vinhtuong đăng vào lúc 14/07/2023 - 15:42
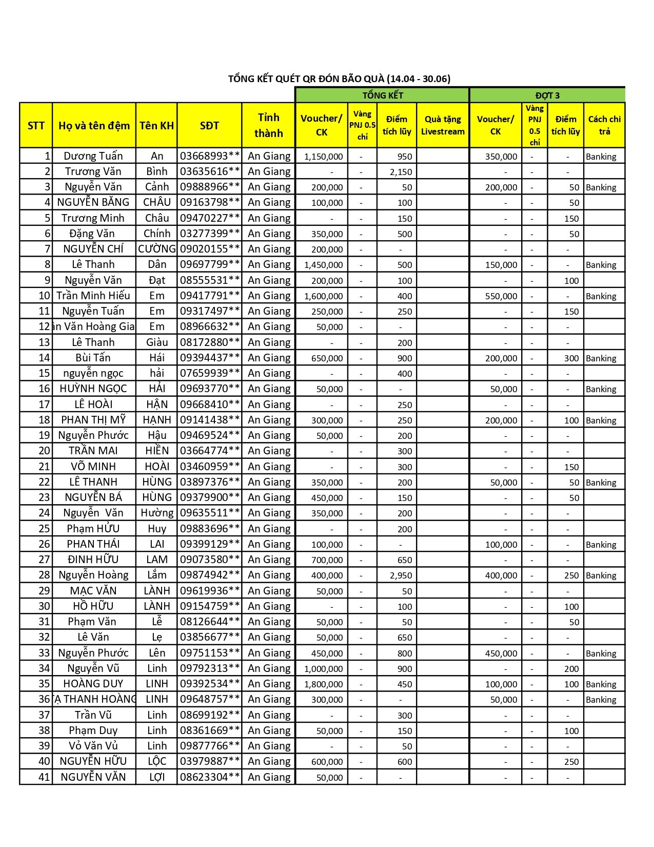
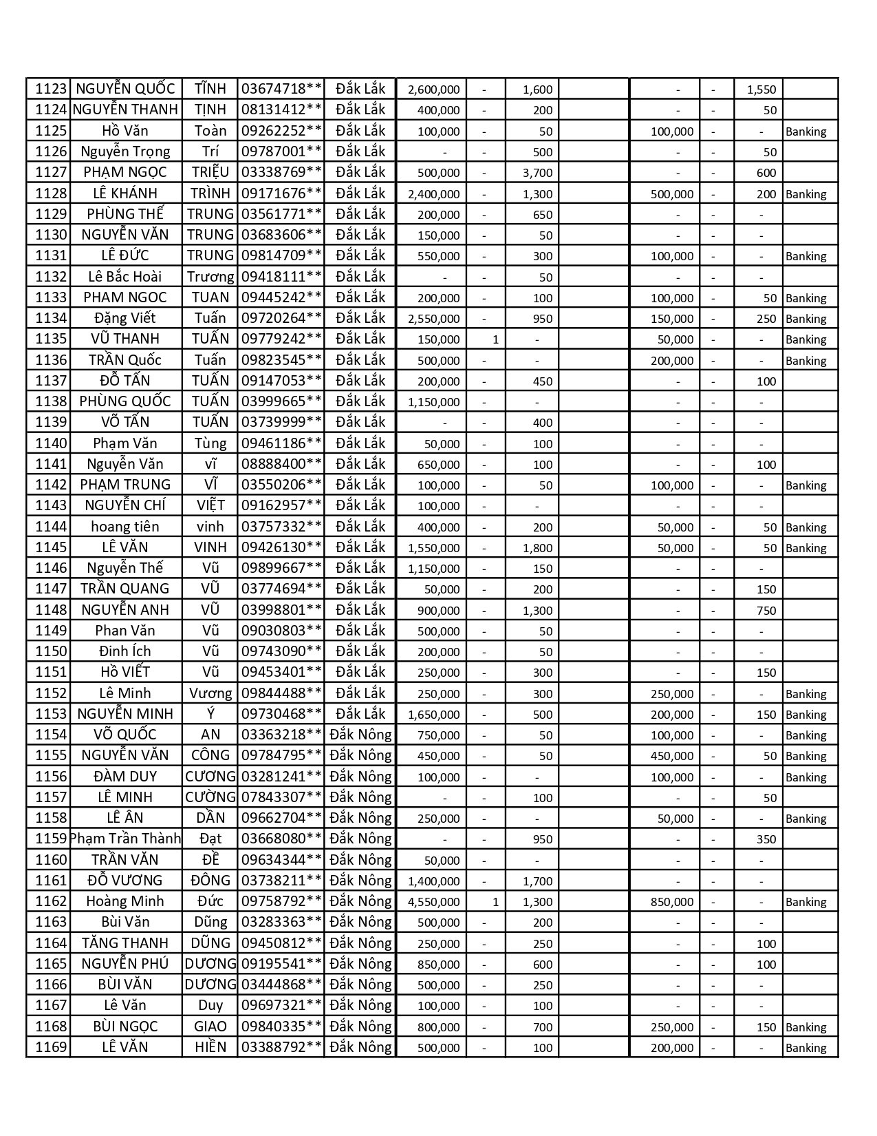
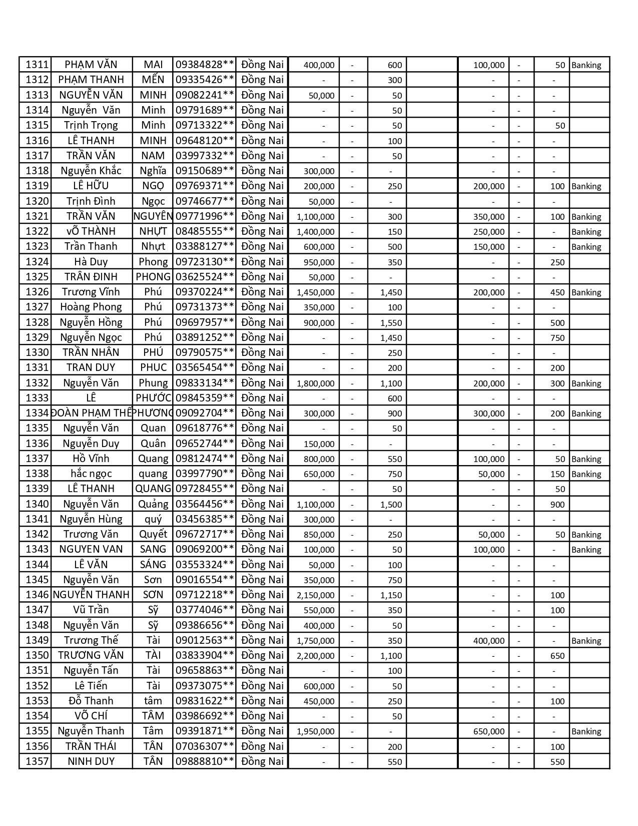
