vinhtuong đăng vào lúc 14/03/2024 - 17:03
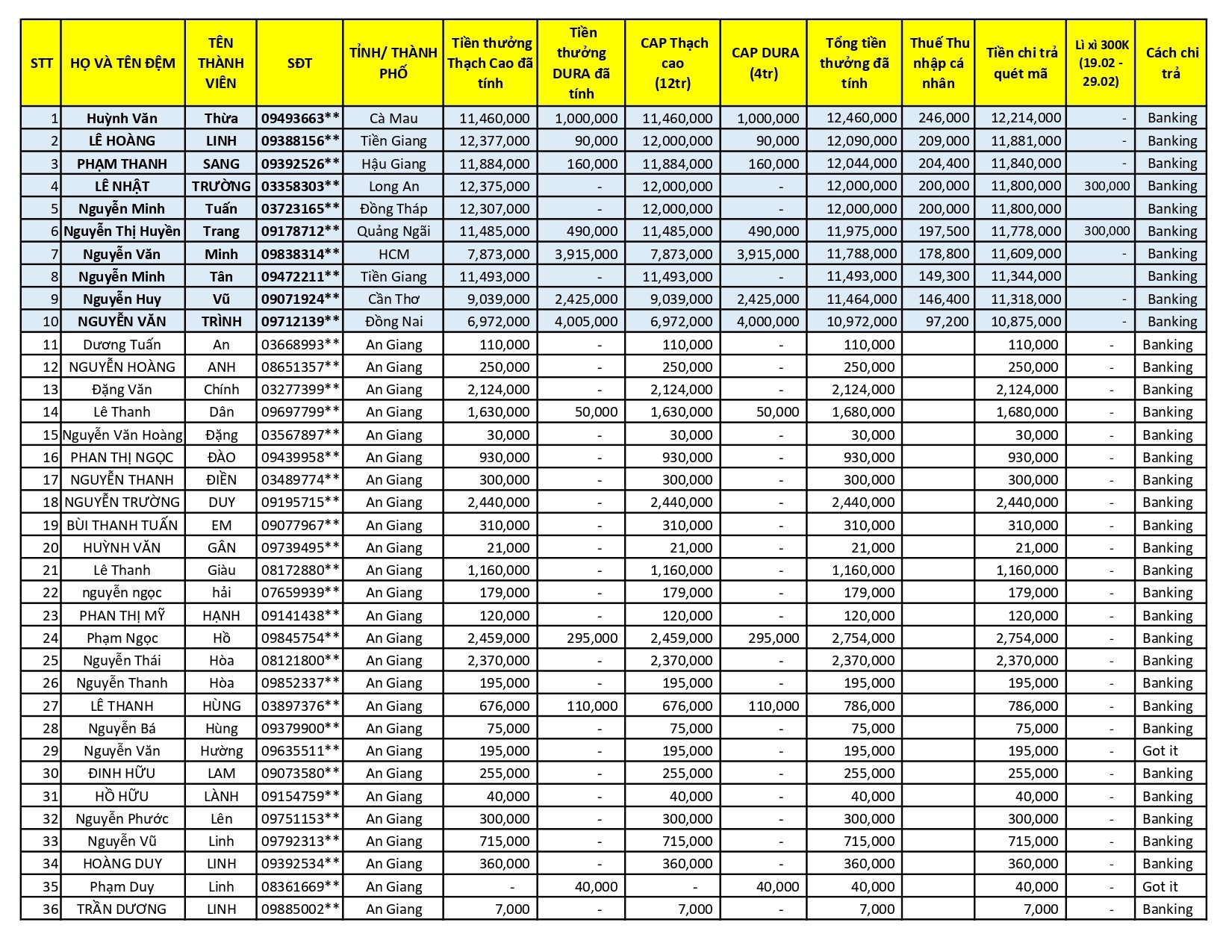
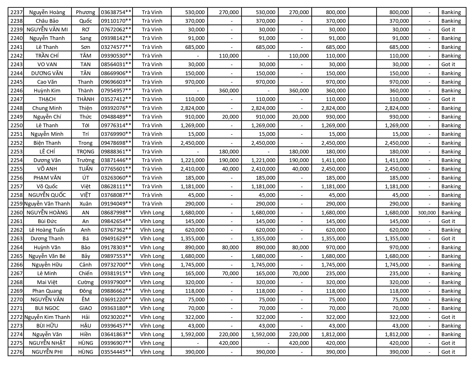
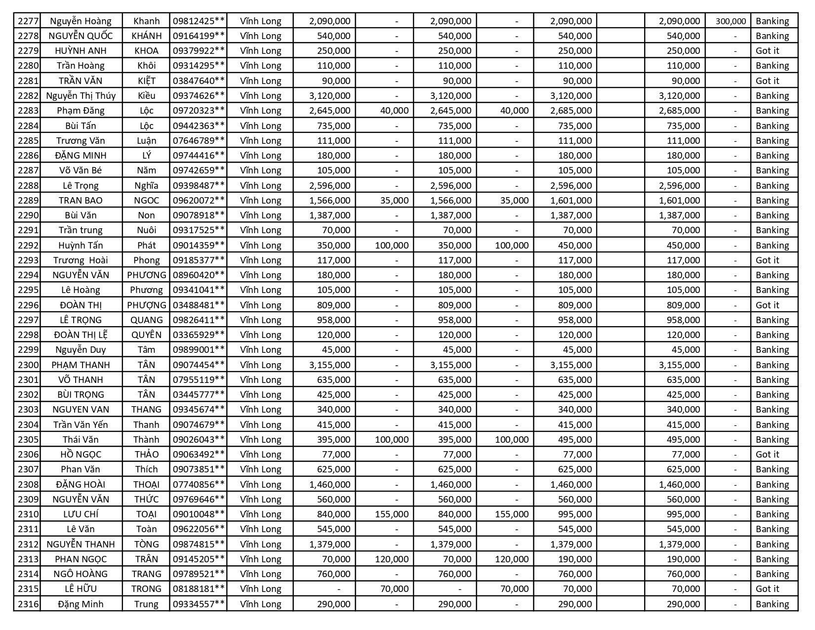
[MIỀN NAM] KẾT QUẢ KHAI XUÂN ĐẮC LỘC 01.02.2024 - 29.02.2024
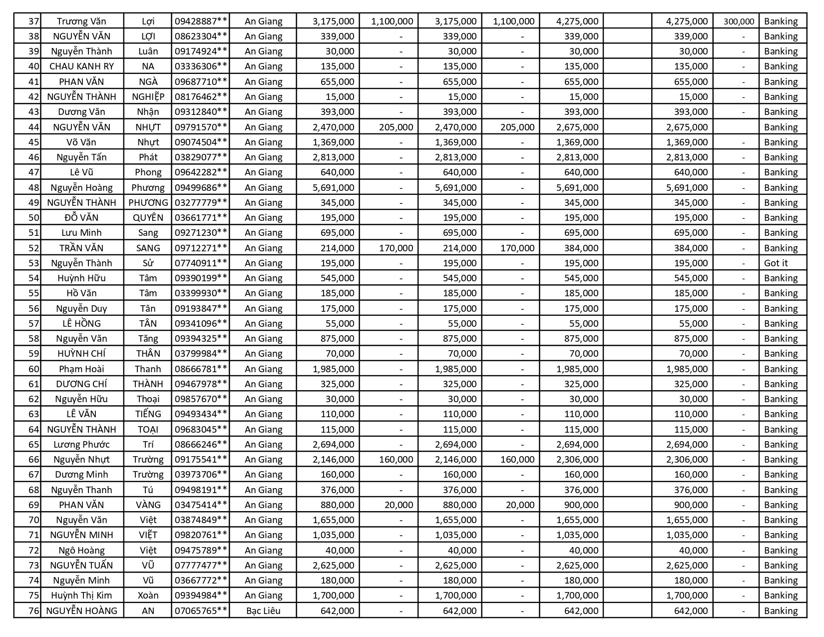
[MIỀN NAM] KẾT QUẢ KHAI XUÂN ĐẮC LỘC 01.02.2024 - 29.02.2024
