vinhtuong đăng vào lúc 13/11/2023 - 10:55
CẬP NHẬT KẾT QUẢ CTKM NHÀ SANG THƯỞNG XỊN 01.09.2023 - 31.10.2023
CẬP NHẬT KẾT QUẢ CTKM NHÀ SANG THƯỞNG XỊN 01.09.2023 - 31.10.2023
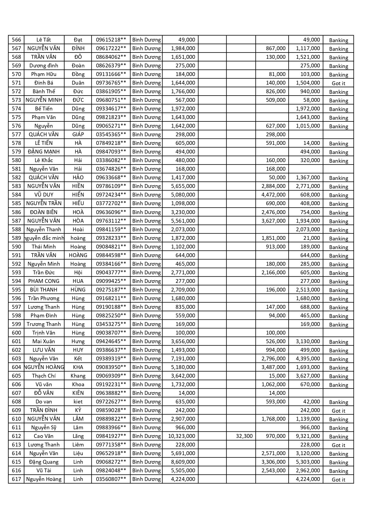
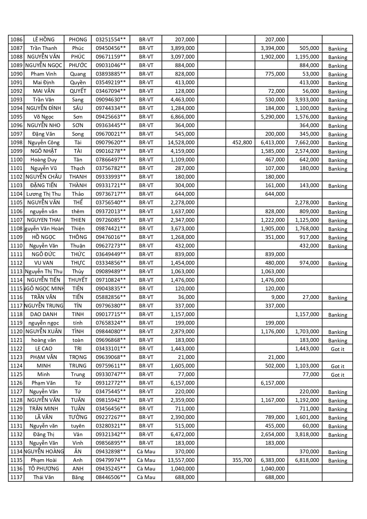