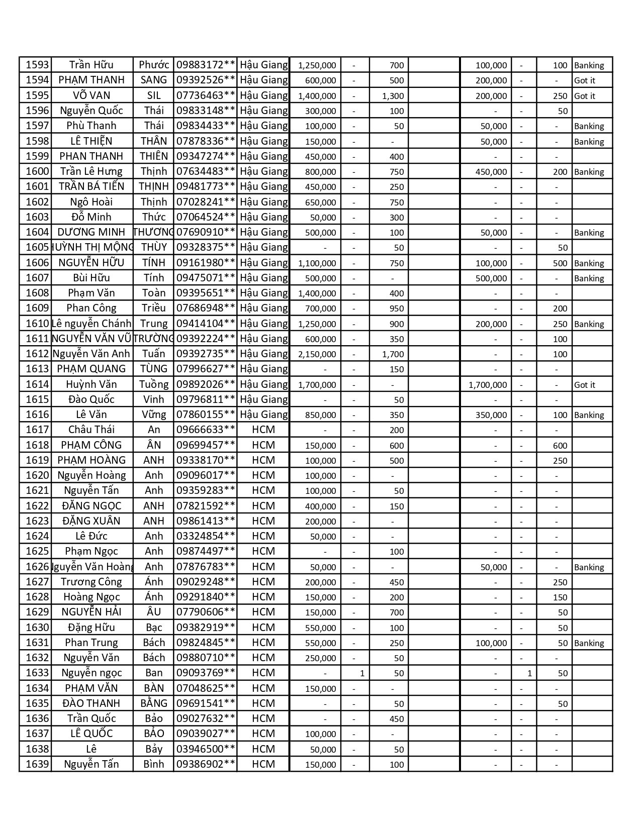
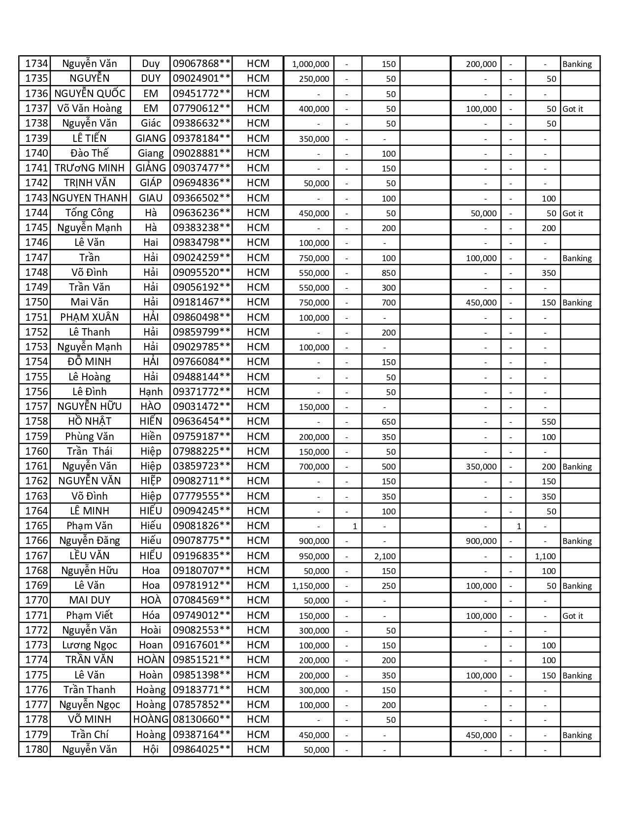
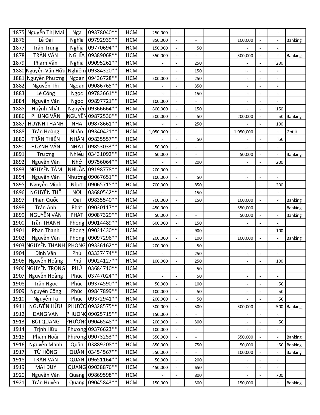