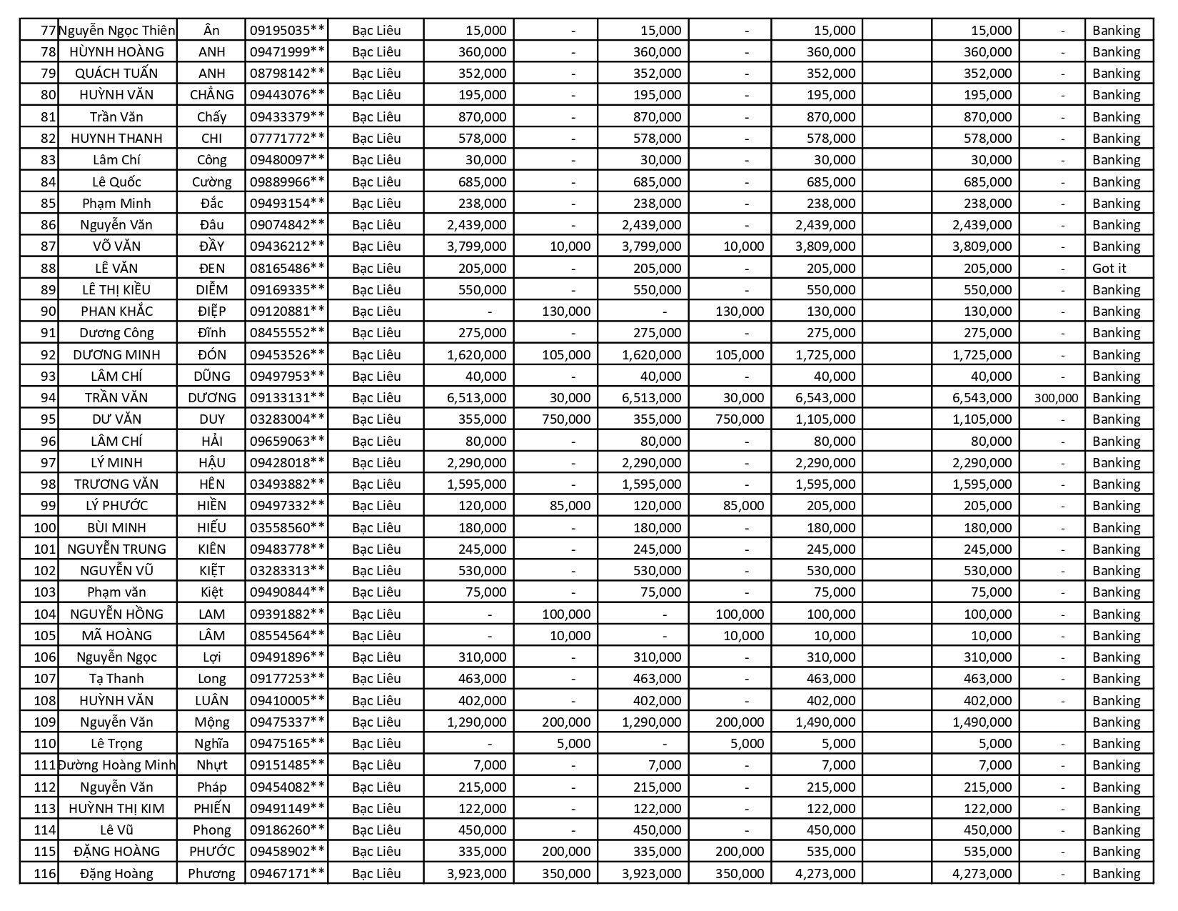
[MIỀN NAM] KẾT QUẢ KHAI XUÂN ĐẮC LỘC 01.02.2024 - 29.02.2024
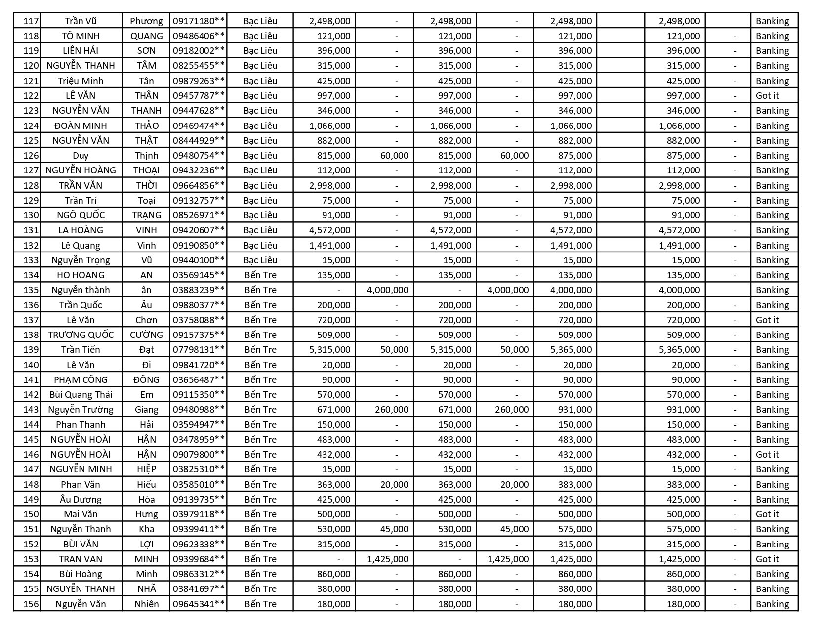
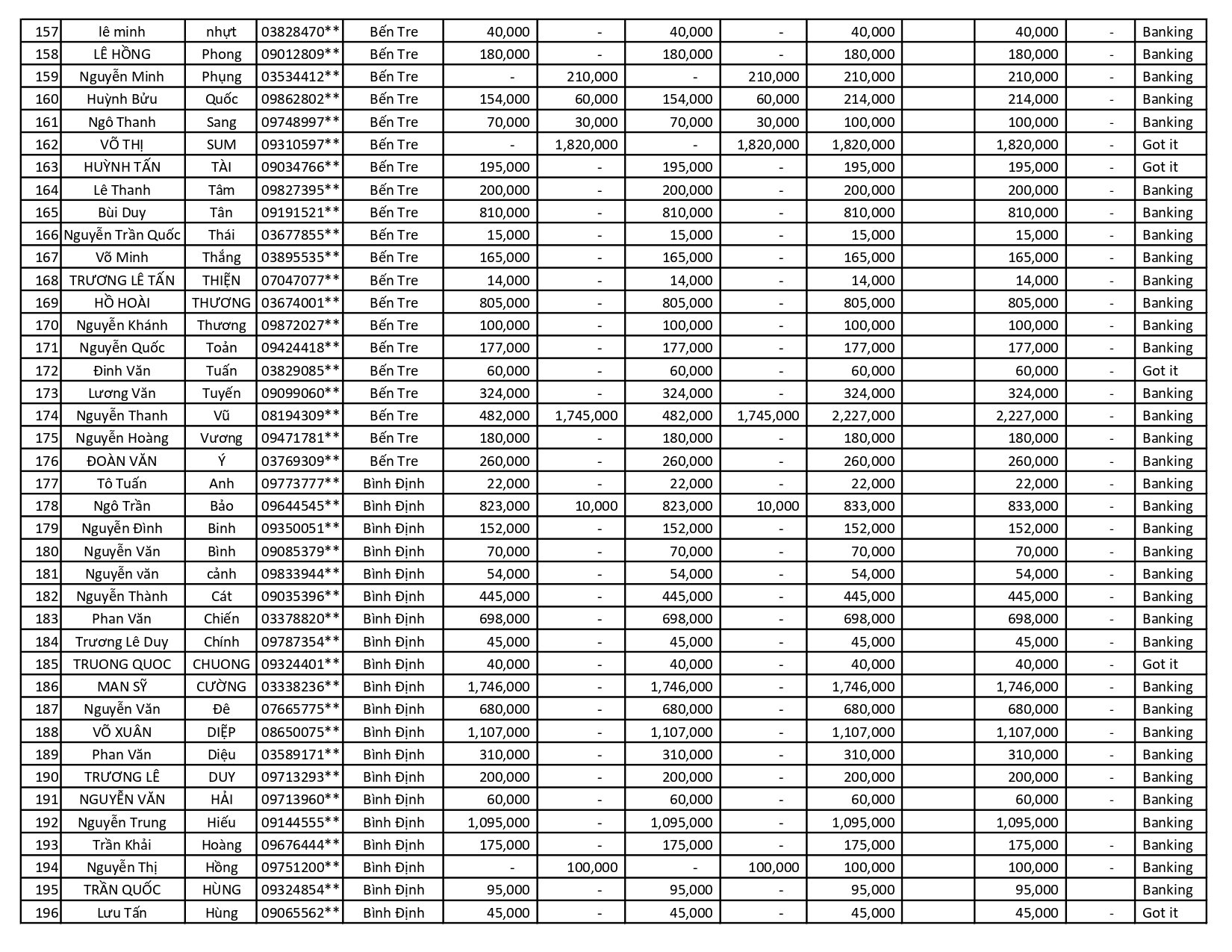
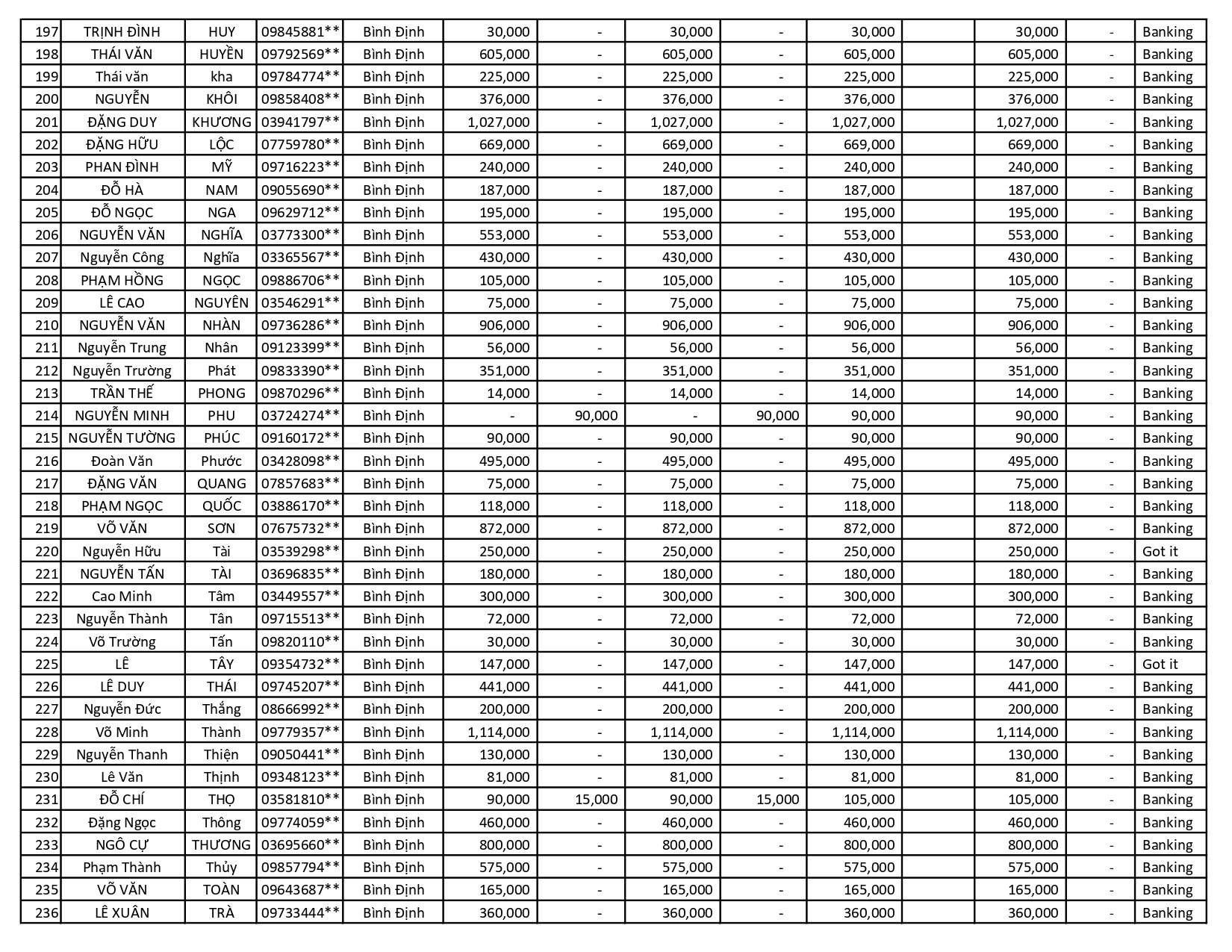
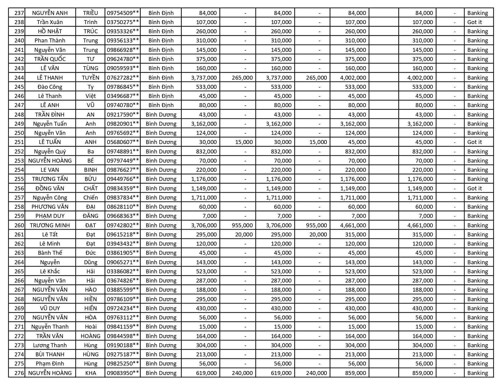
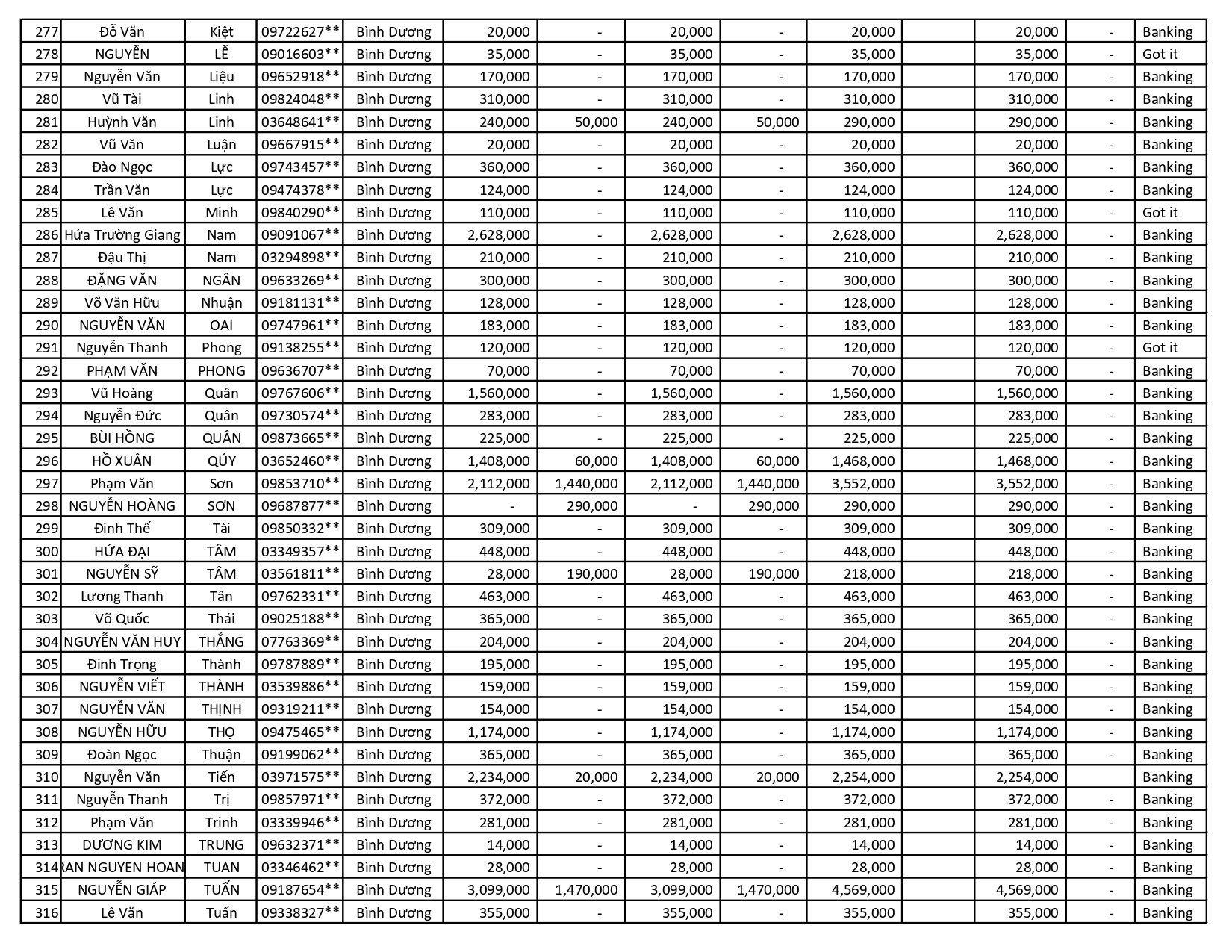
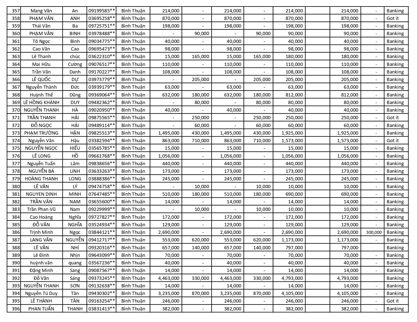