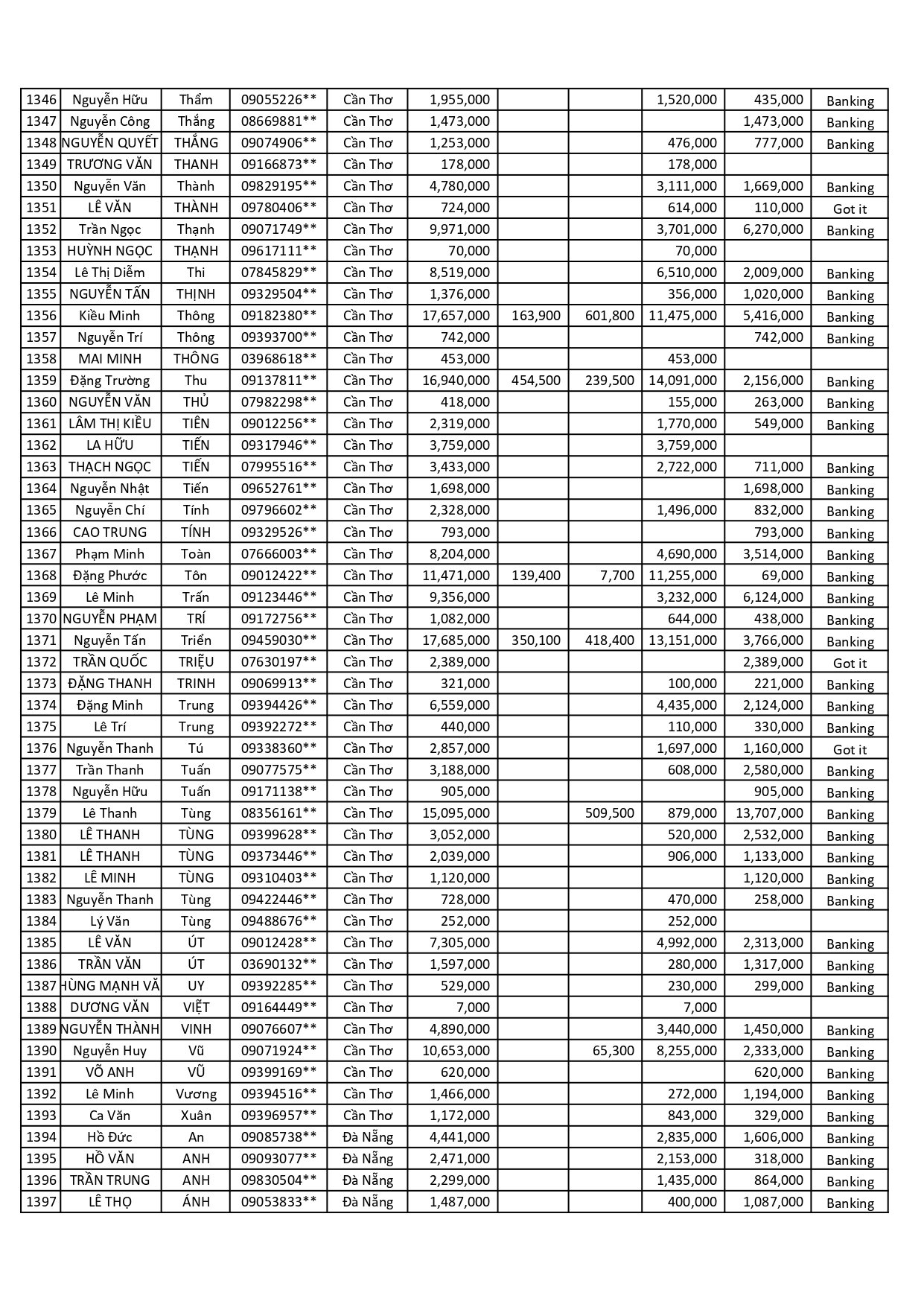
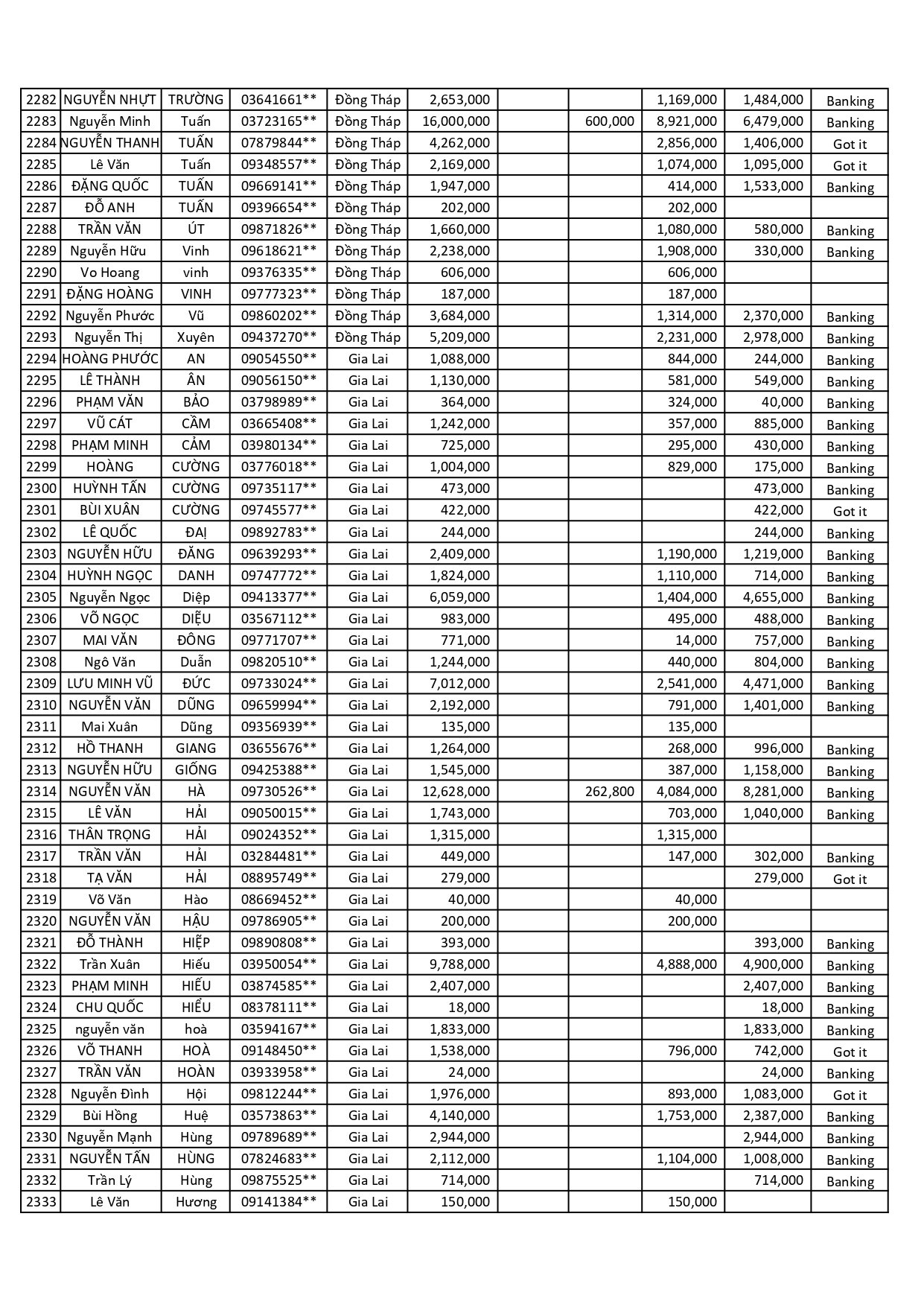
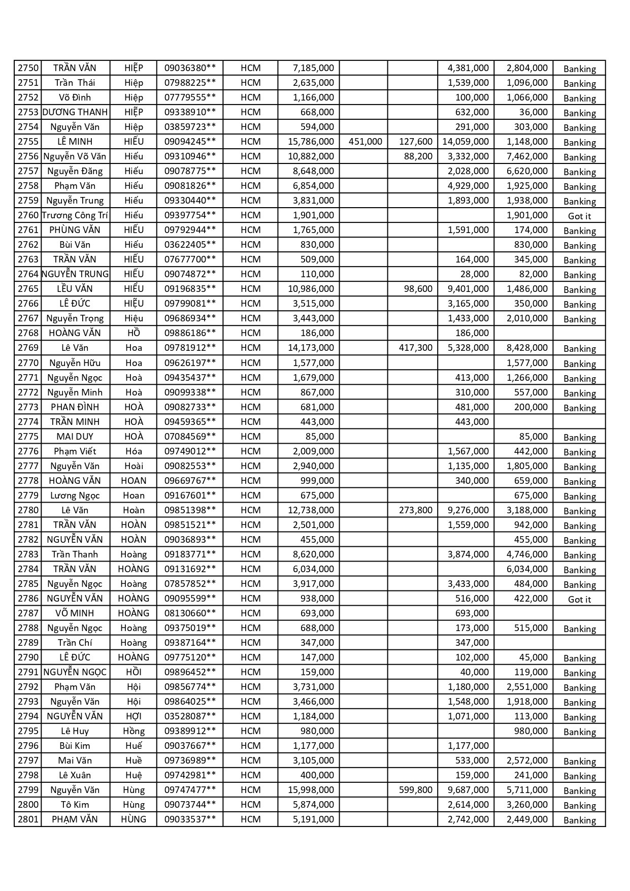
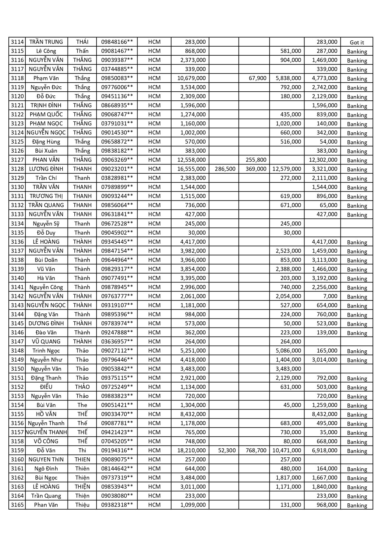
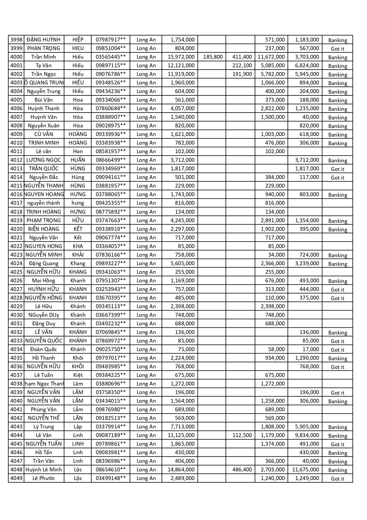
Vĩnh Tường cập nhật kết quả Chương trình khuyến mãi NHÀ SANG THƯỞNG XỊN 01.09.2023 - 31.10.2023
*Với quà tặng là Phiếu mua hàng/ Chuyển khoản, Quà tặng sẽ được chuyển đến khách hàng muộn nhất là 15 ngày sau ngày công bố kết quả.



















































































































