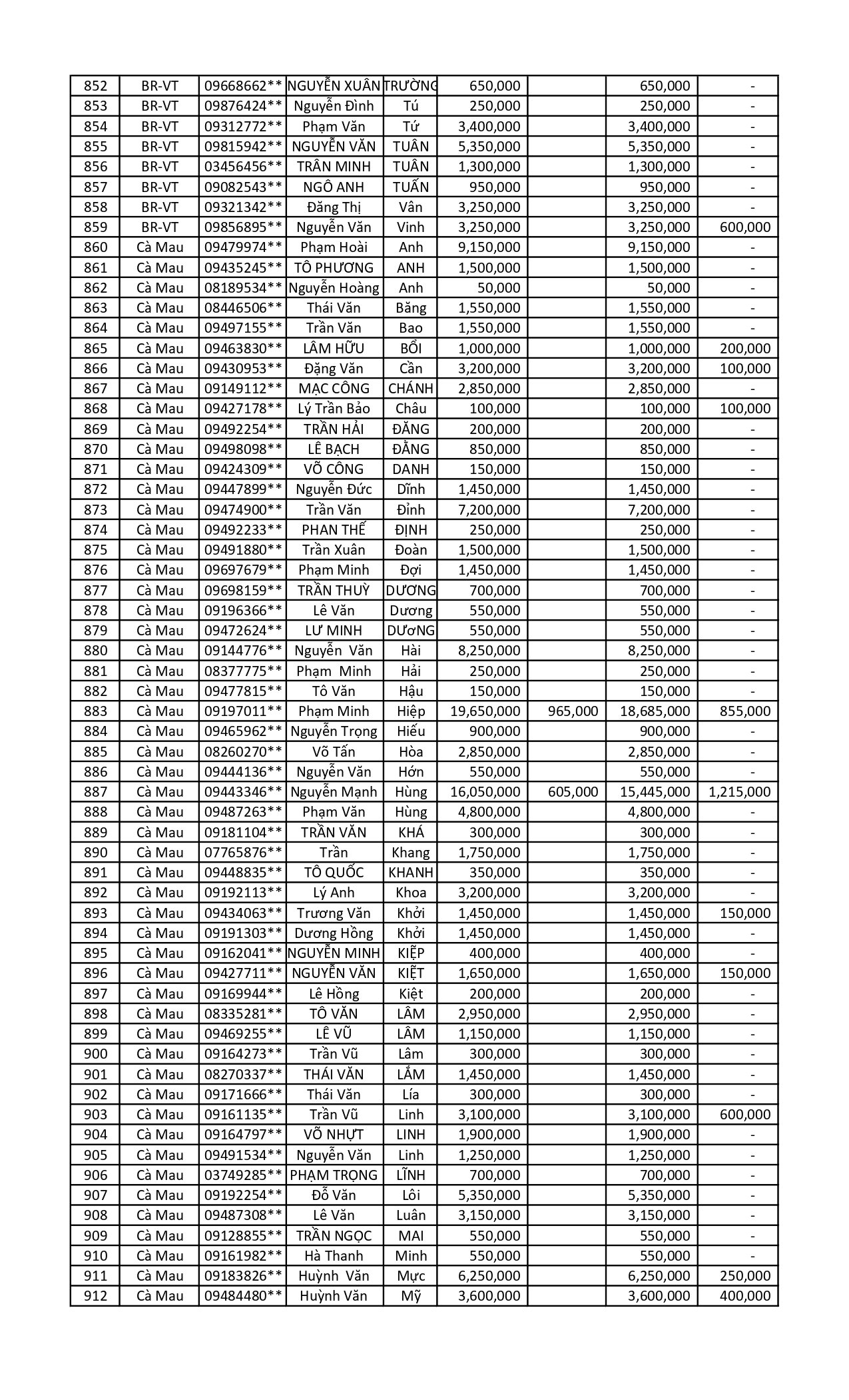
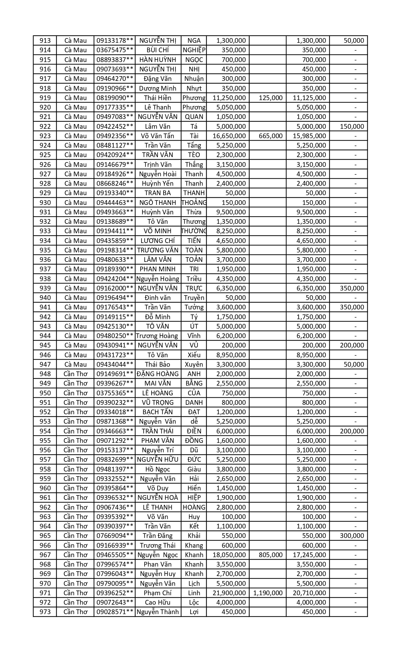
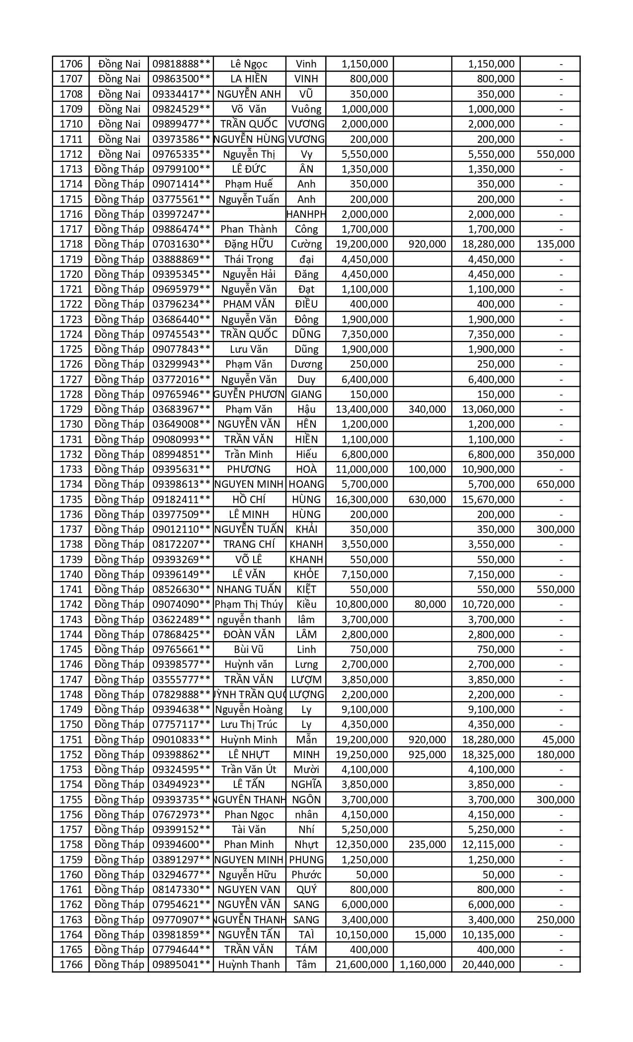
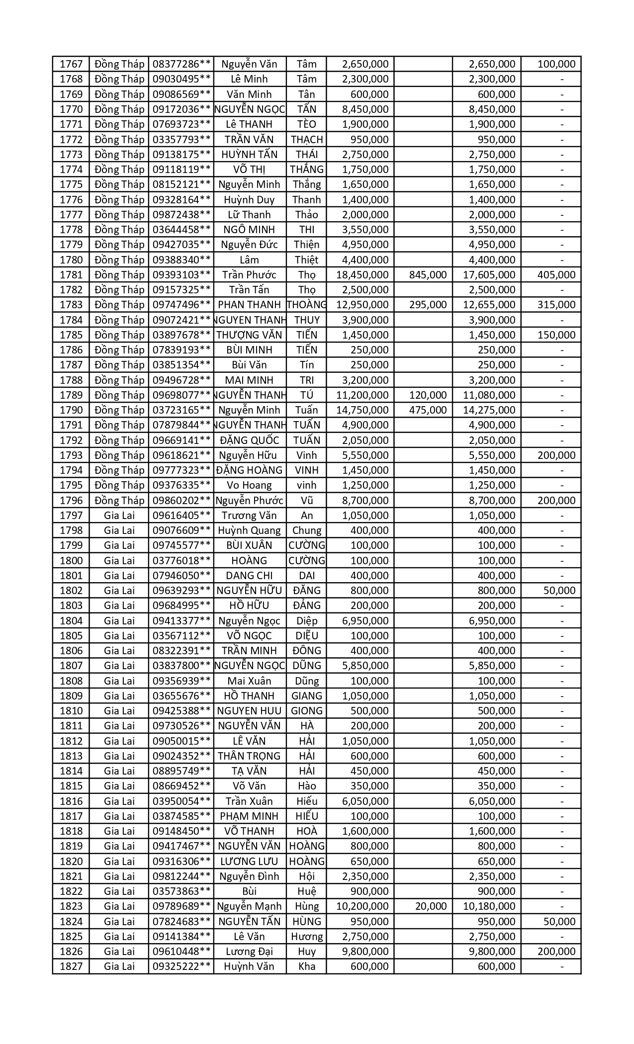