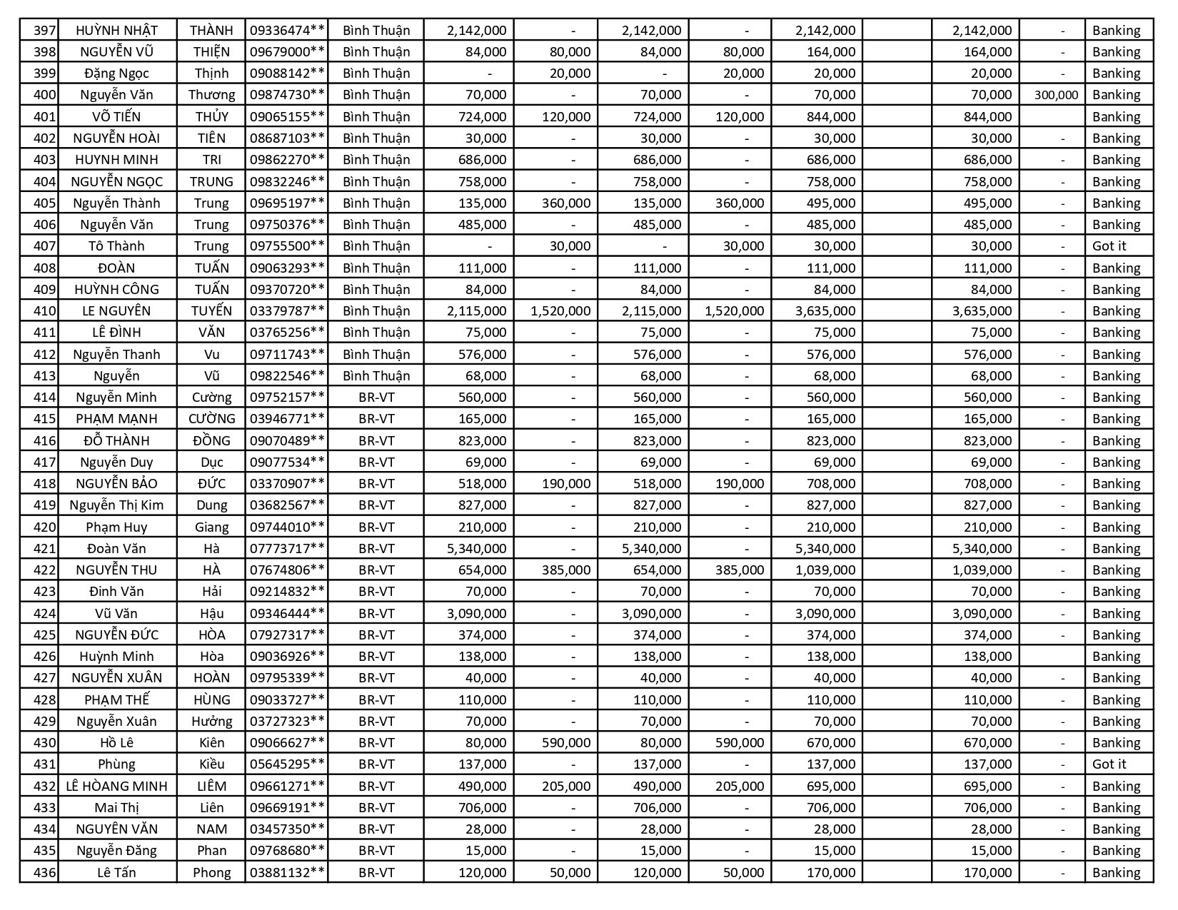
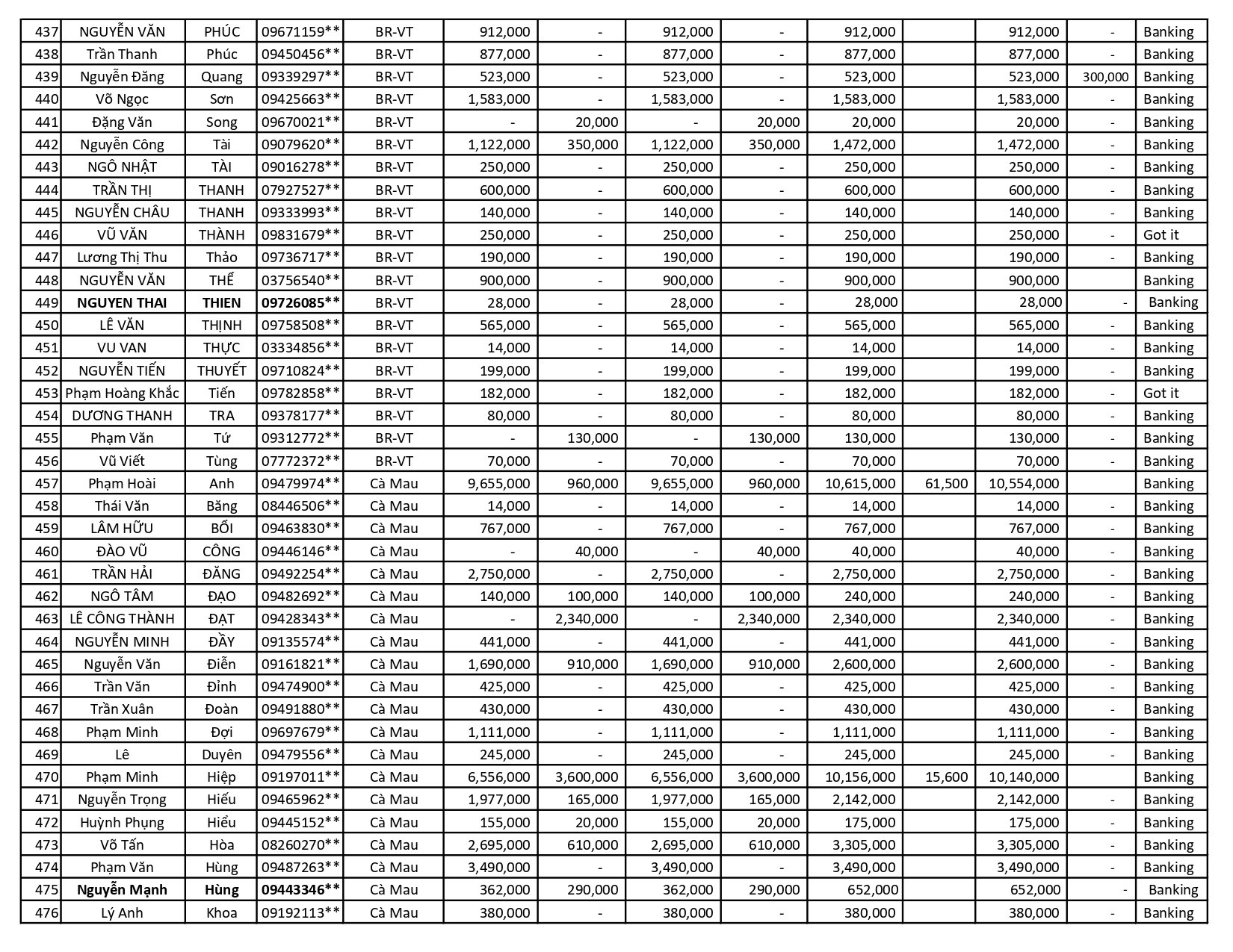
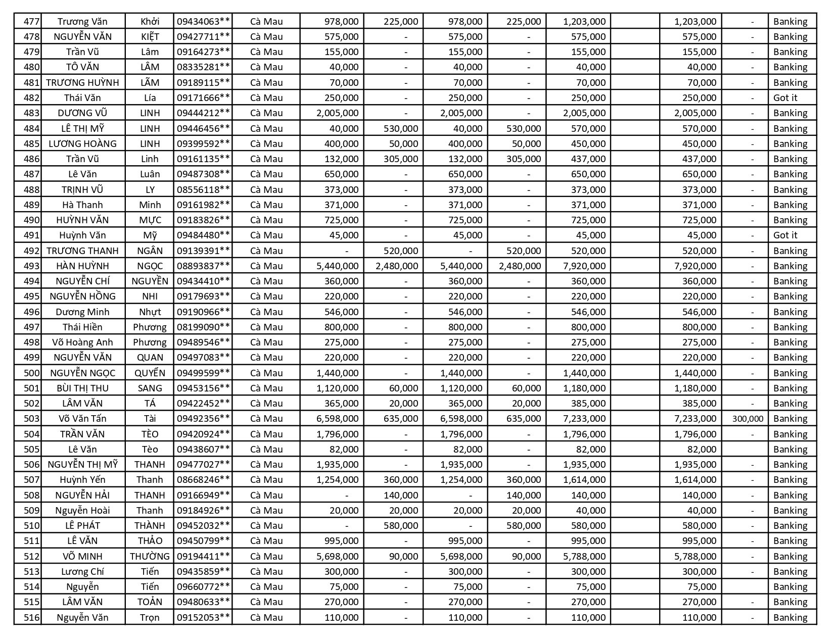
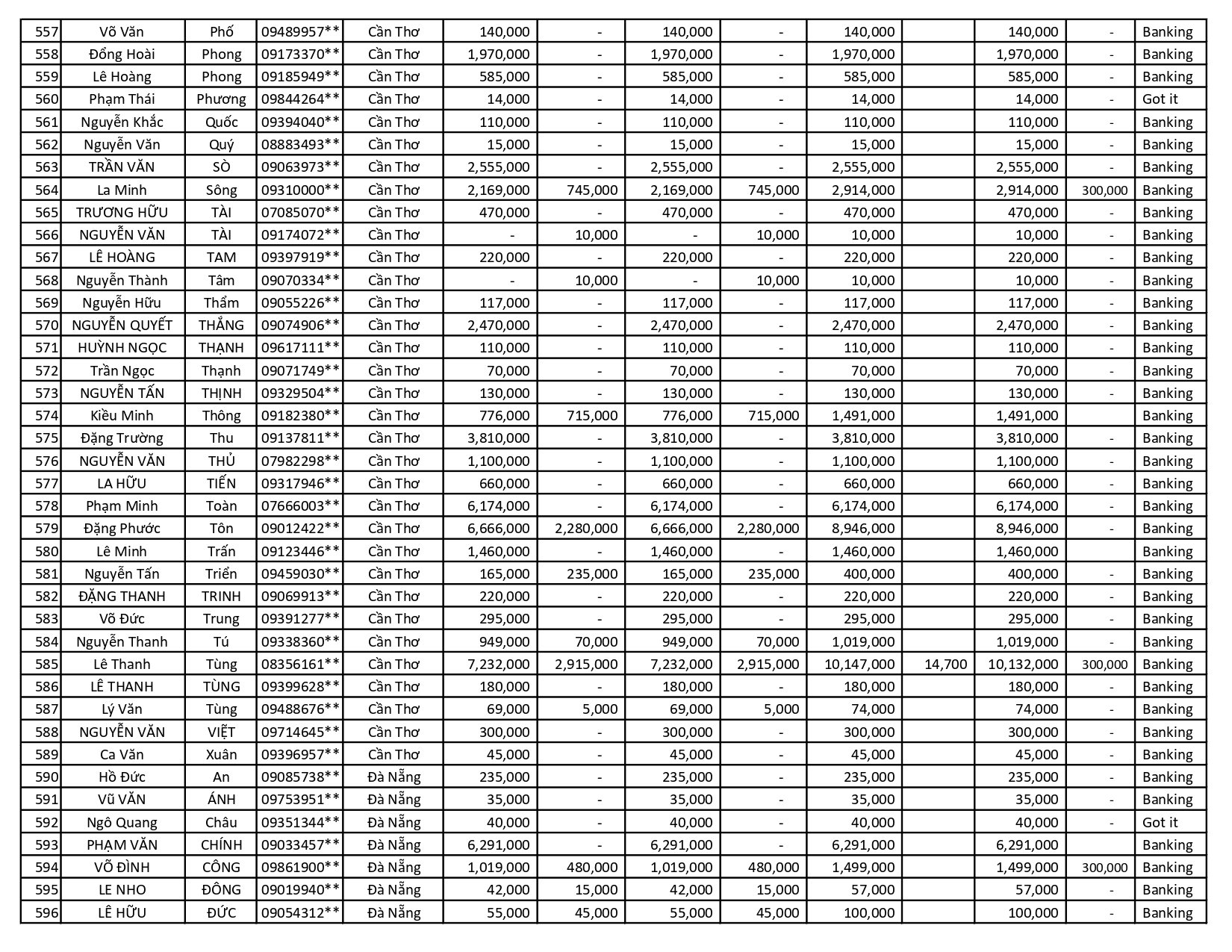
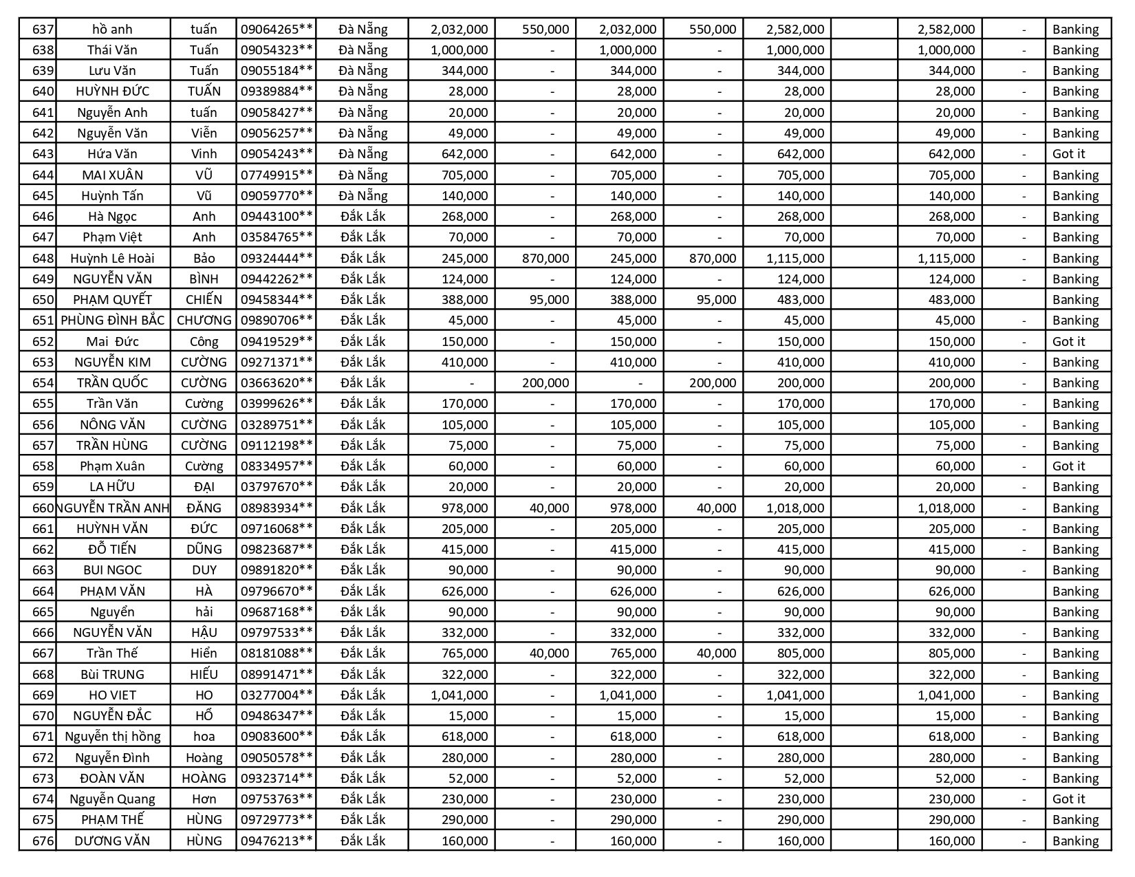
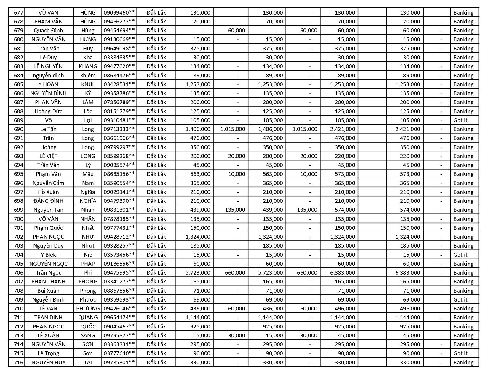
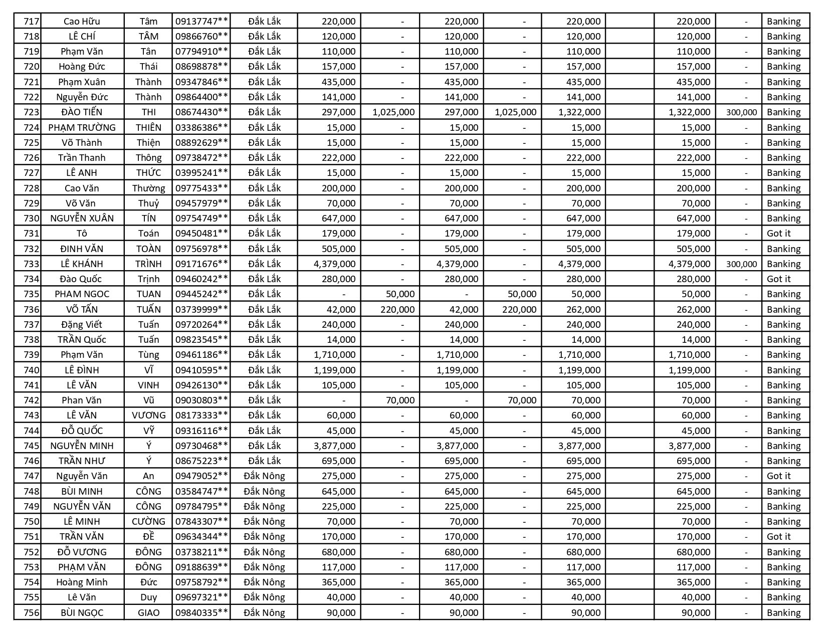
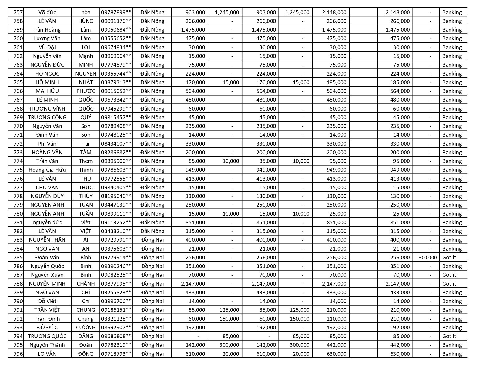
