vinhtuong đăng vào lúc 12/10/2023 - 09:55
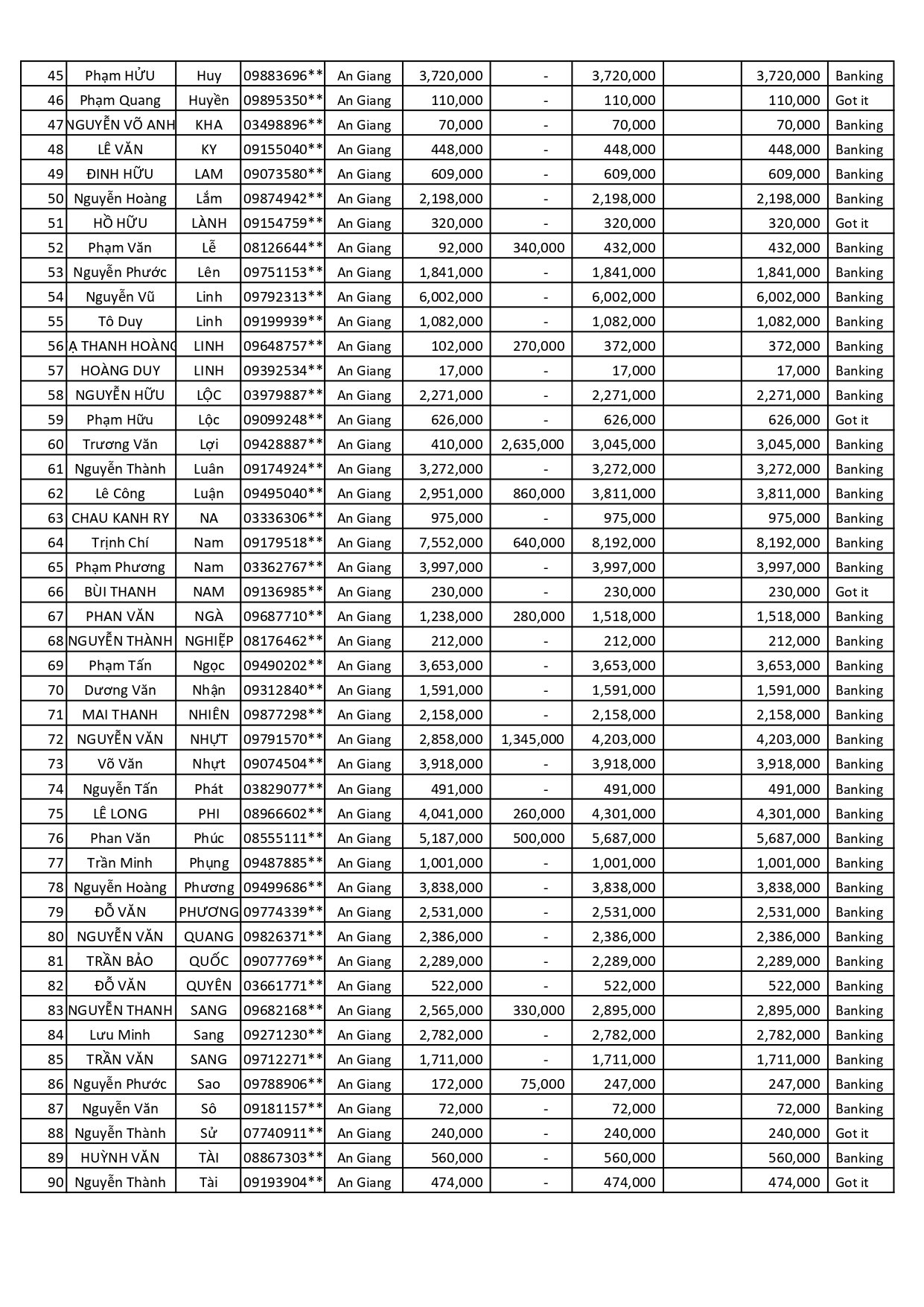