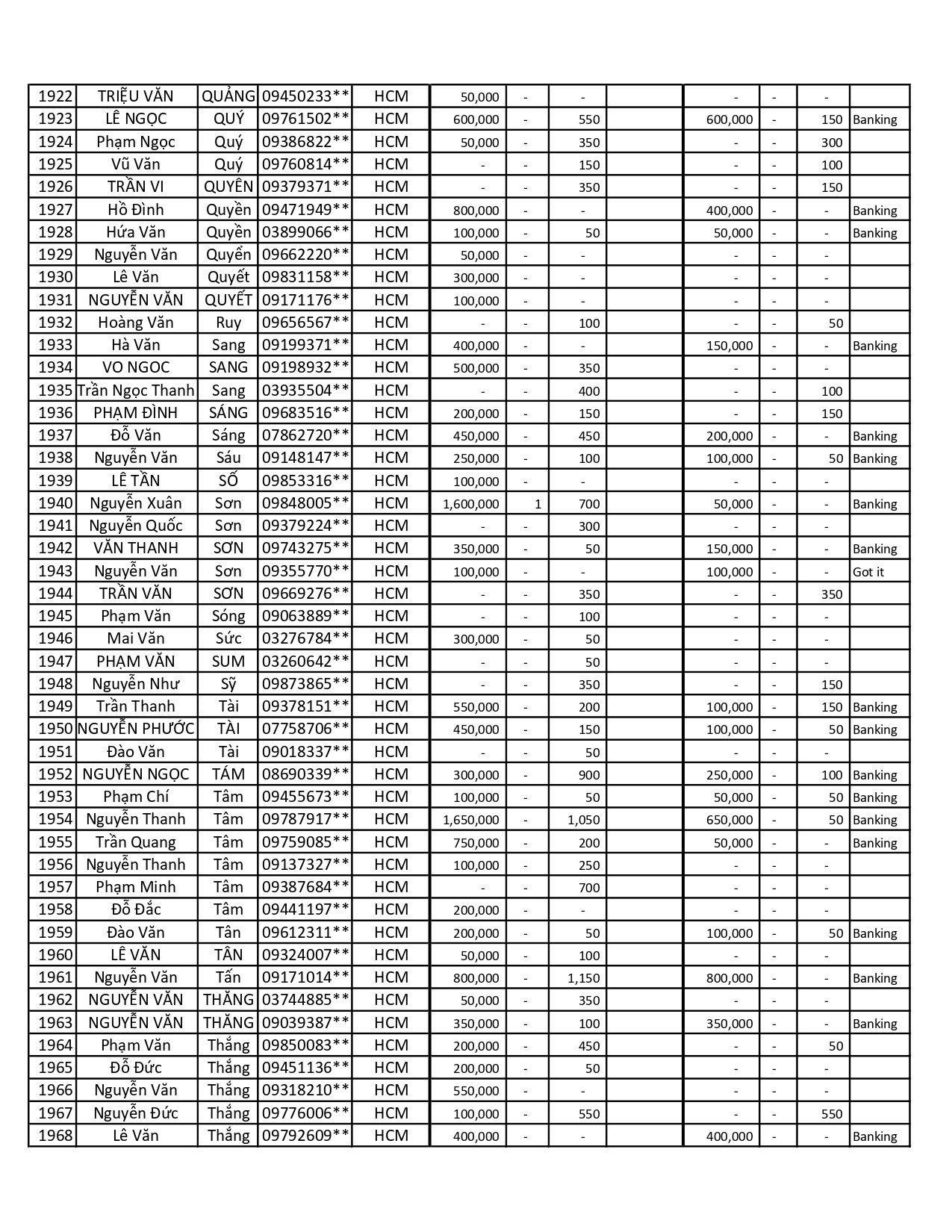
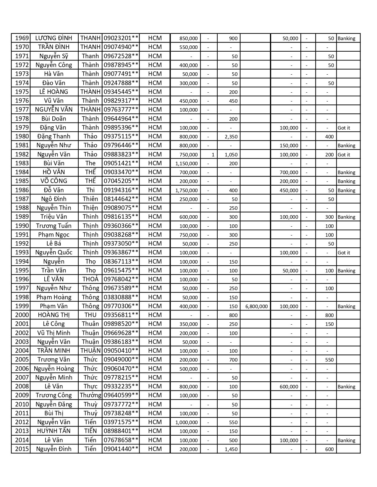
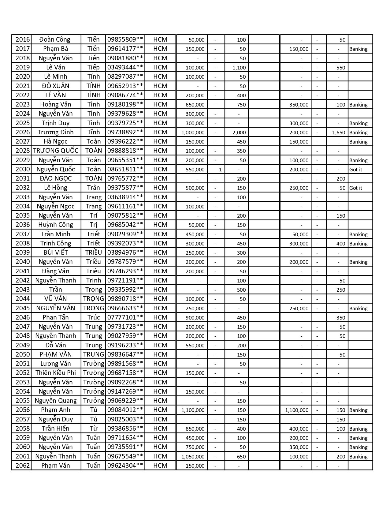
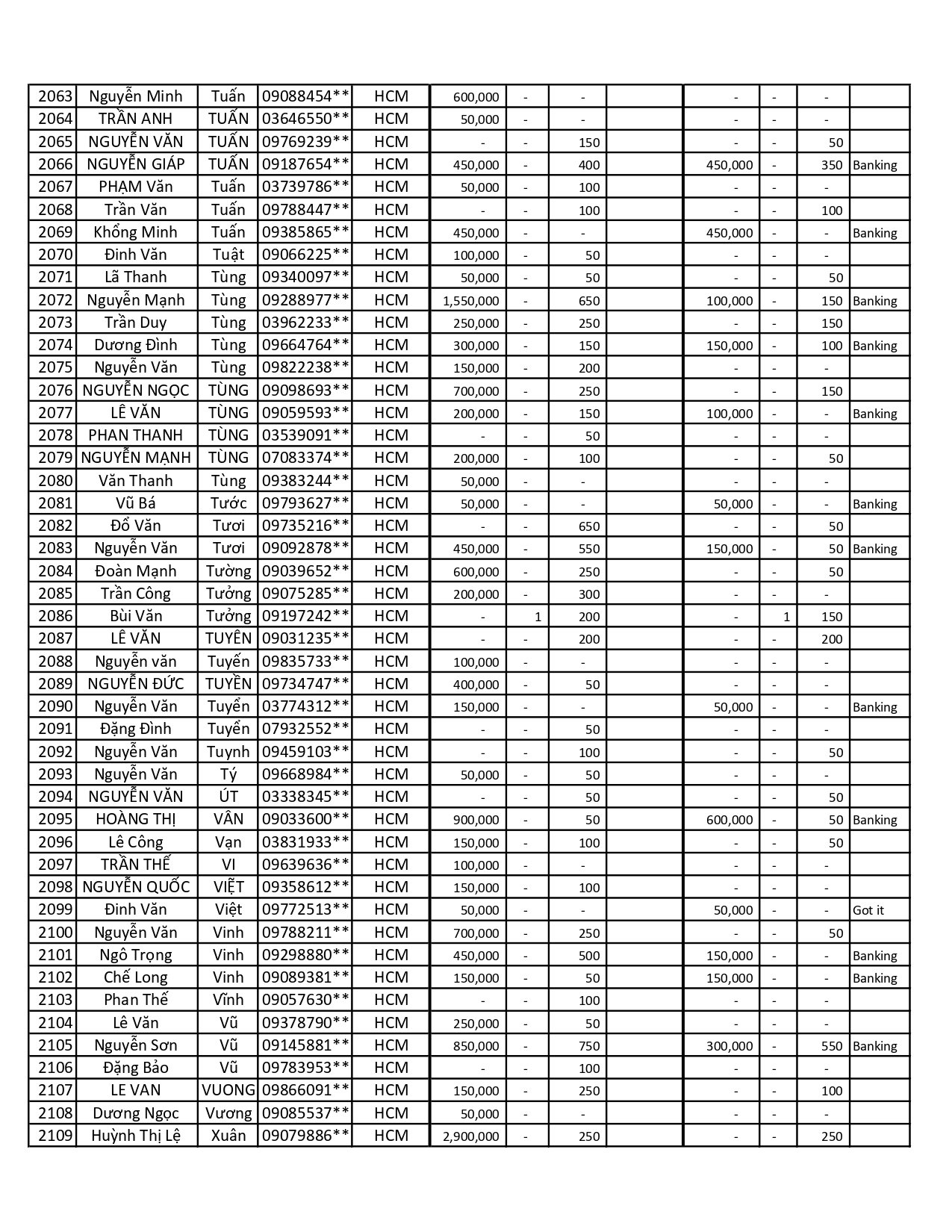