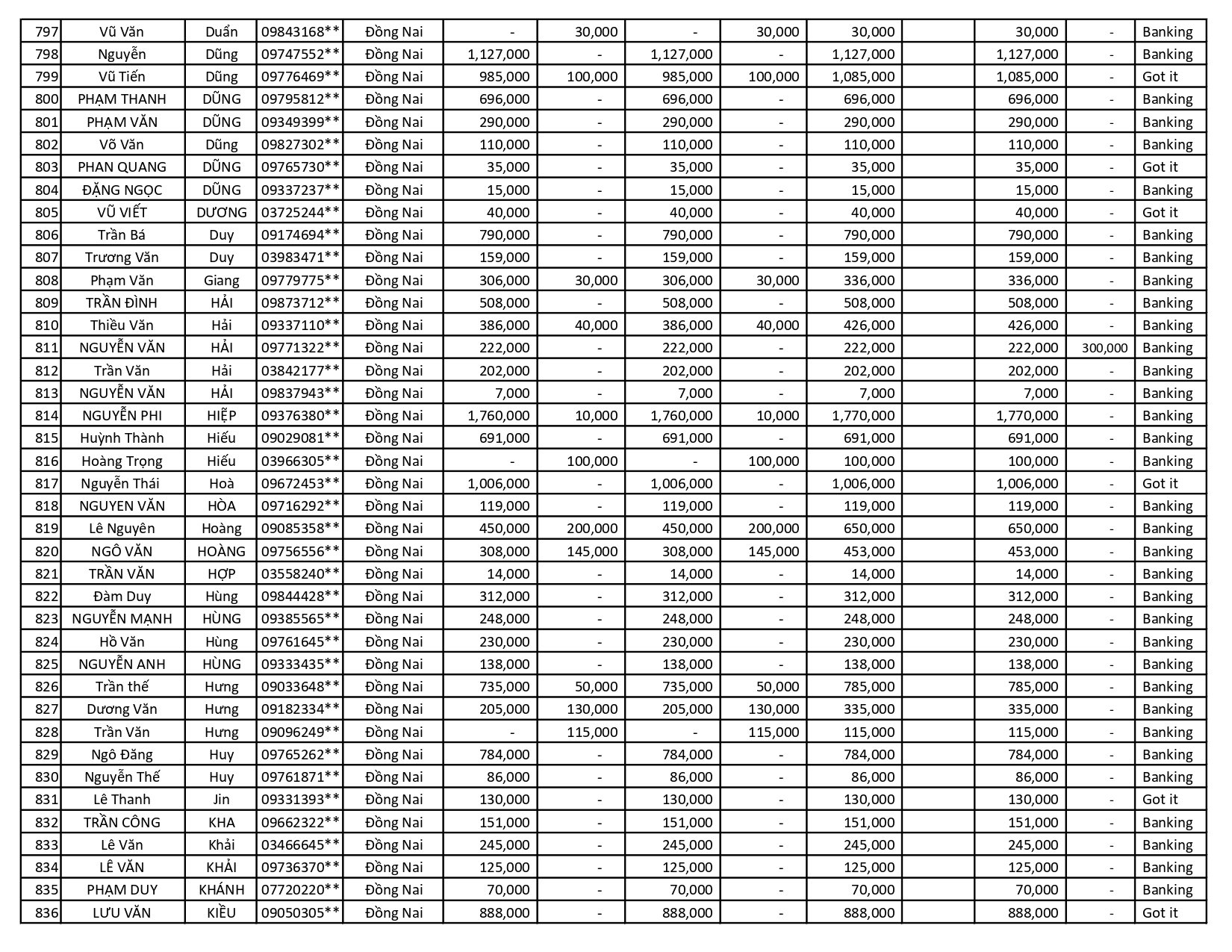
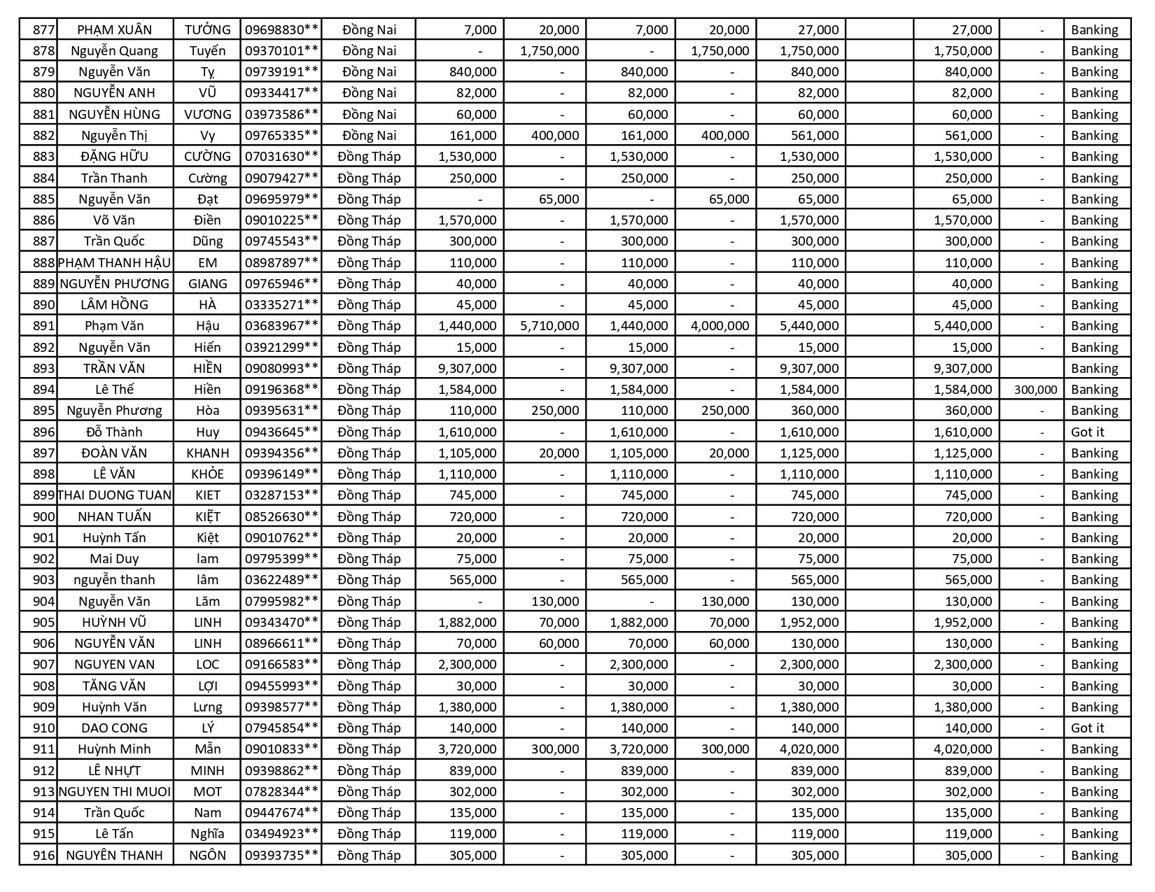
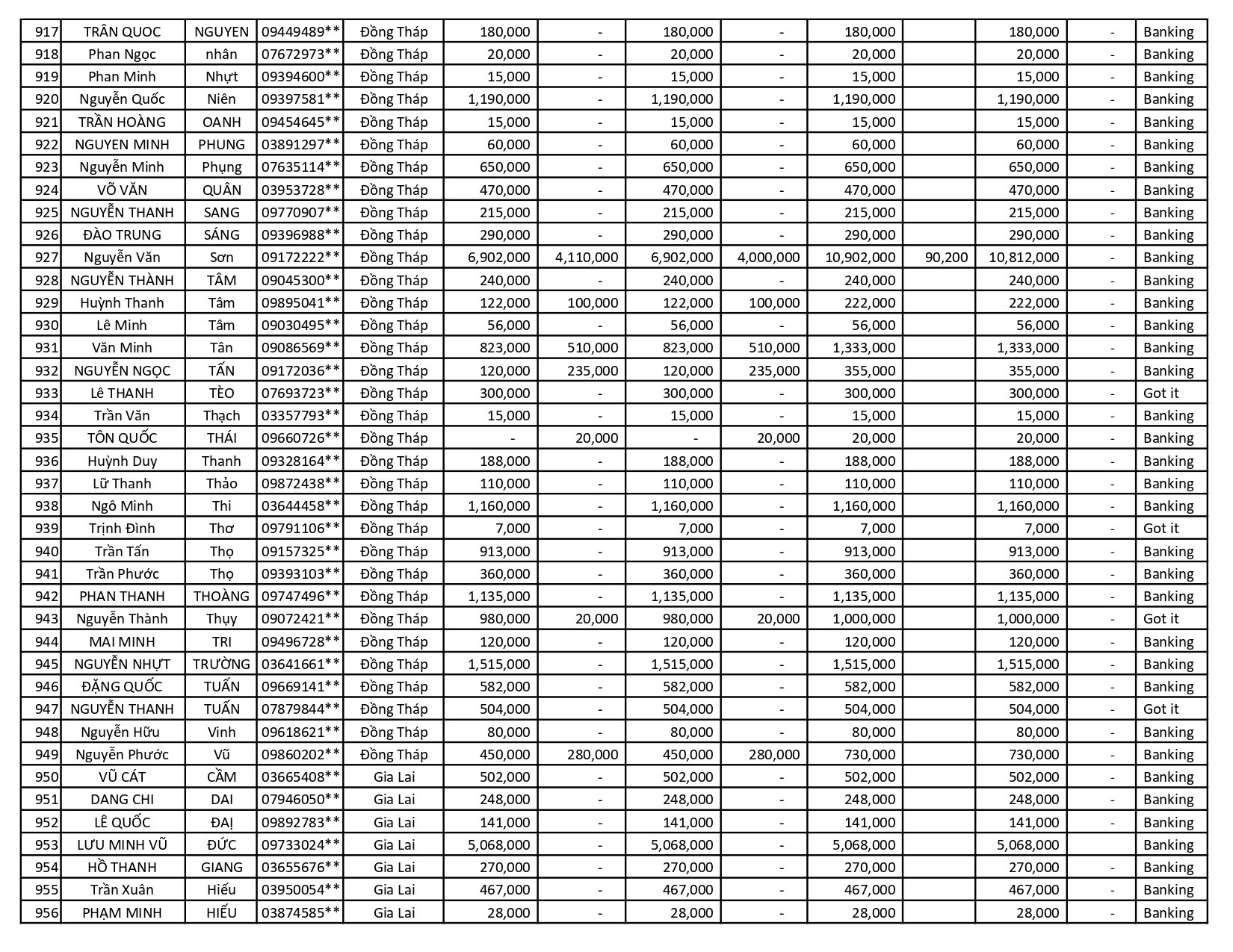
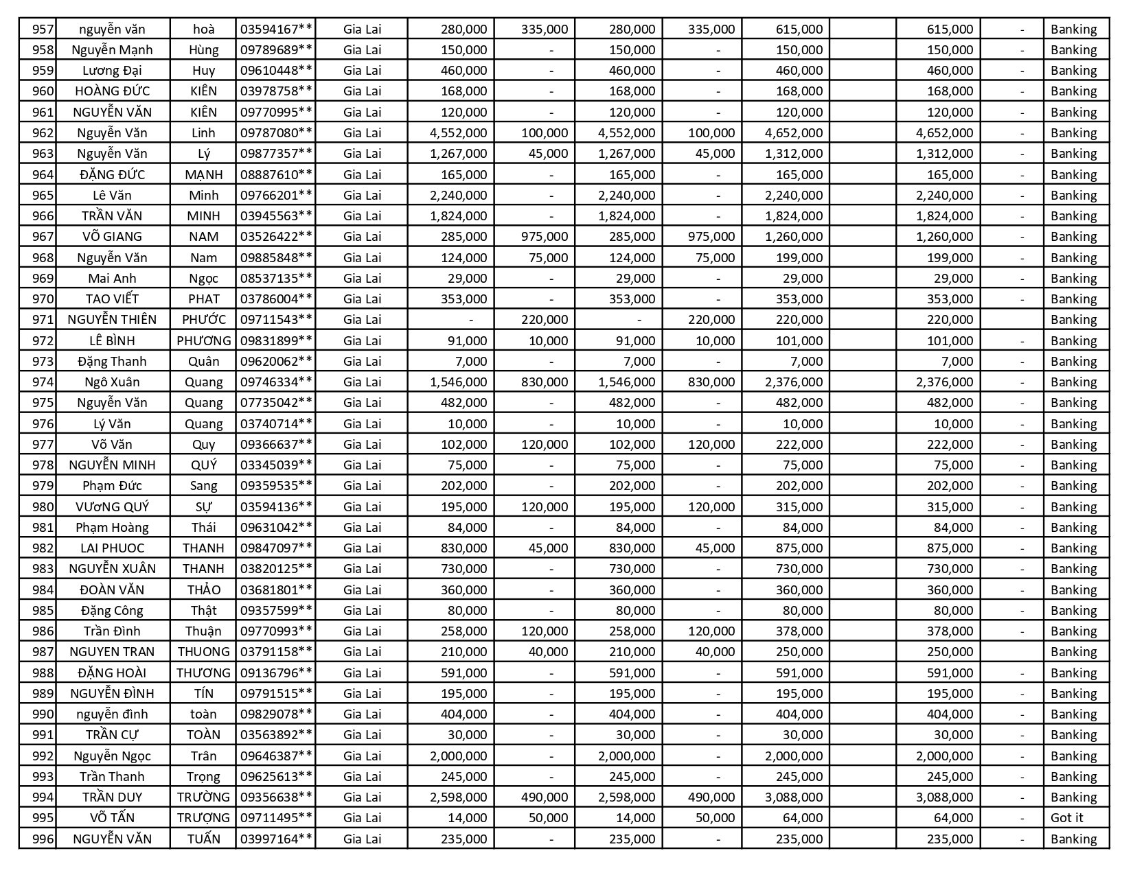
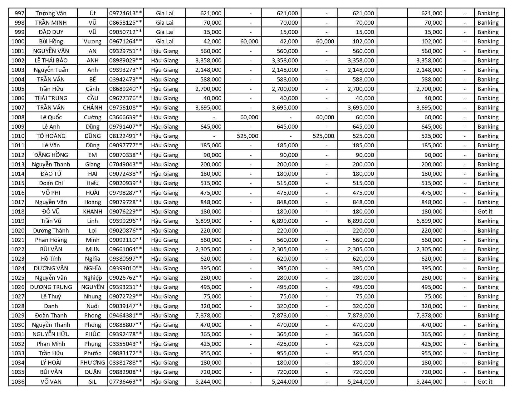
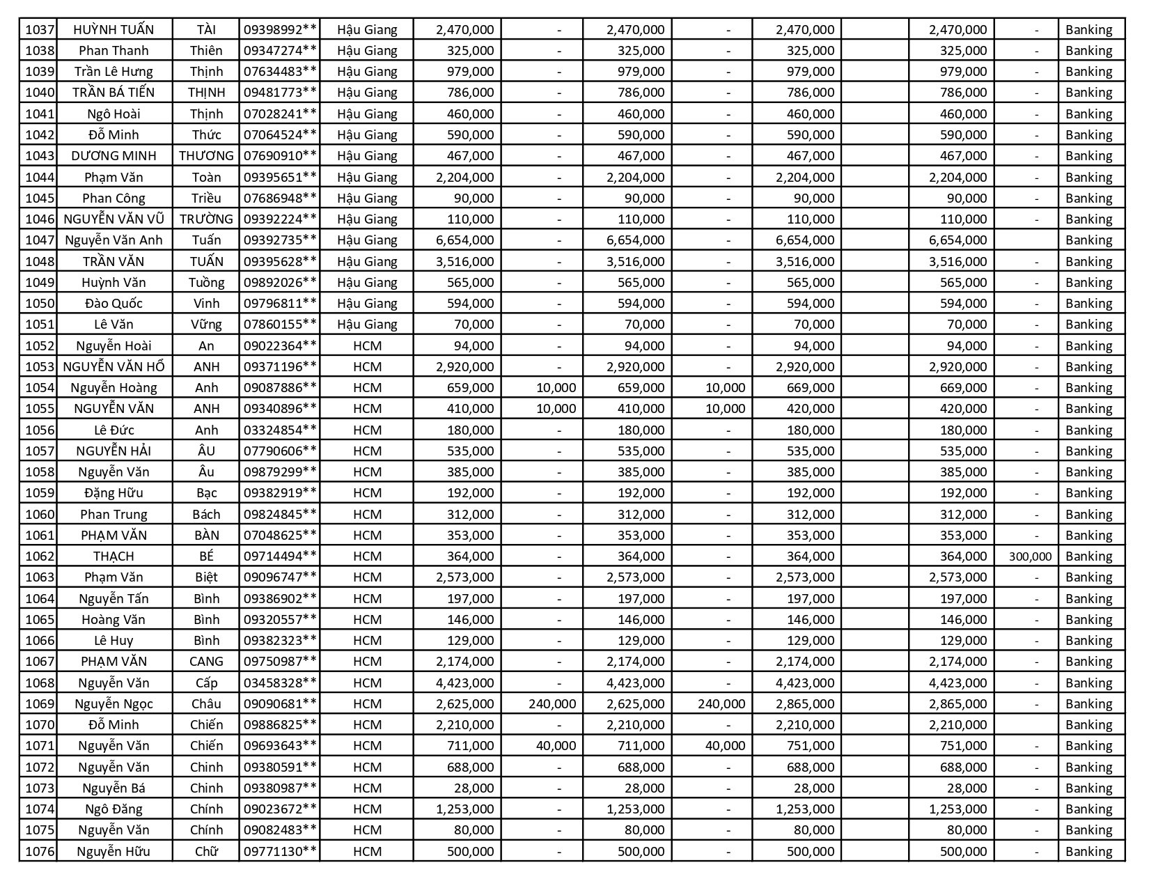
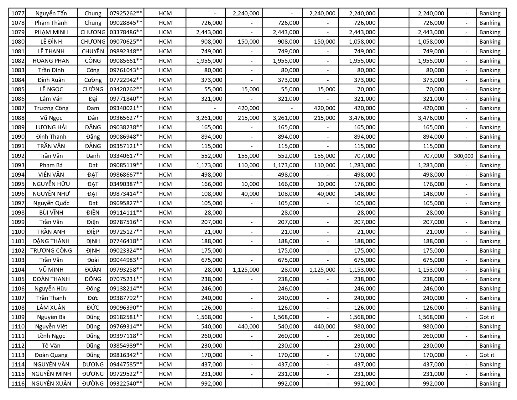
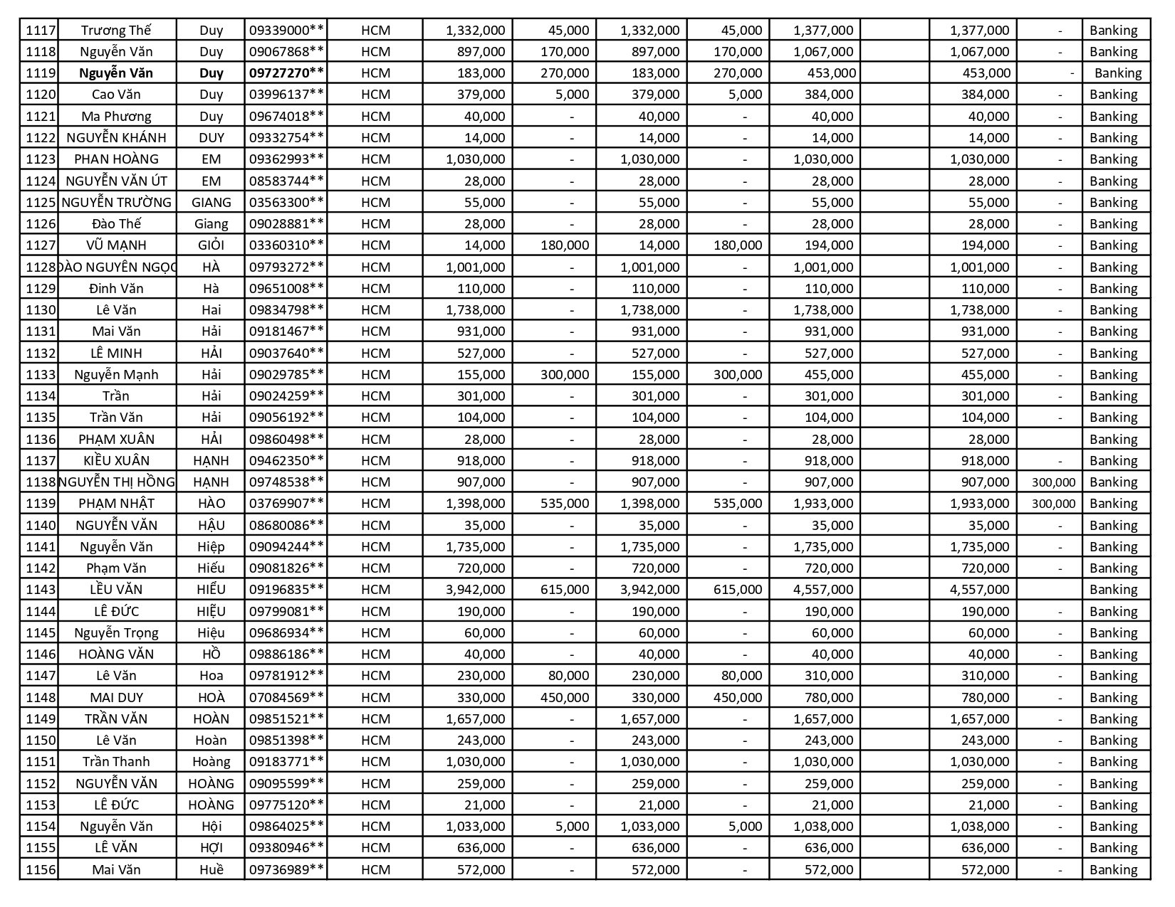