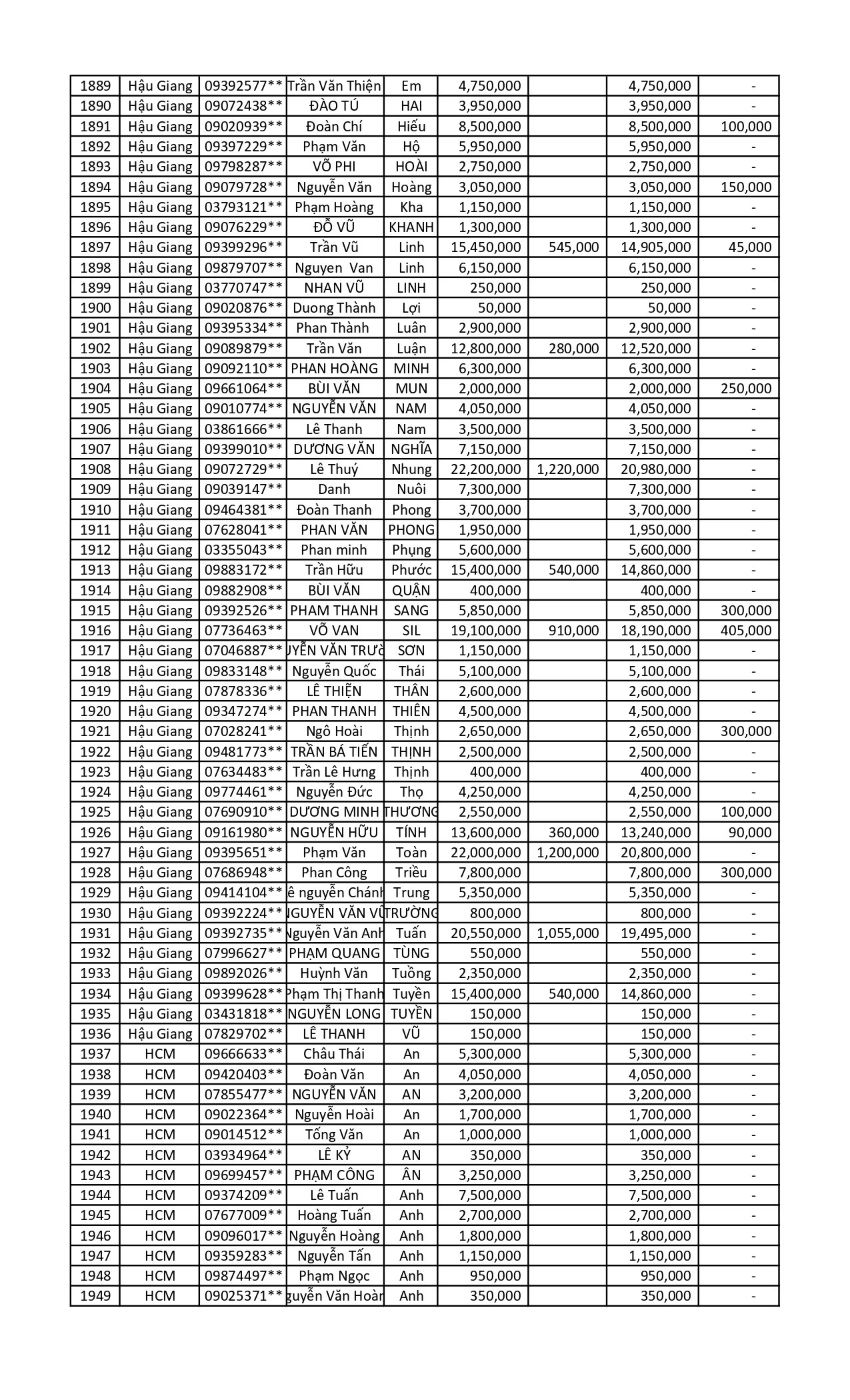
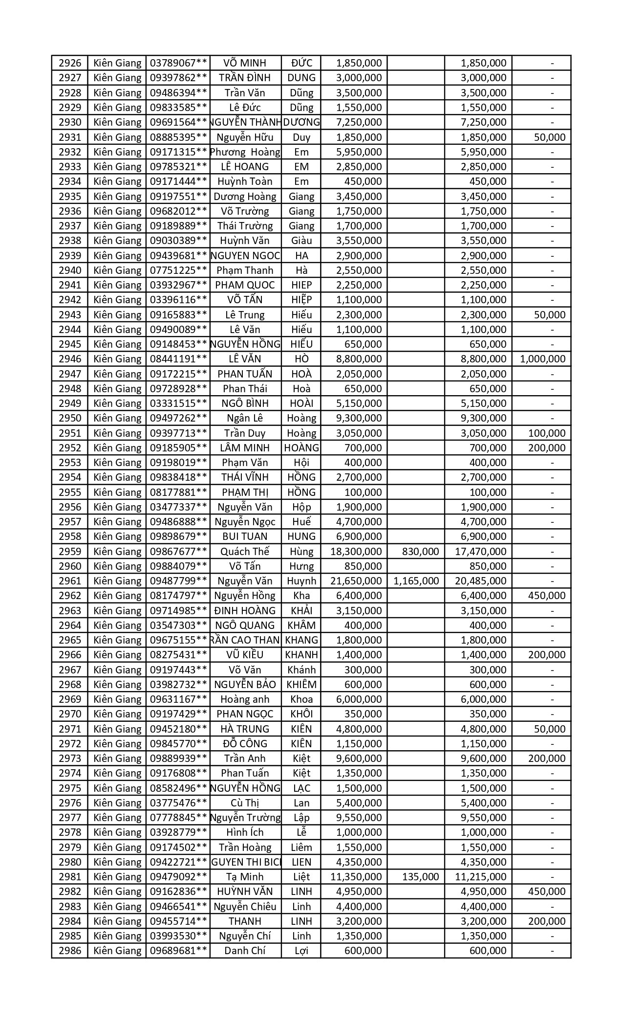
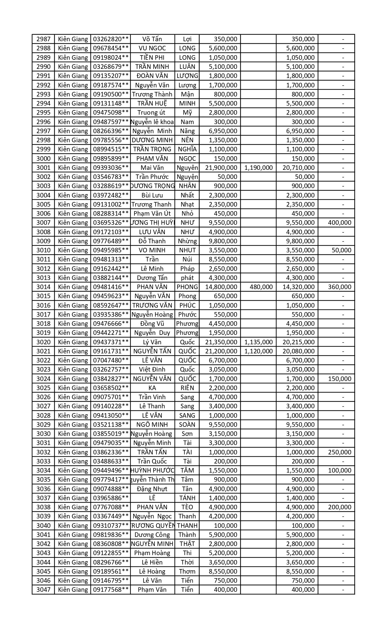
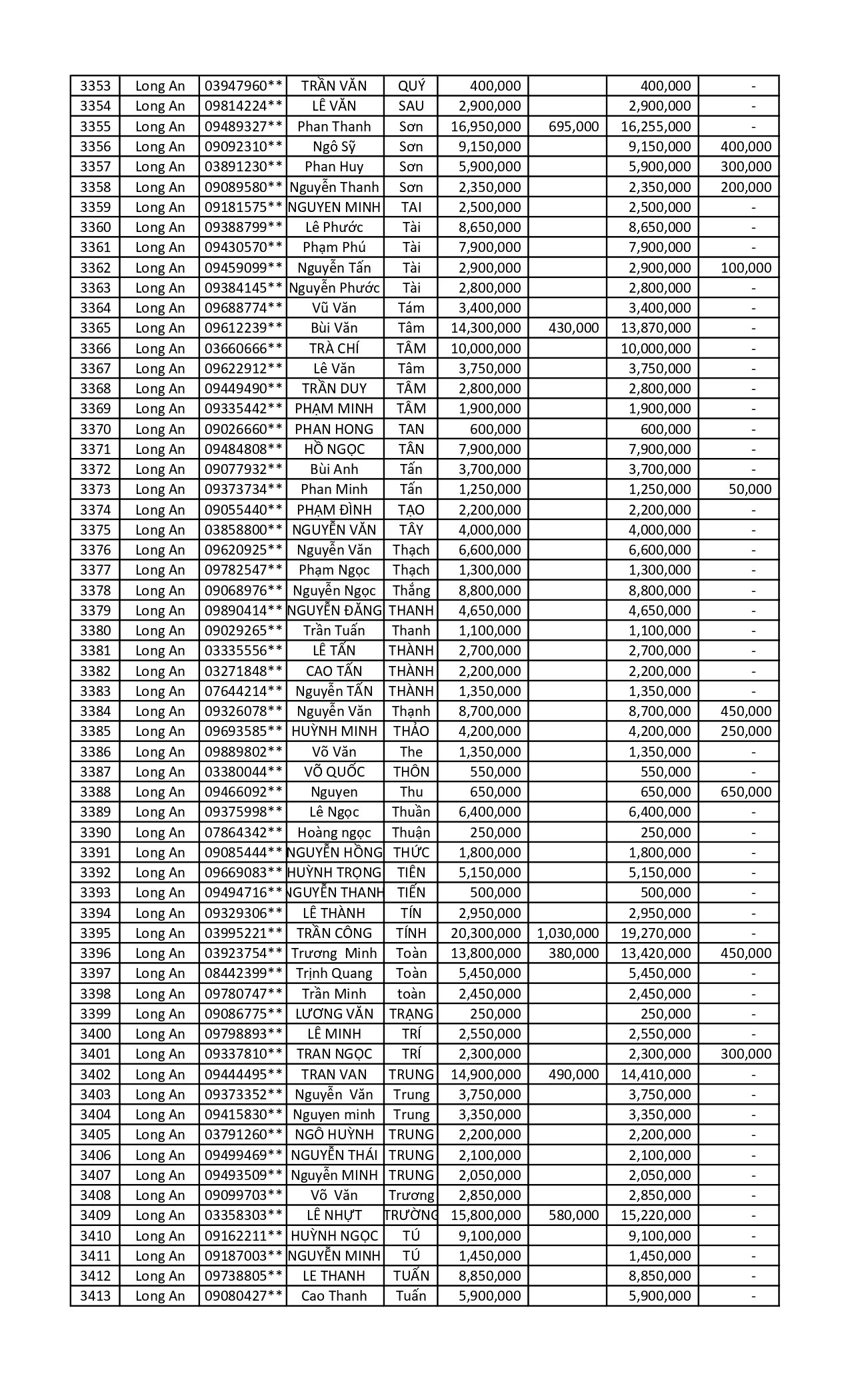
