vinhtuong đăng vào lúc 20/01/2022 - 22:50
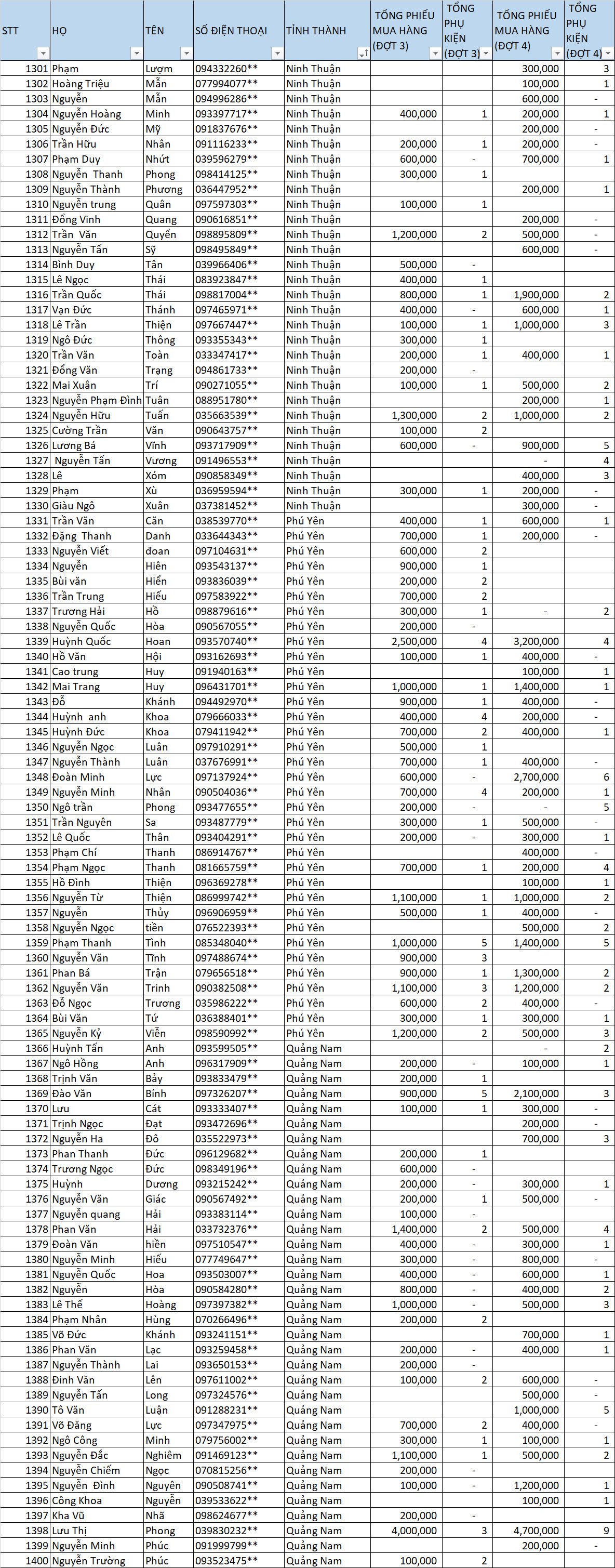
DANH SÁCH THẦU THỢ THAM GIA LẮC LỘC VÀNG 2021 ĐỢT 3,4 [KHU VỰC MIỀN NAM]
DANH SÁCH THẦU THỢ THAM GIA LẮC LỘC VÀNG 2021 ĐỢT 3,4 - KHU VỰC MIỀN NAM
Vĩnh Tường cập nhật danh sách Thầu/Thợ tham gia khuyến mãi Lắc Lộc Vàng 2021 và phần thưởng anh em đã lắc được nha!
Phạm vi: Từ Quảng Trị đến Cà Mau
DANH SÁCH NHẬN THƯỞNG



