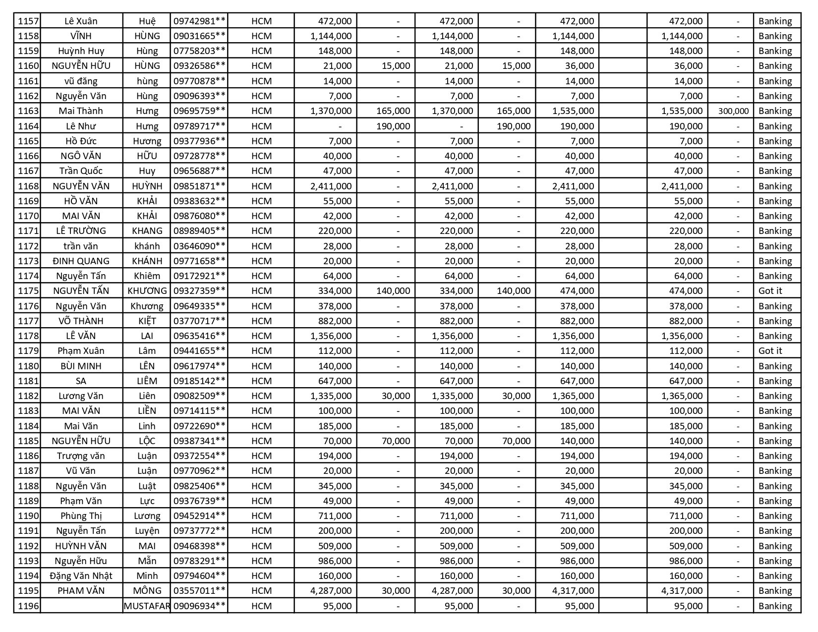
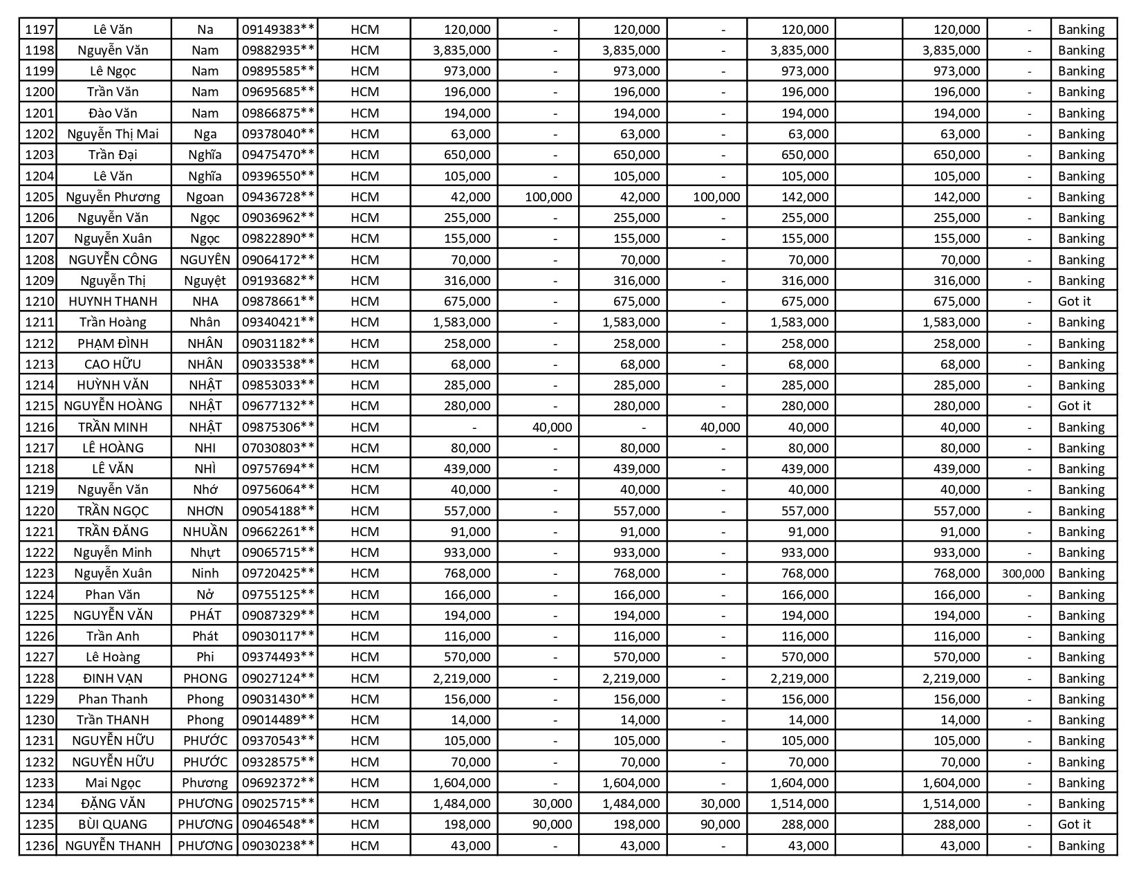
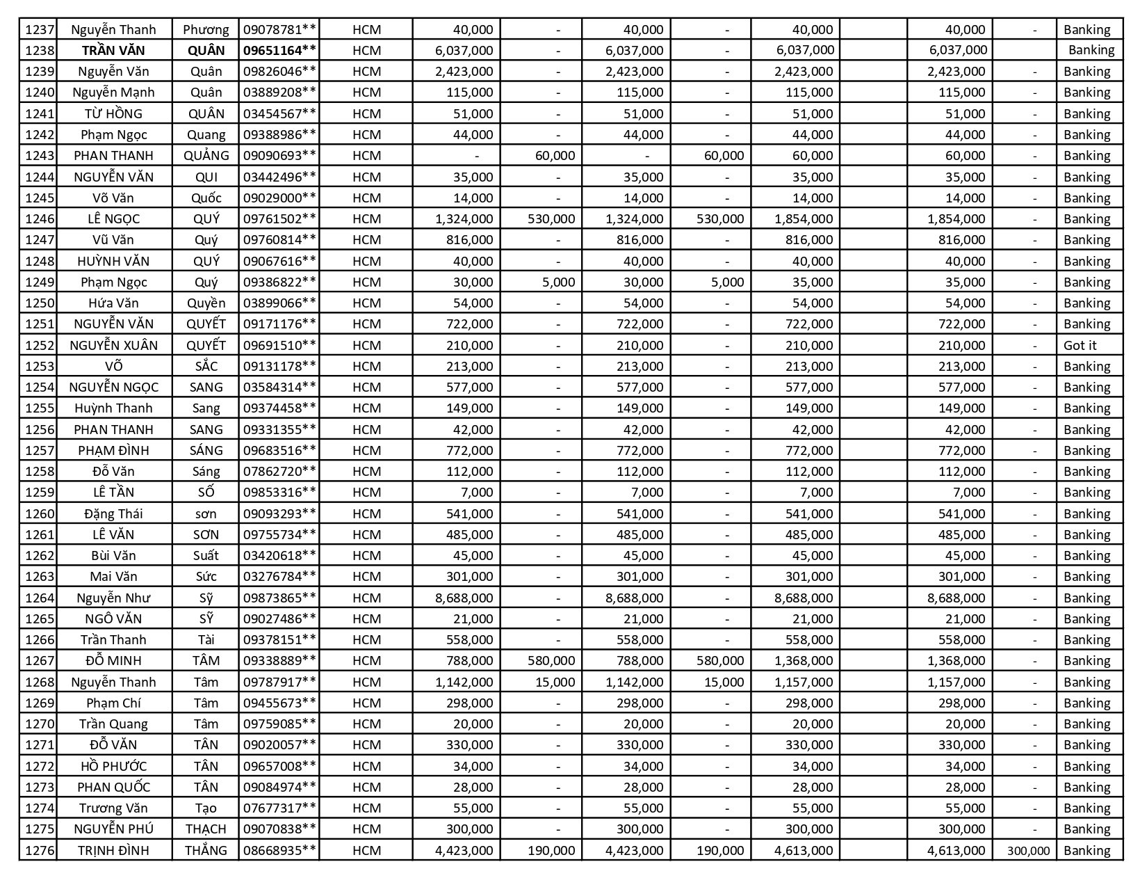
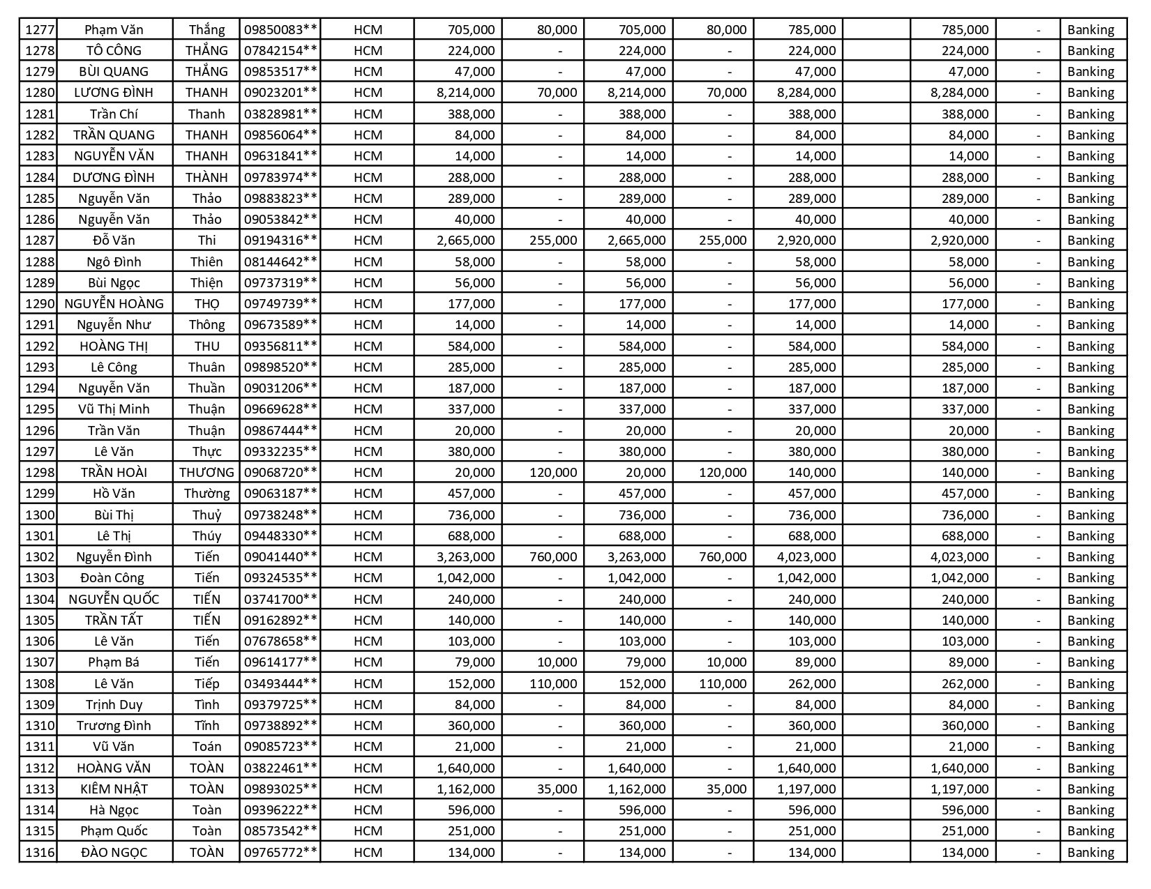
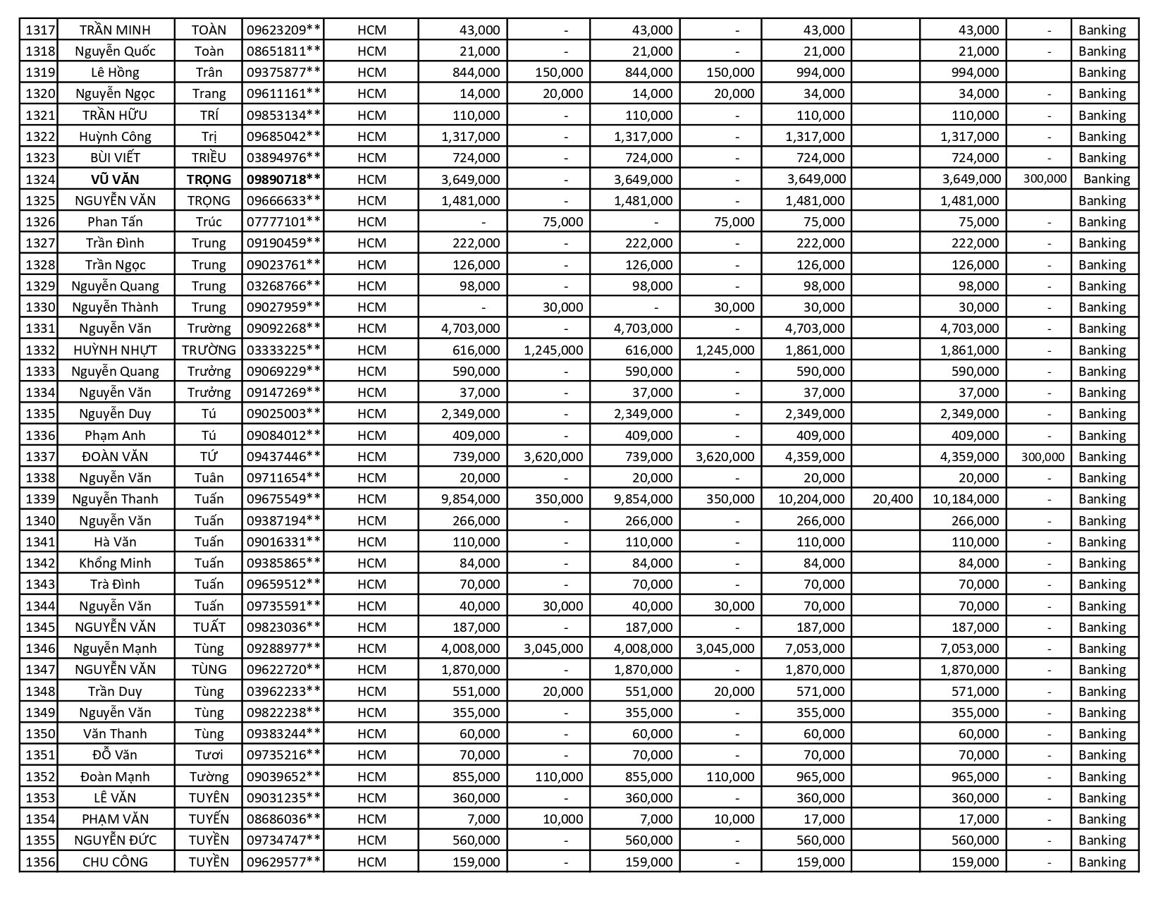
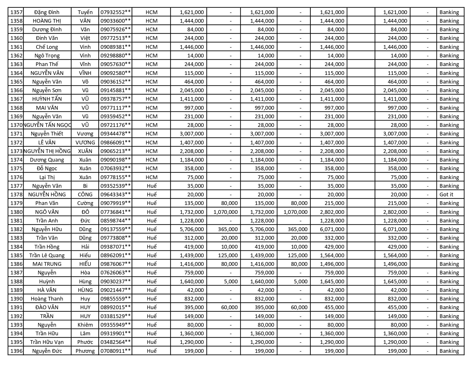
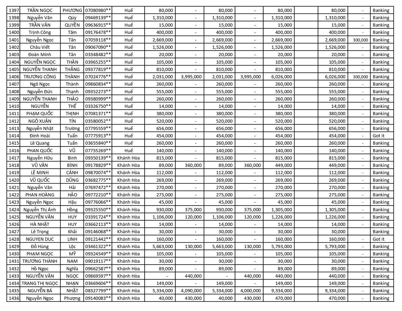
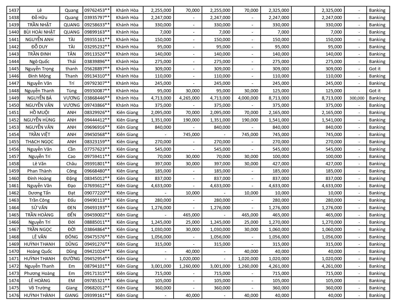
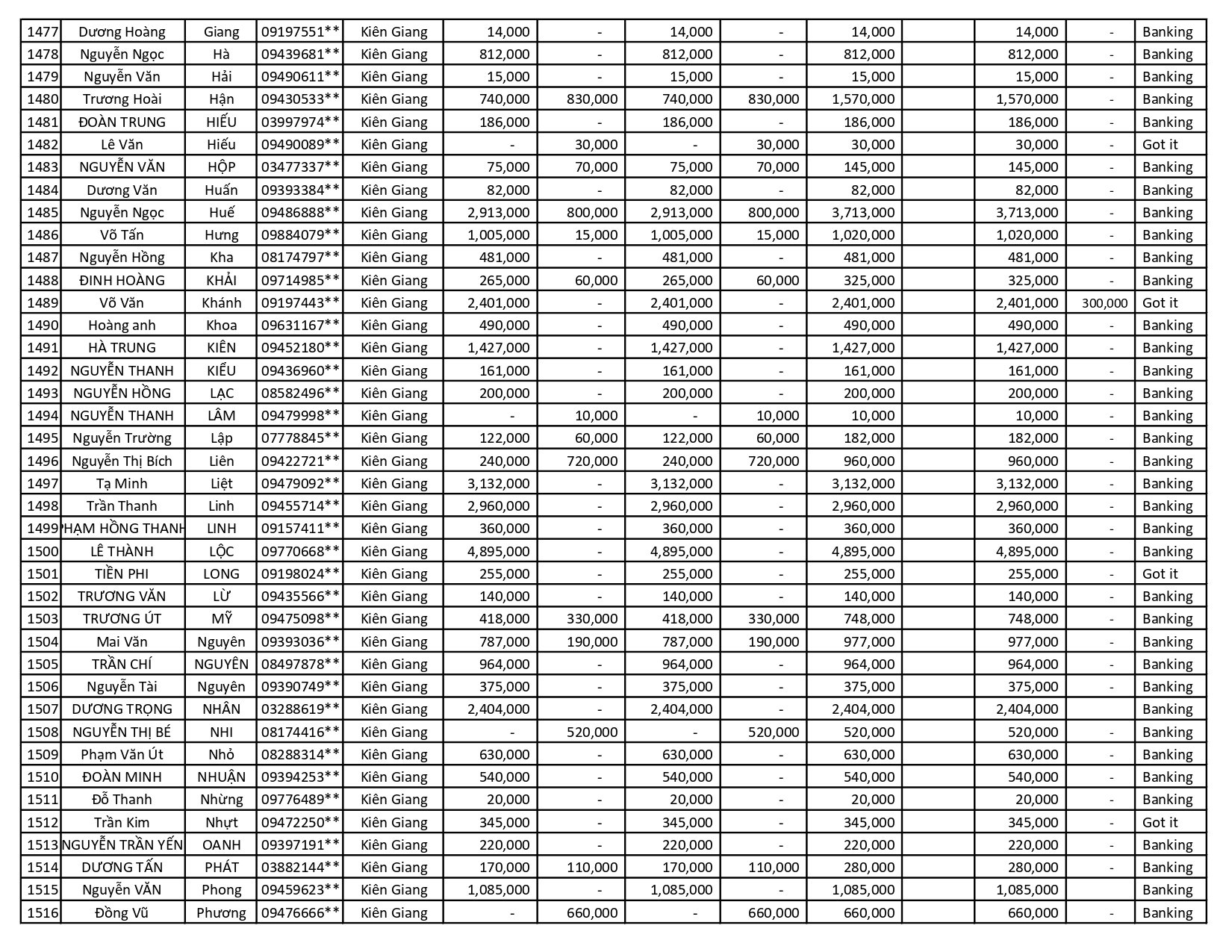