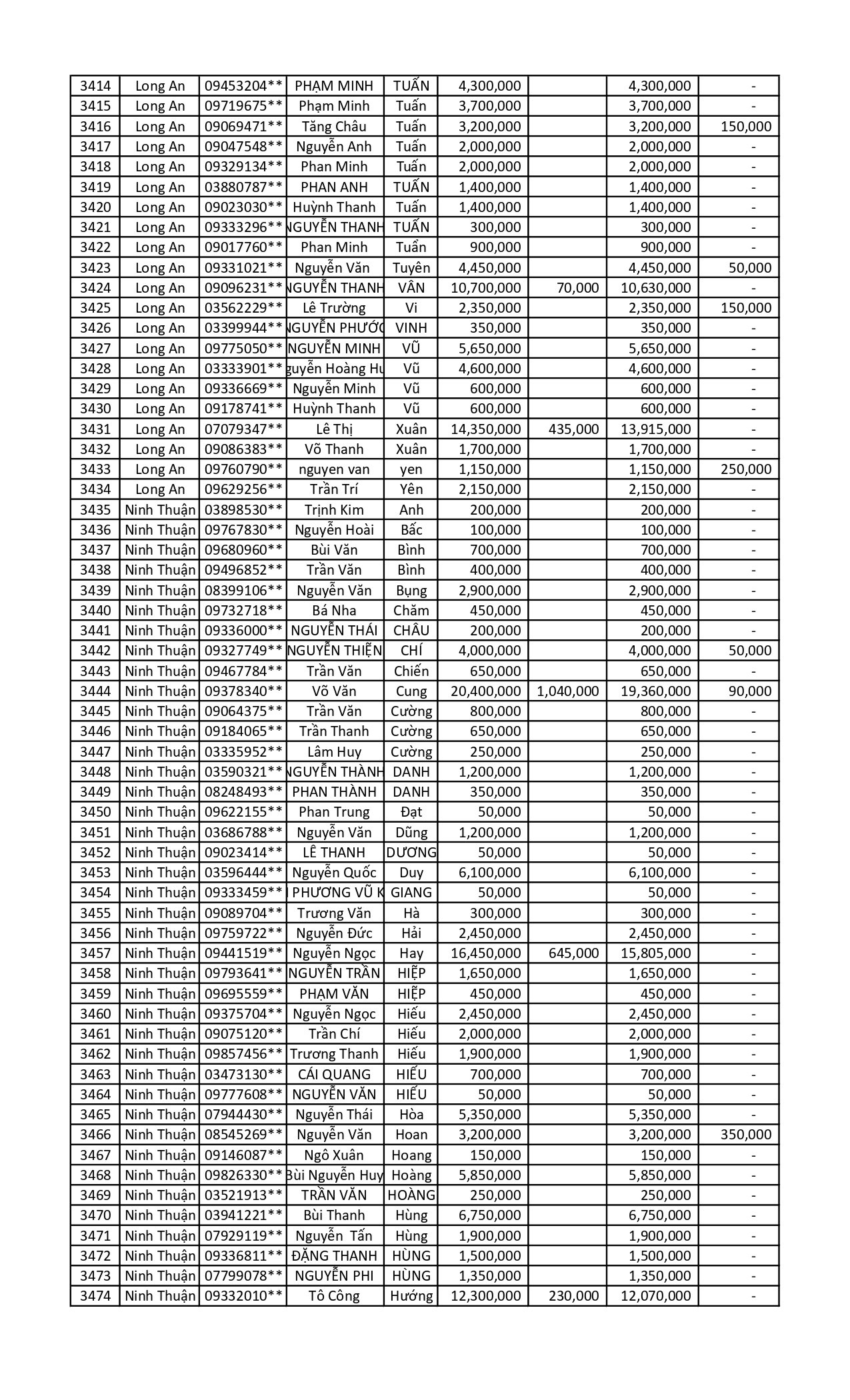
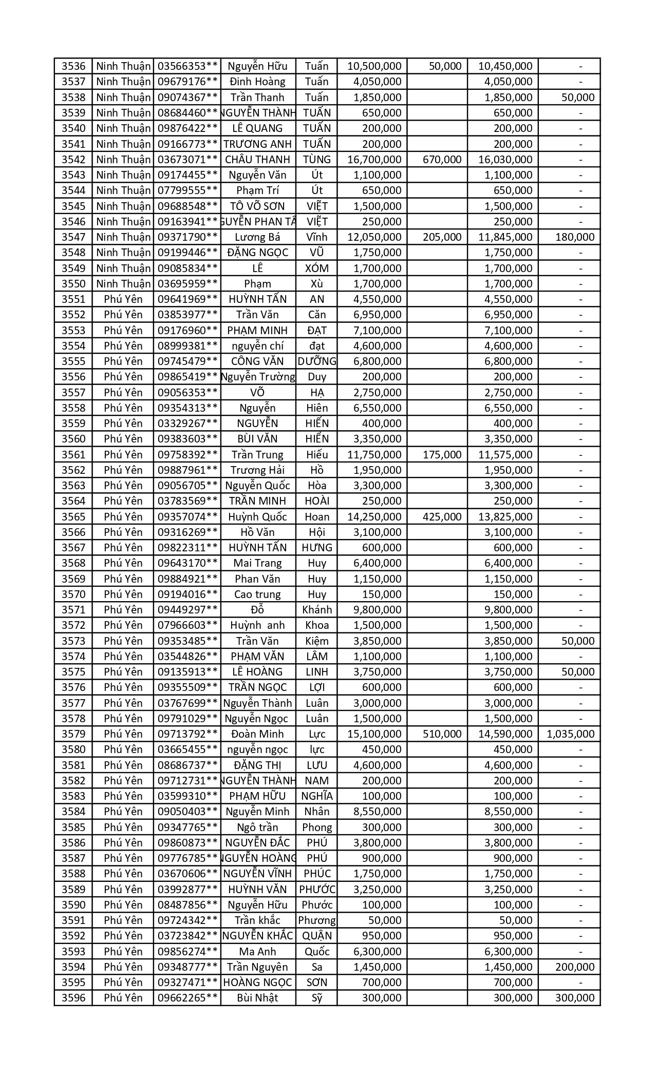
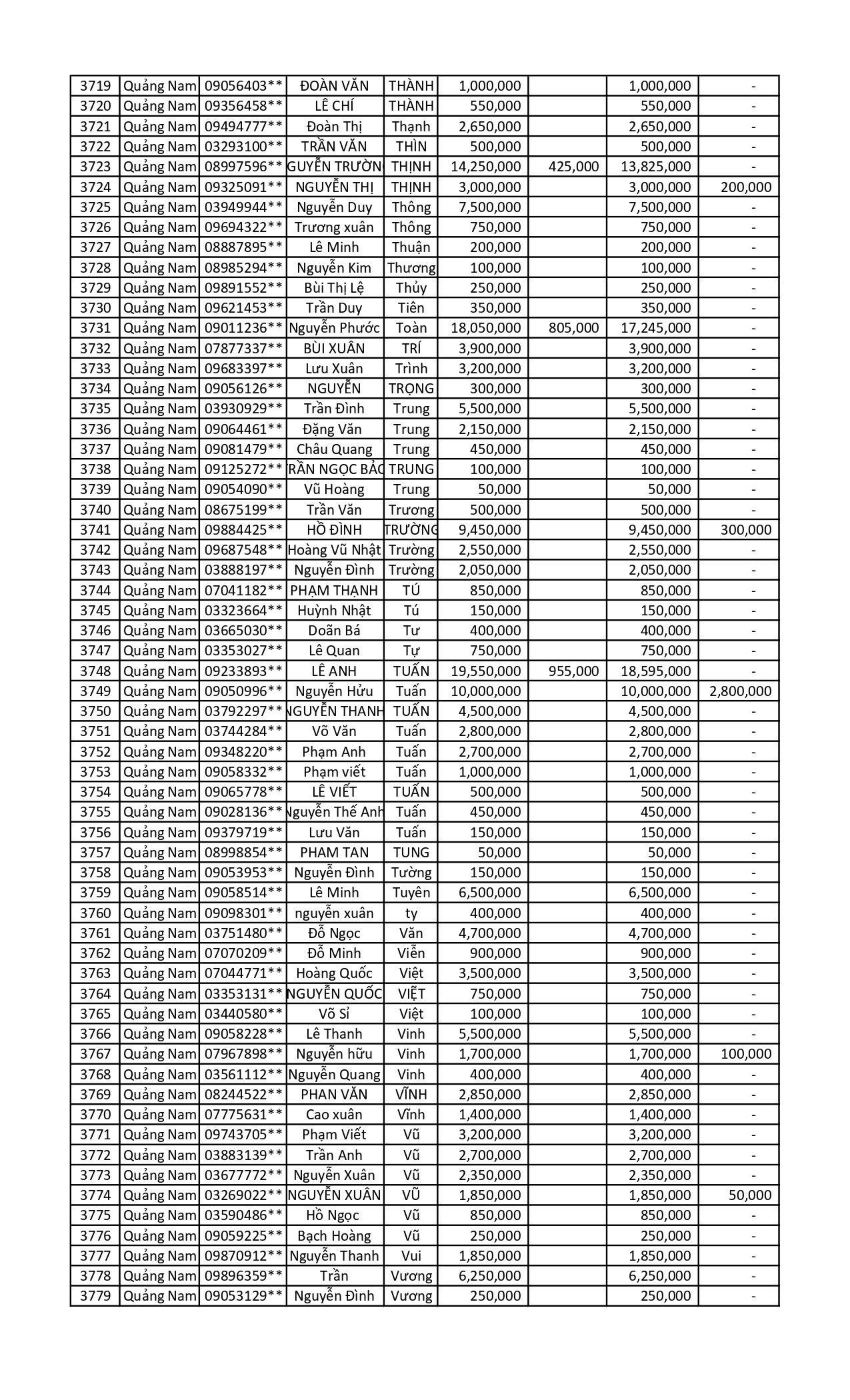
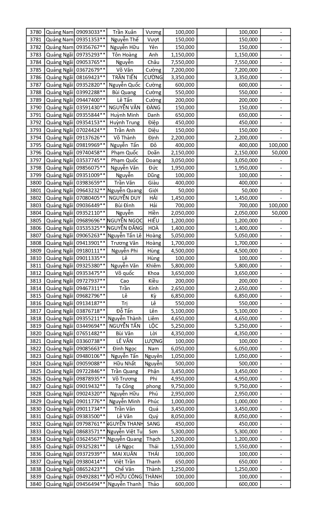