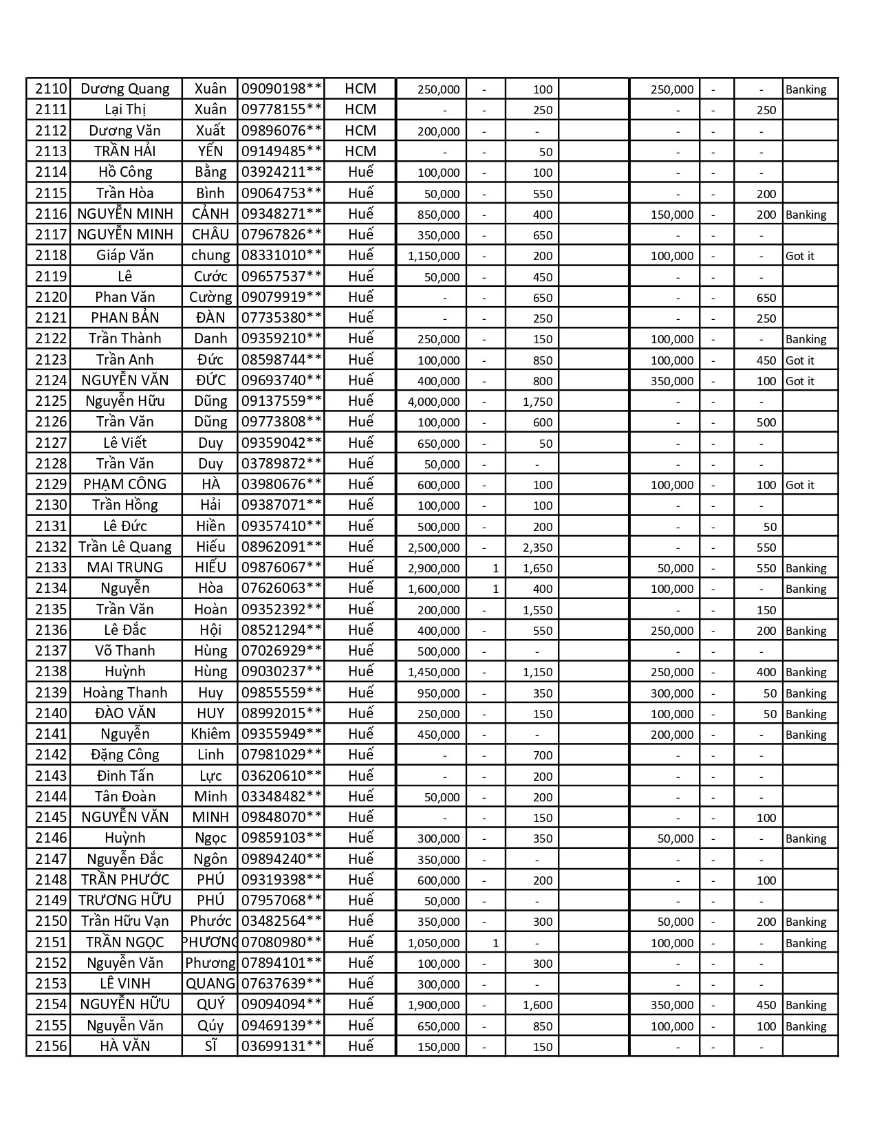
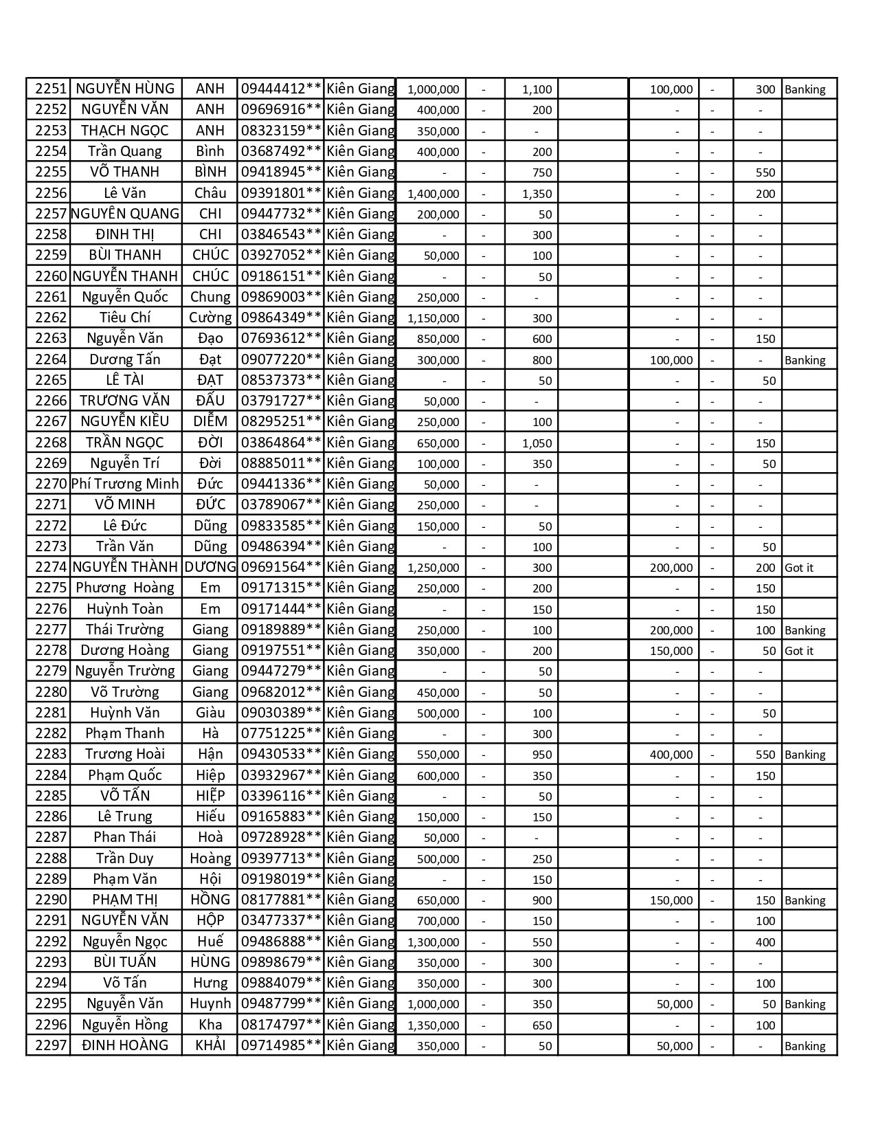
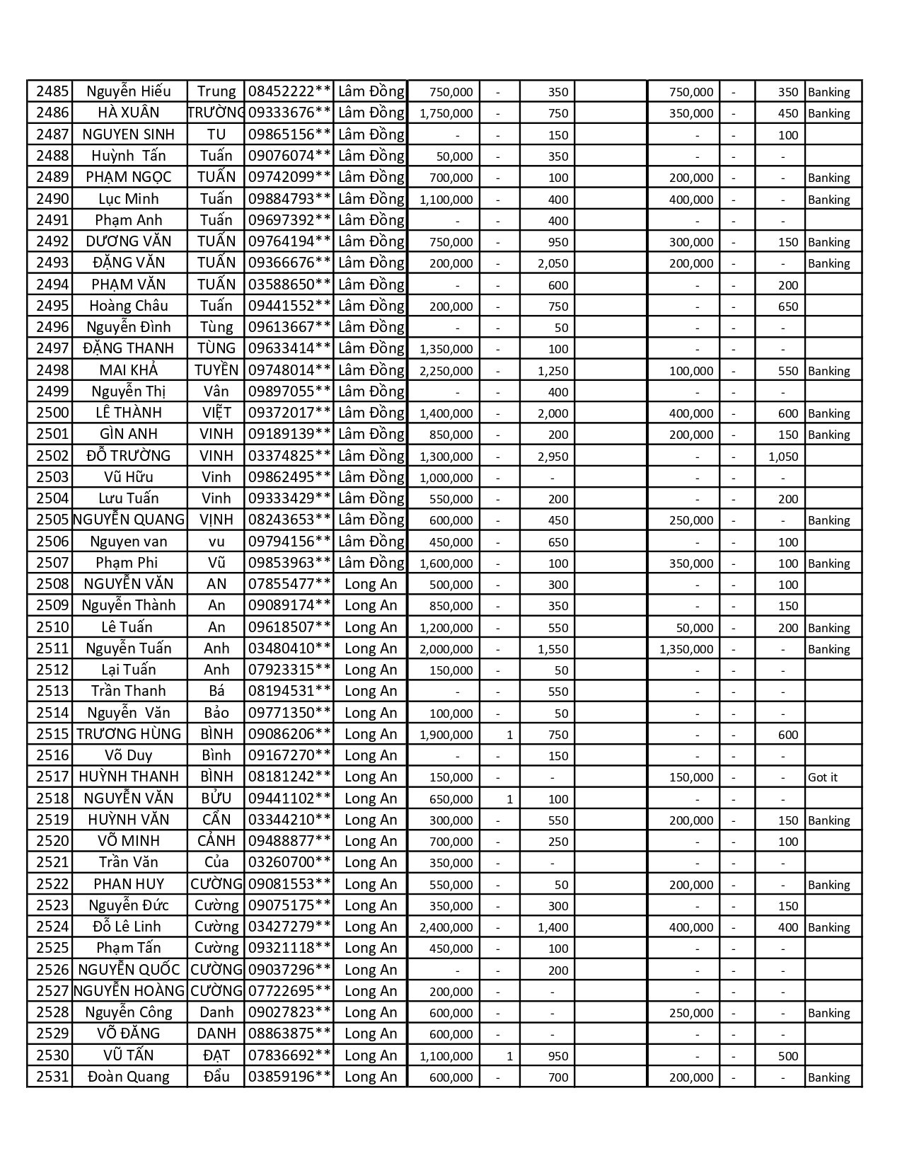
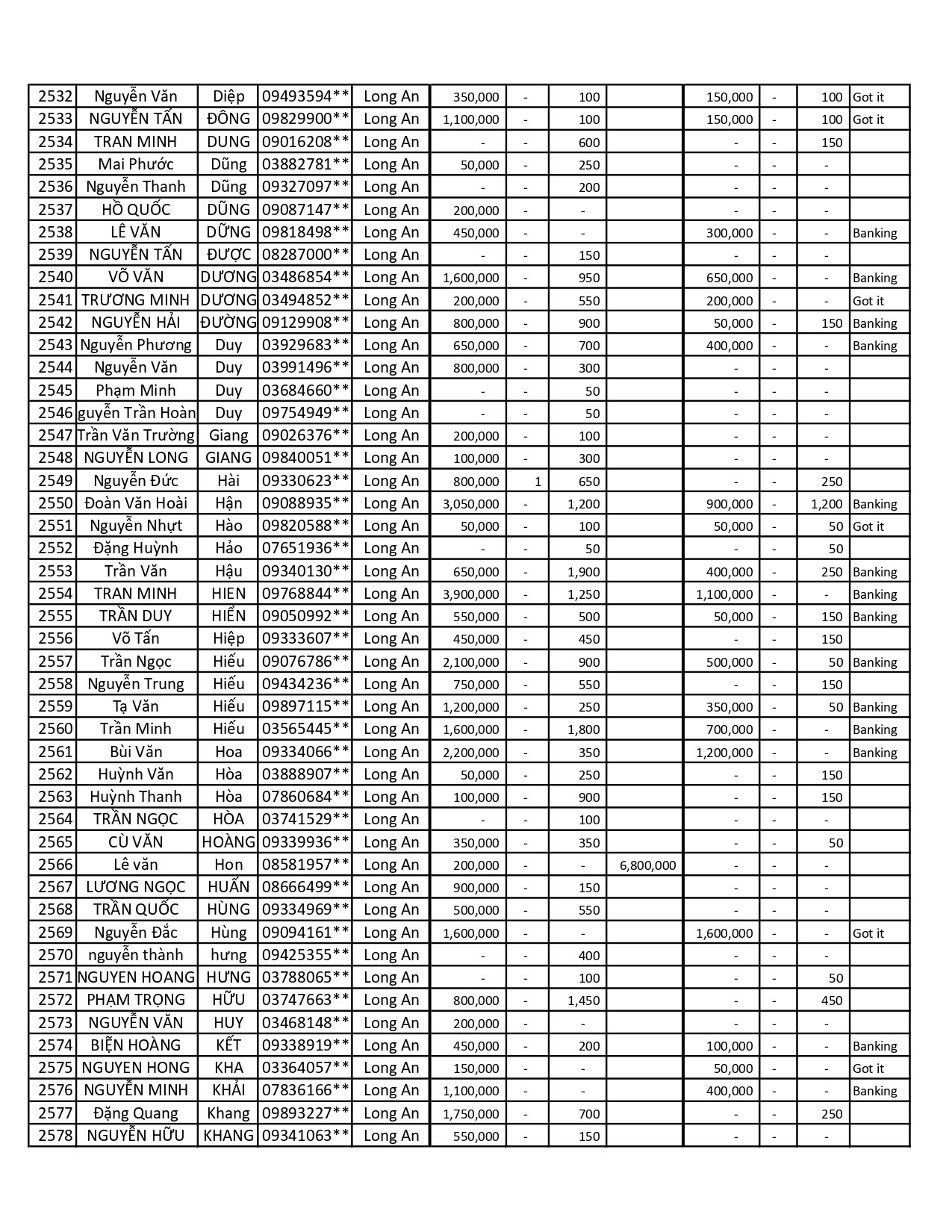