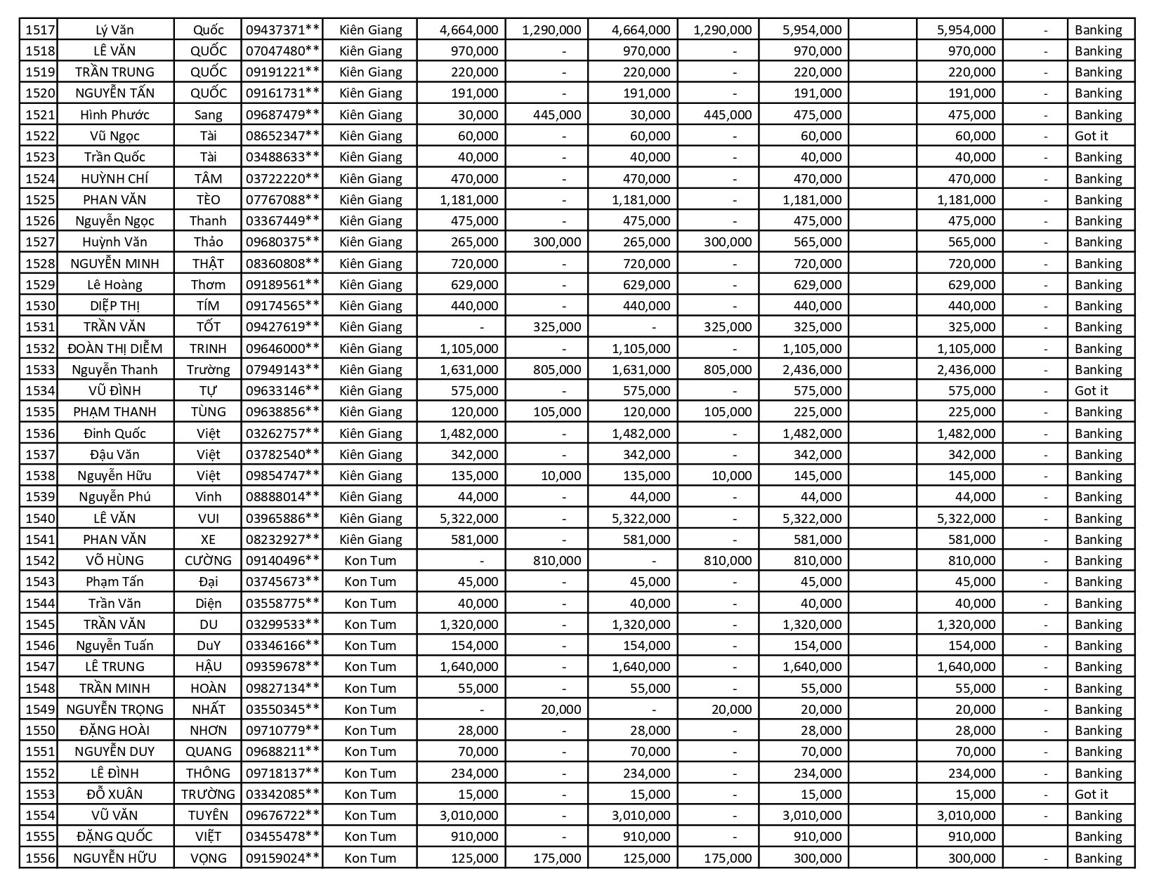
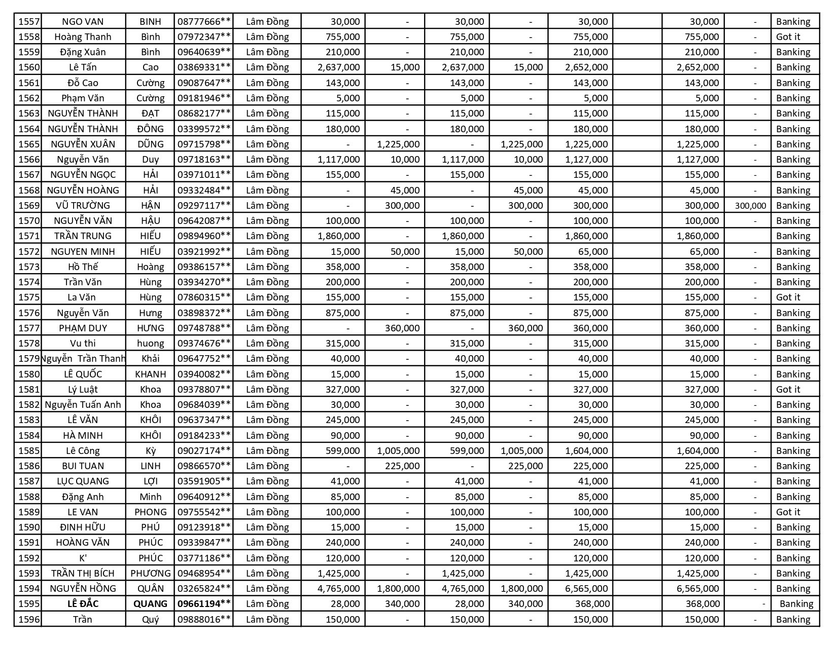
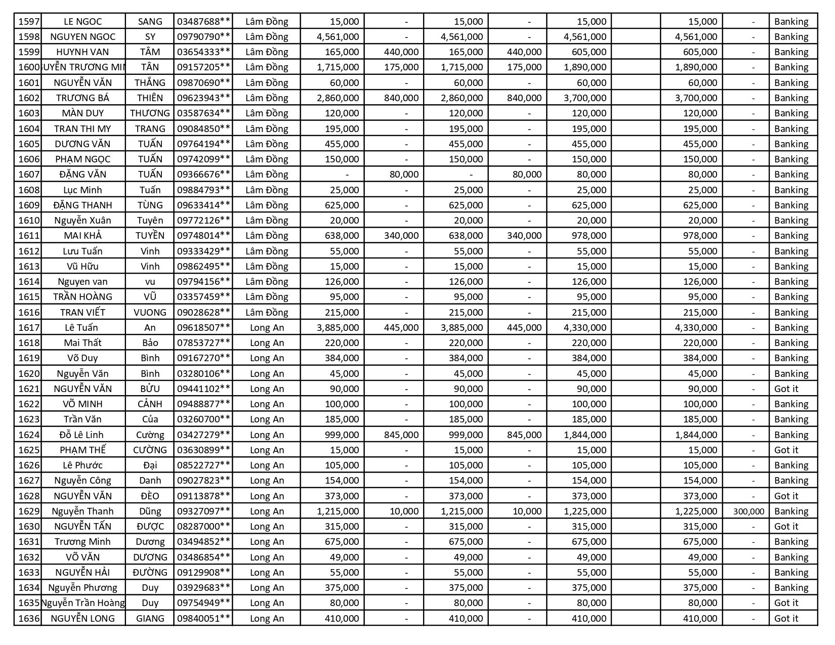
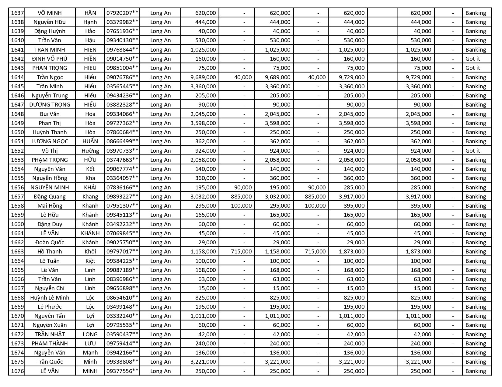
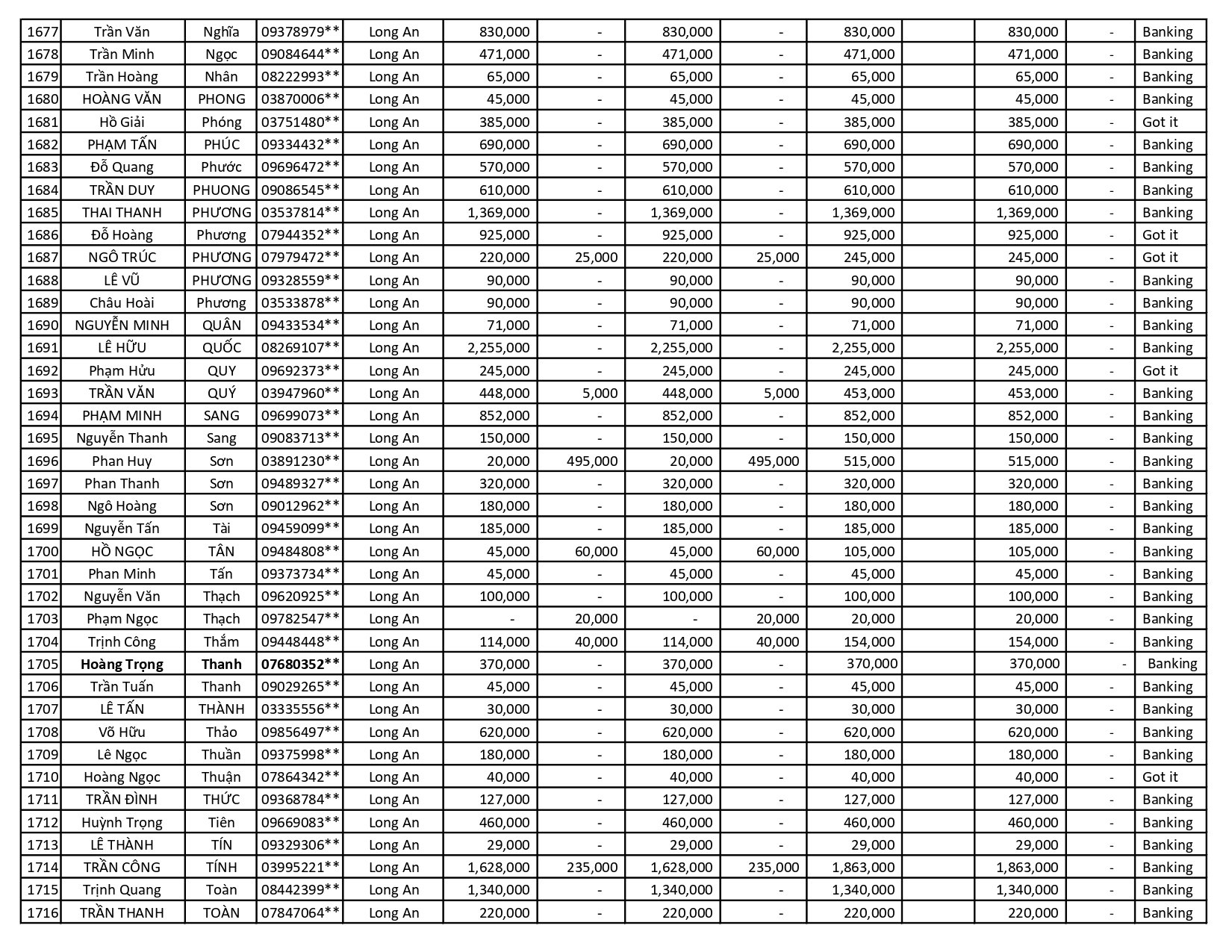
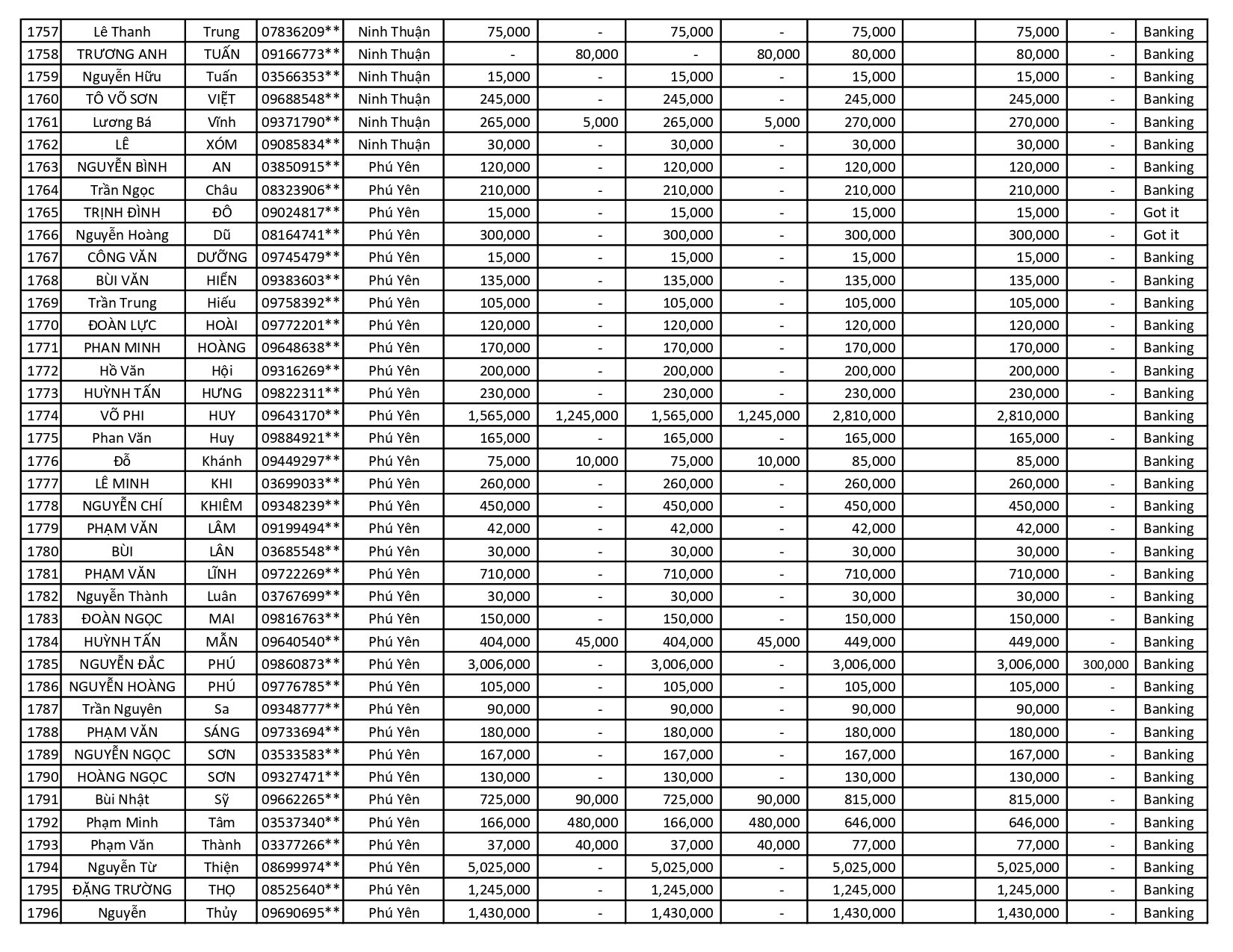
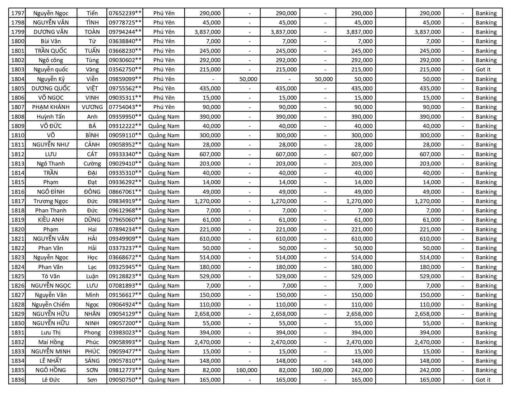
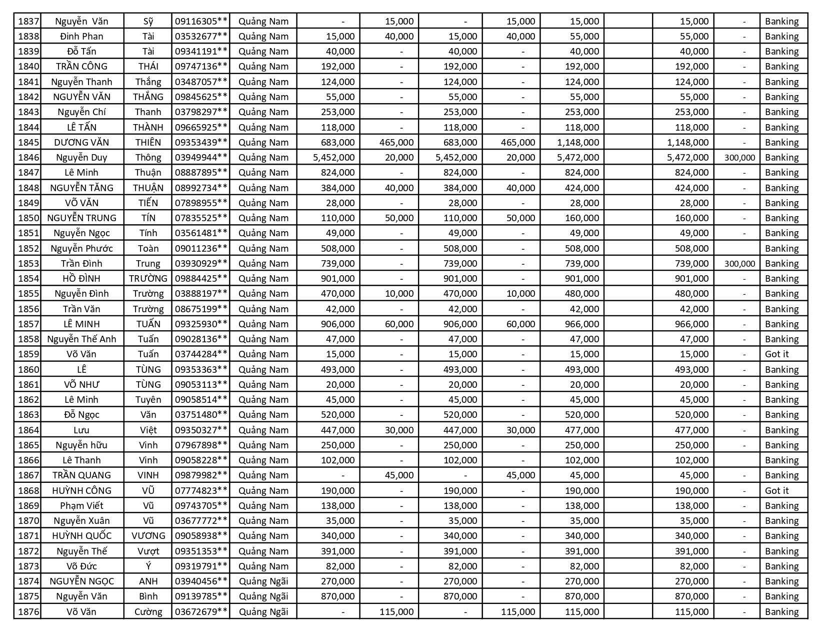