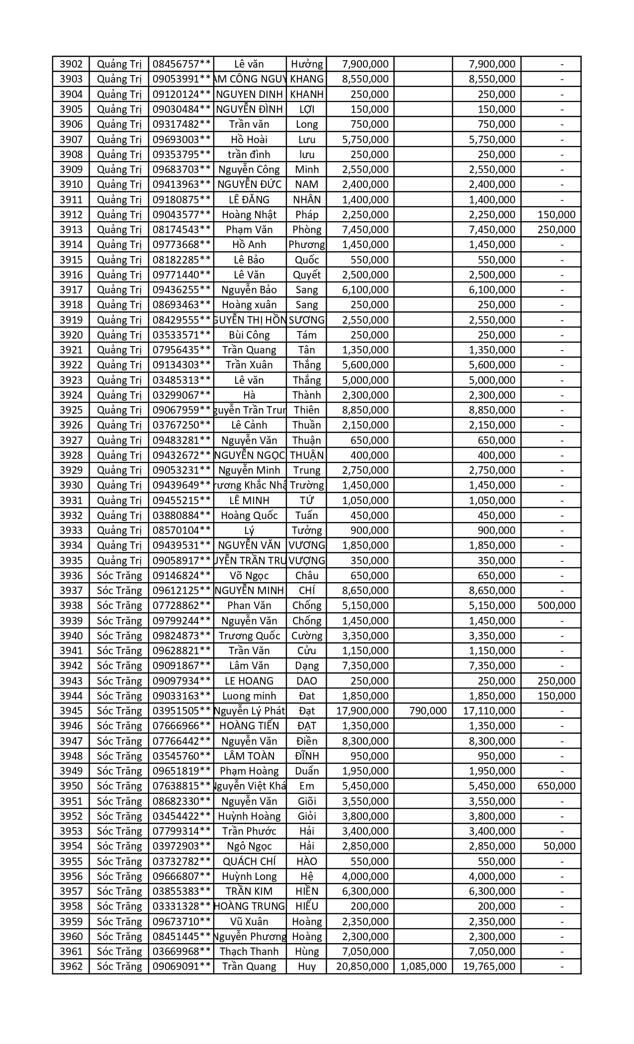
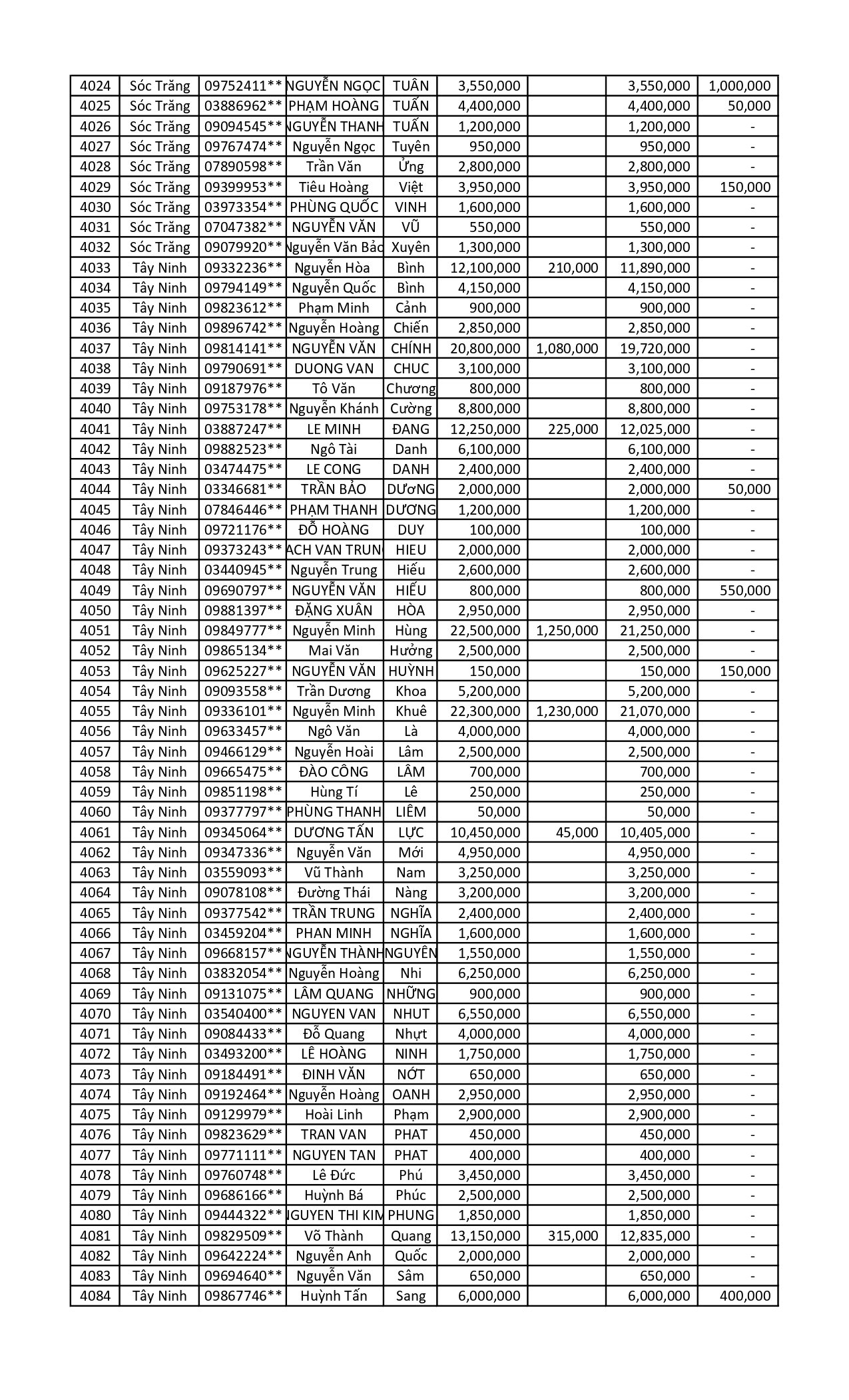
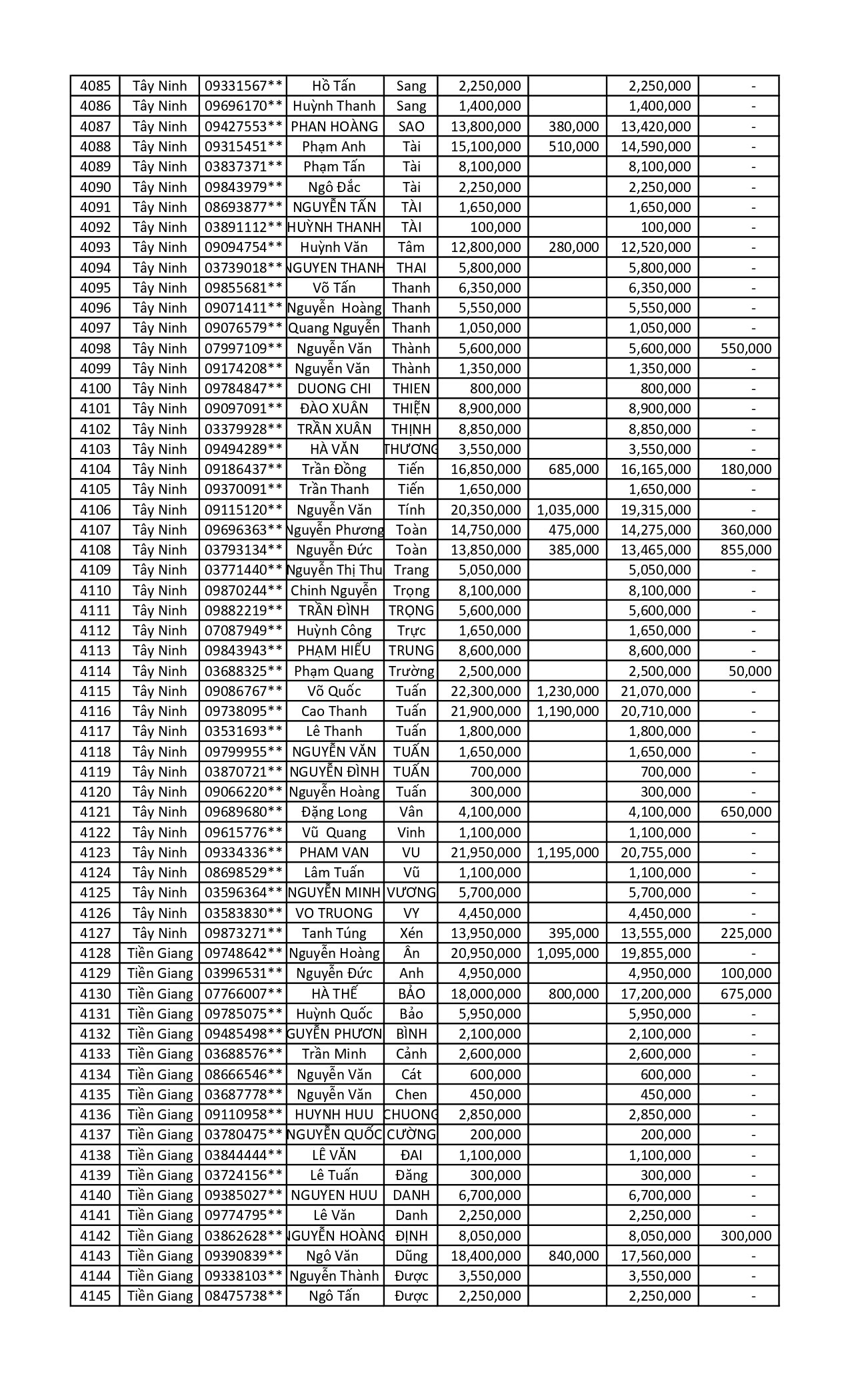