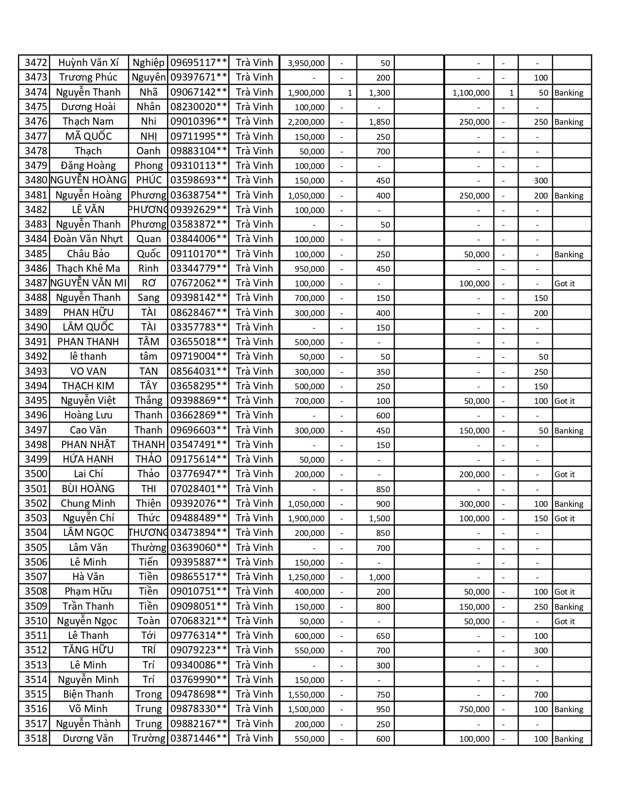
KẾT QUẢ "QUÉT QR - ĐÓN BÃO QUÀ" 16.06.2023 ĐẾN 30.06.2023
KẾT QUẢ QUÉT QR - ĐÓN BÃO QUÀ 16.06.2023 ĐẾN 30.06.2023
Vĩnh Tường cập nhật đến quý anh em thầu thợ kết quả CTKM Quét QR - Đón Bão Quà từ 16.06.2023 đến 30.06.2023.
- Với quà tặng là Phiếu mua hàng/ Chuyển khoản, Quà tặng sẽ được chuyển đến khách hàng muộn nhất là 15 ngày sau ngày công bố kết quả.
- Với quà tặng là vàng, Giấy giới thiệu sẽ được chuyển đến khách hàng muộn nhất là 30 ngày sau ngày công bố kết quả.























































