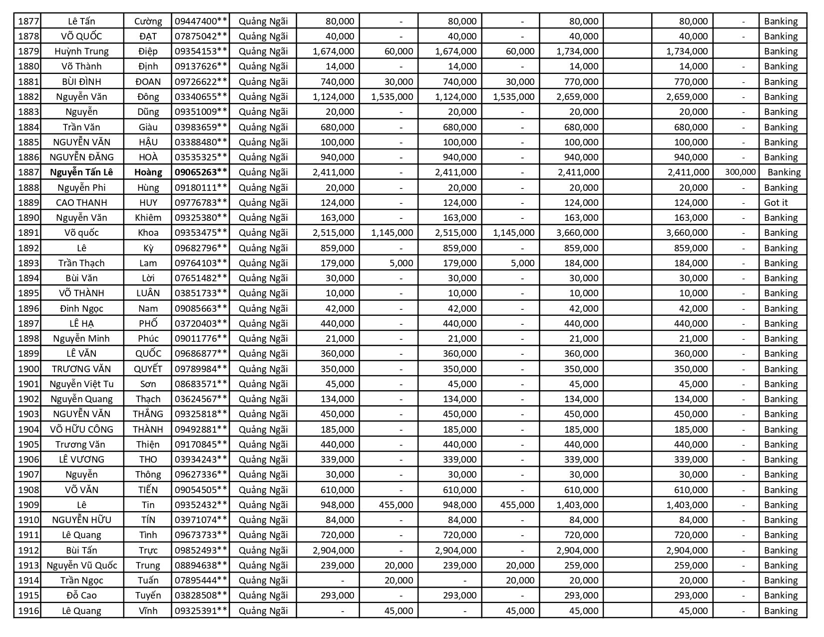
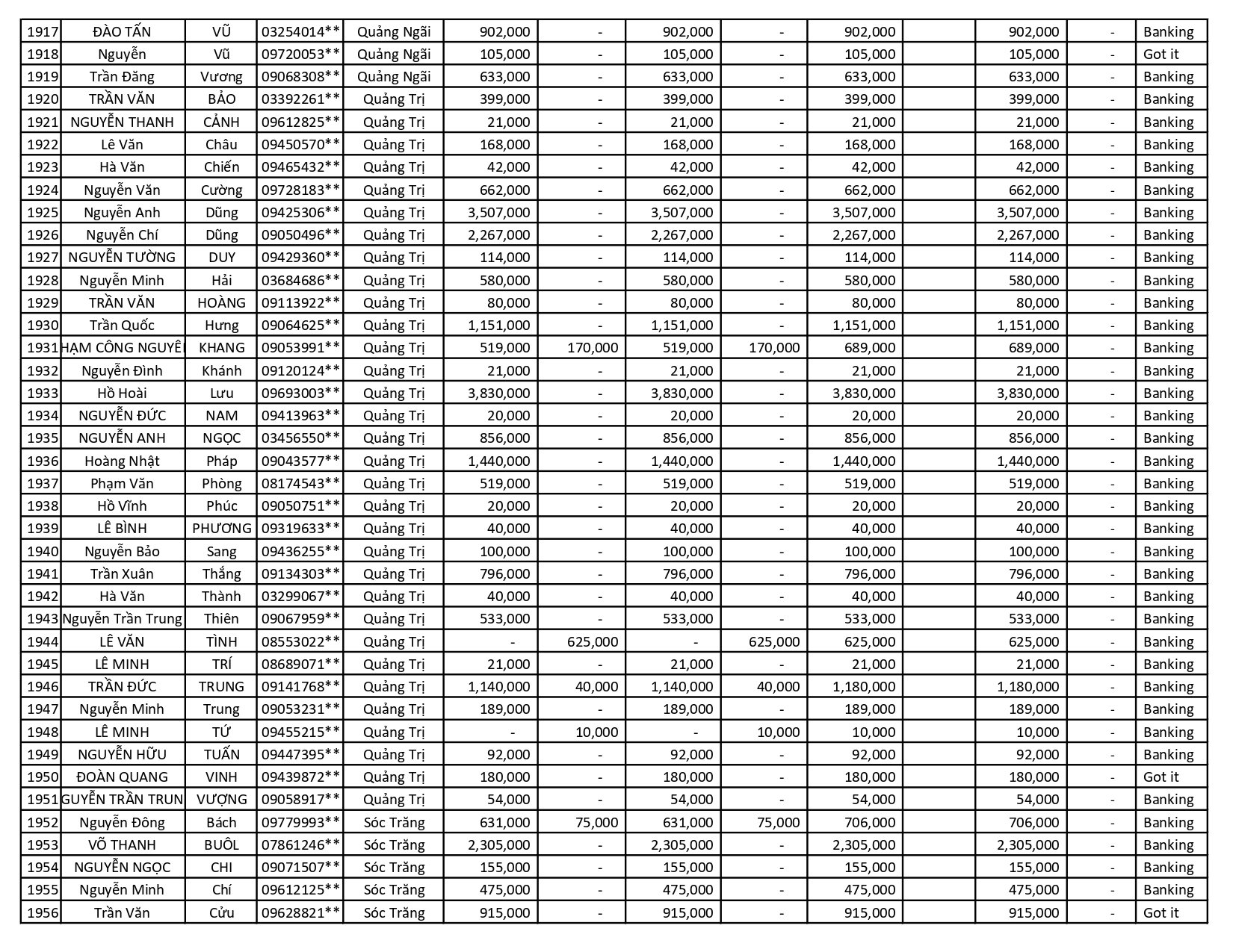
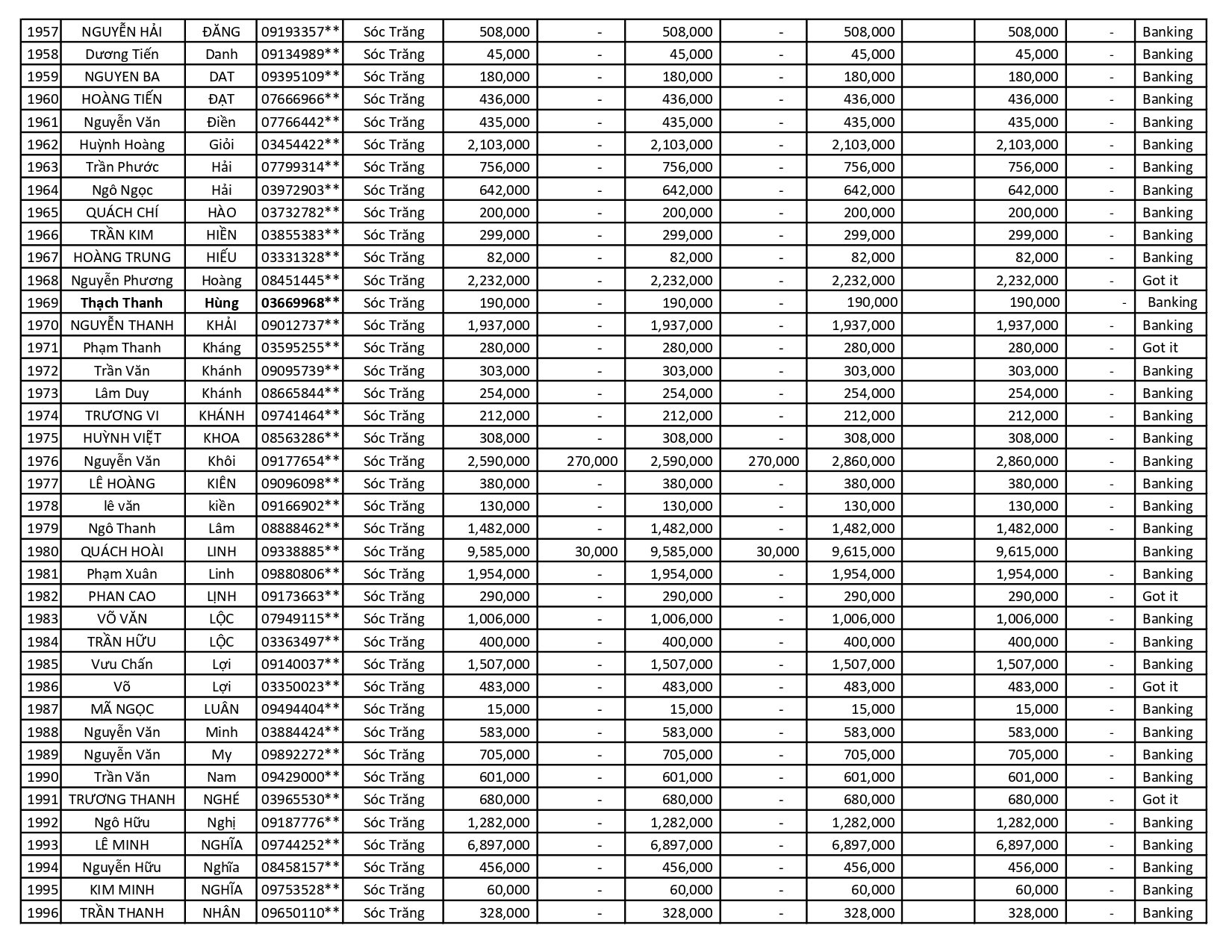
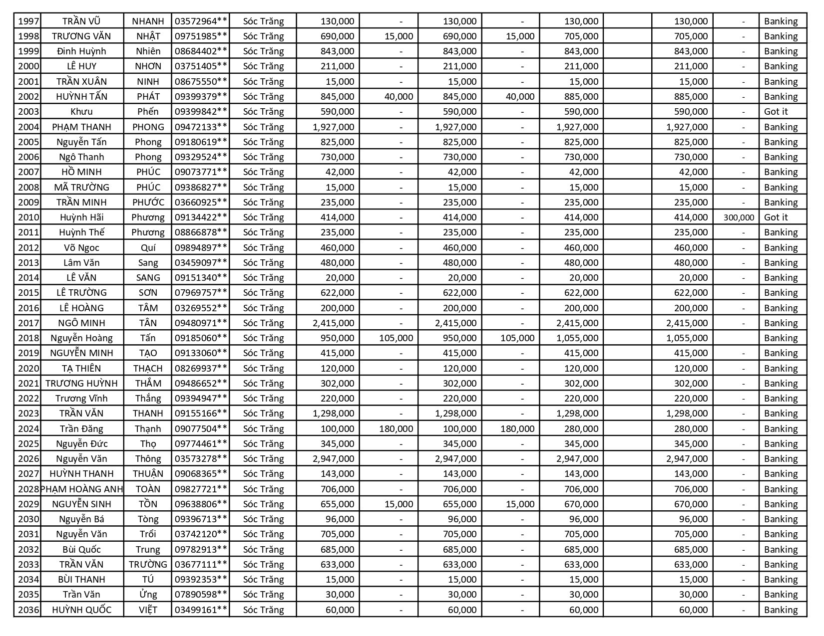
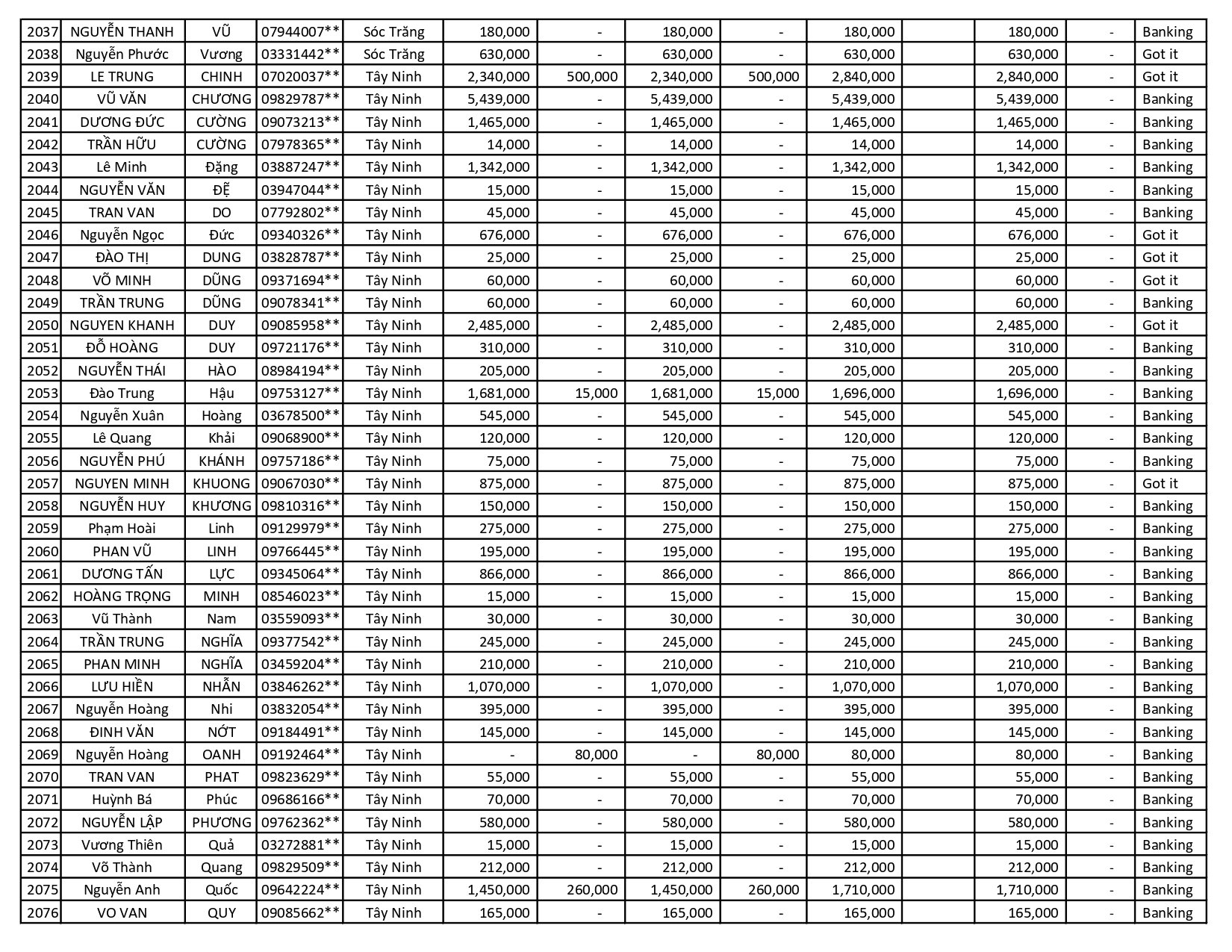
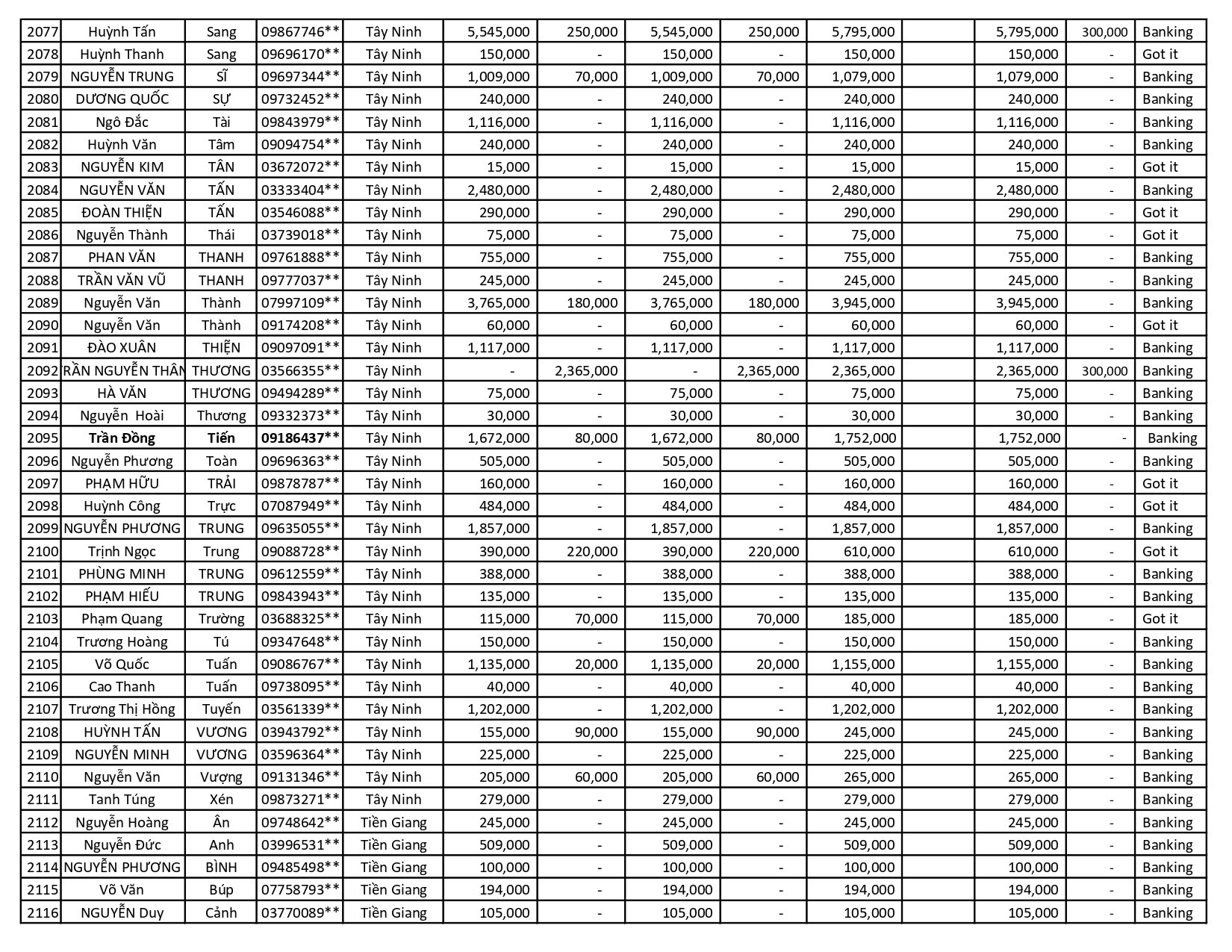
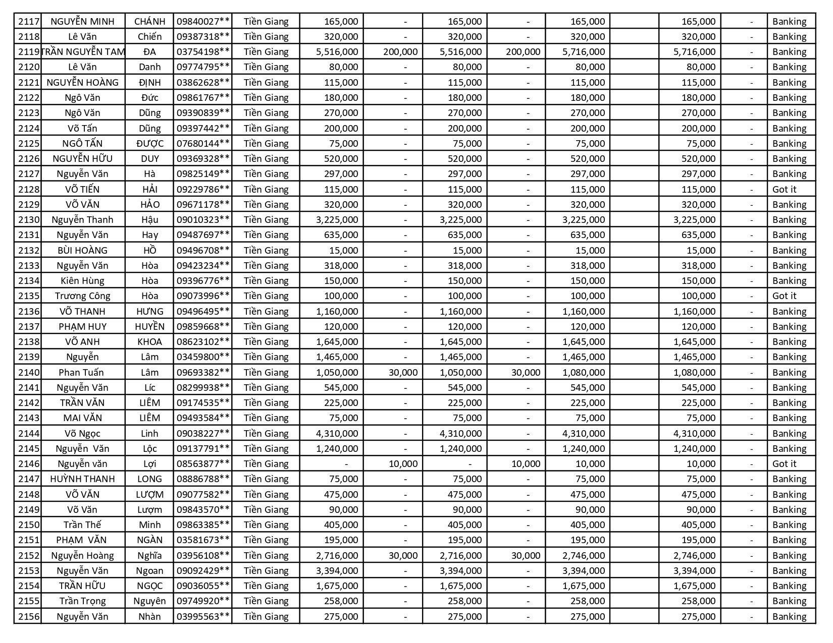
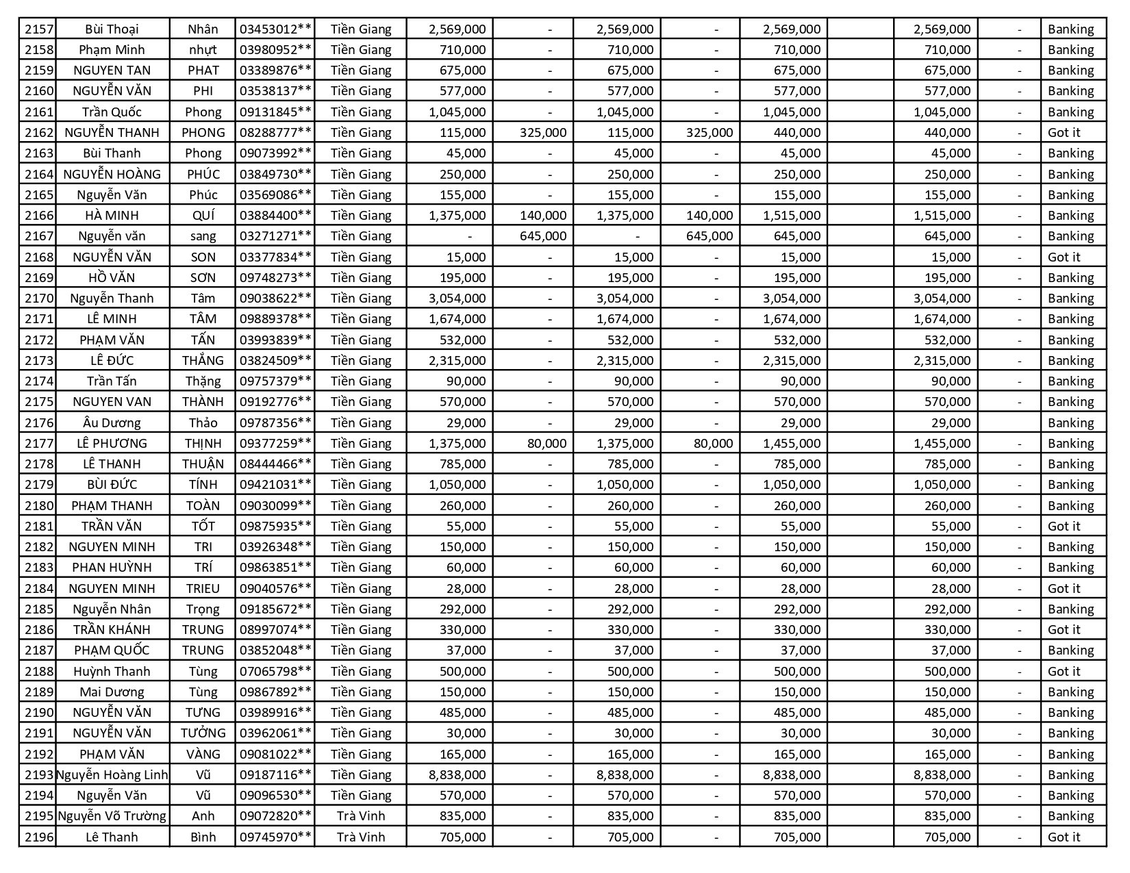