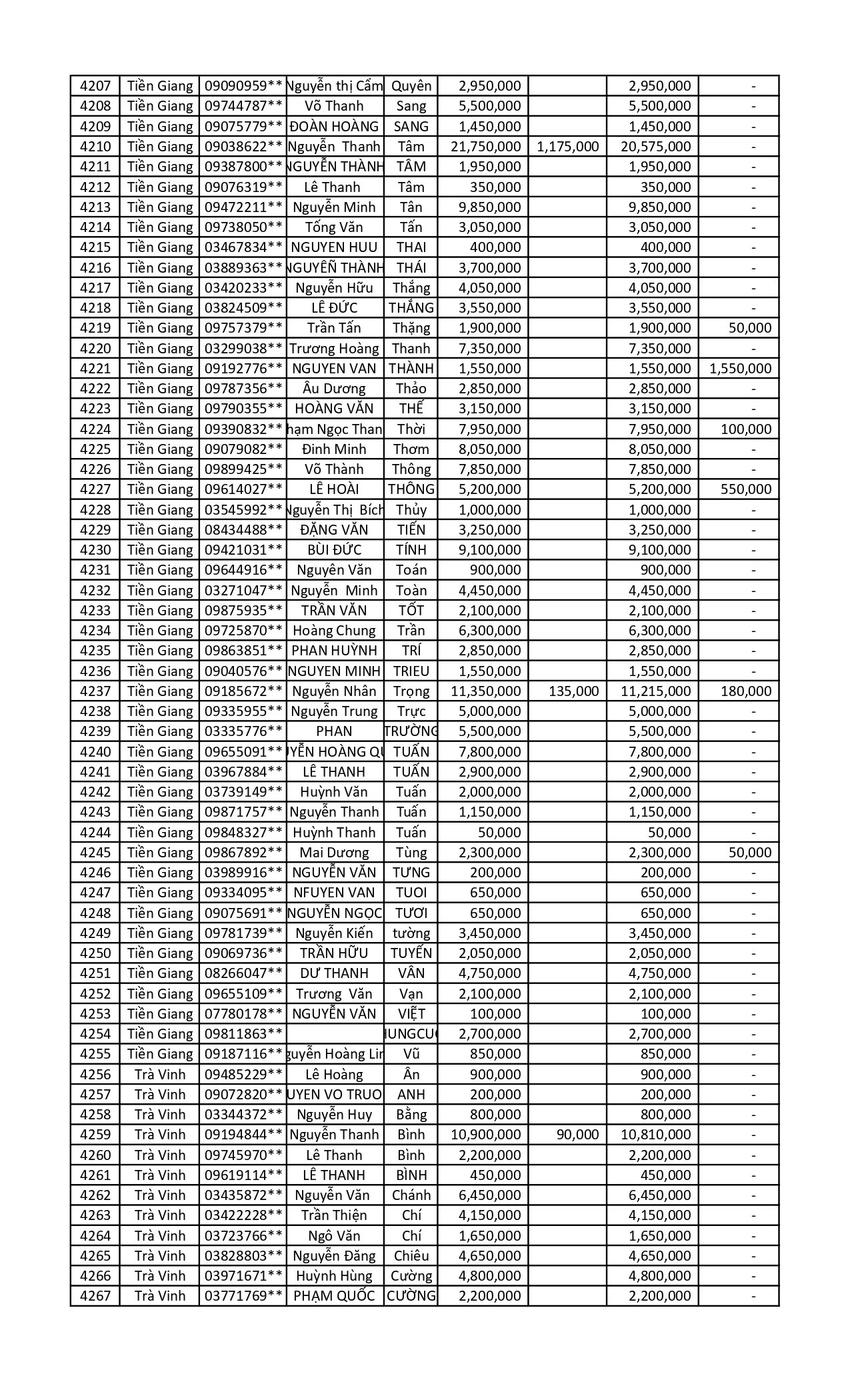
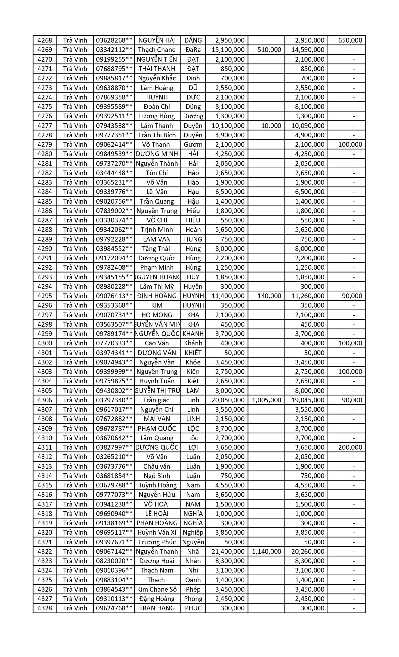
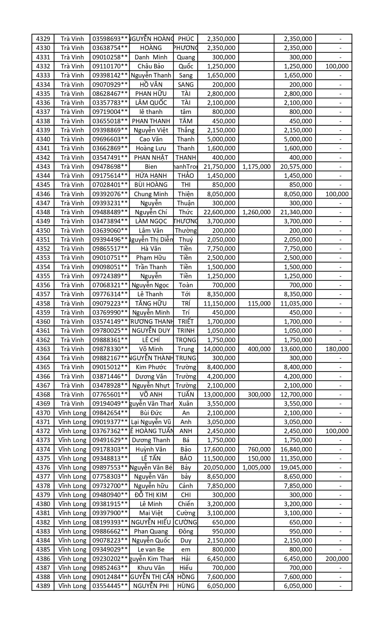
KẾT QUẢ CTKM "LẮC LỘC VÀNG" 18.10.2022 - 10.01.2023
KẾT QUẢ CTKM LẮC LỘC VÀNG 18.10.2022 - 10.01.2023
Vĩnh Tường cập nhật kết quả chương trình khuyến mãi Lắc Lộc Vàng từ 18.10.2022 đến 10.01.2023
- Thời gian: 18.10.2022 - 10.01.2023
- Phạm vi: từ Quảng Trị đến Cà Mau
- Đối tượng: Nhà Thầu 5 Sao
* Qùa tặng Phiếu mua hàng đợt 5 (01.01.2023 - 10.01.2023) sẽ được gửi đến các anh em Thầu/Thợ trong vòng 15 ngày, kể từ ngày công bố kết quả.



















































