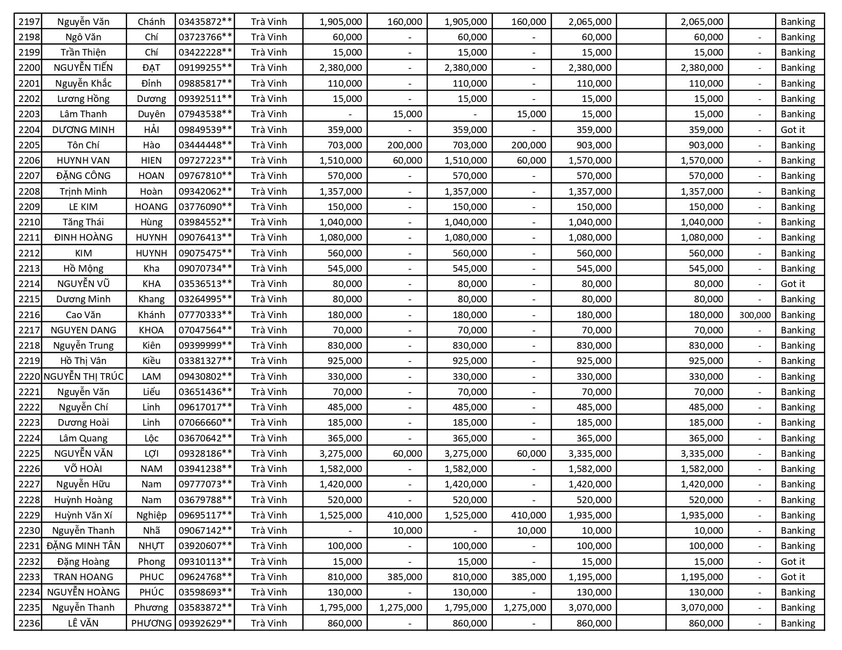
Vĩnh Tường cập nhật danh sách kết quả Chương Trình Khuyến Mãi KHAI XUÂN ĐẮC LỘC 01.02.2024 - 29.02.2024.
*Với quà tặng là Phiếu mua hàng/ Chuyển khoản, Quà tặng sẽ được chuyển đến khách hàng muộn nhất là 15 ngày sau ngày công bố kết quả.





































