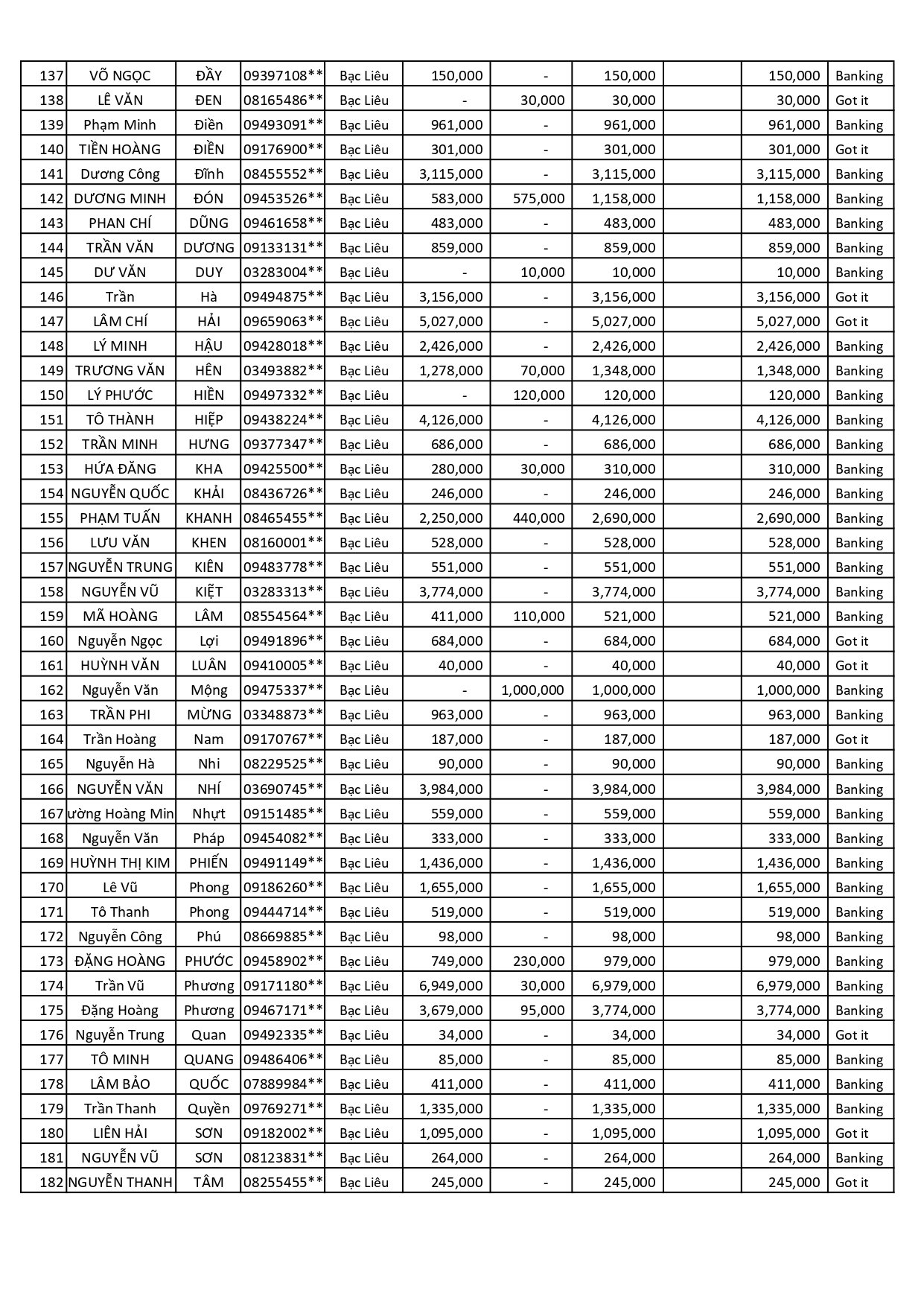
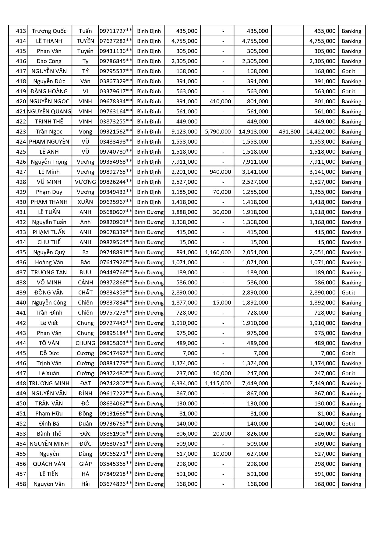
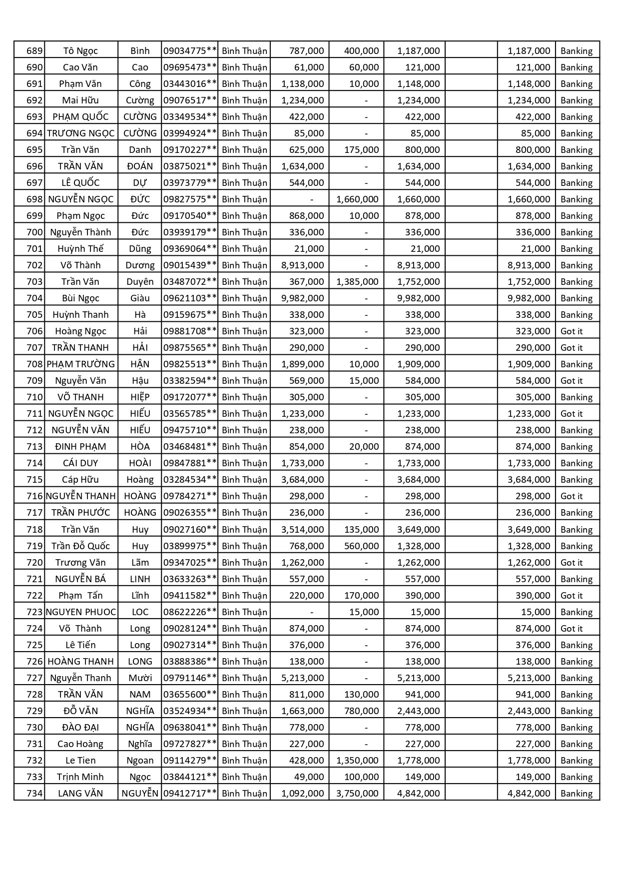
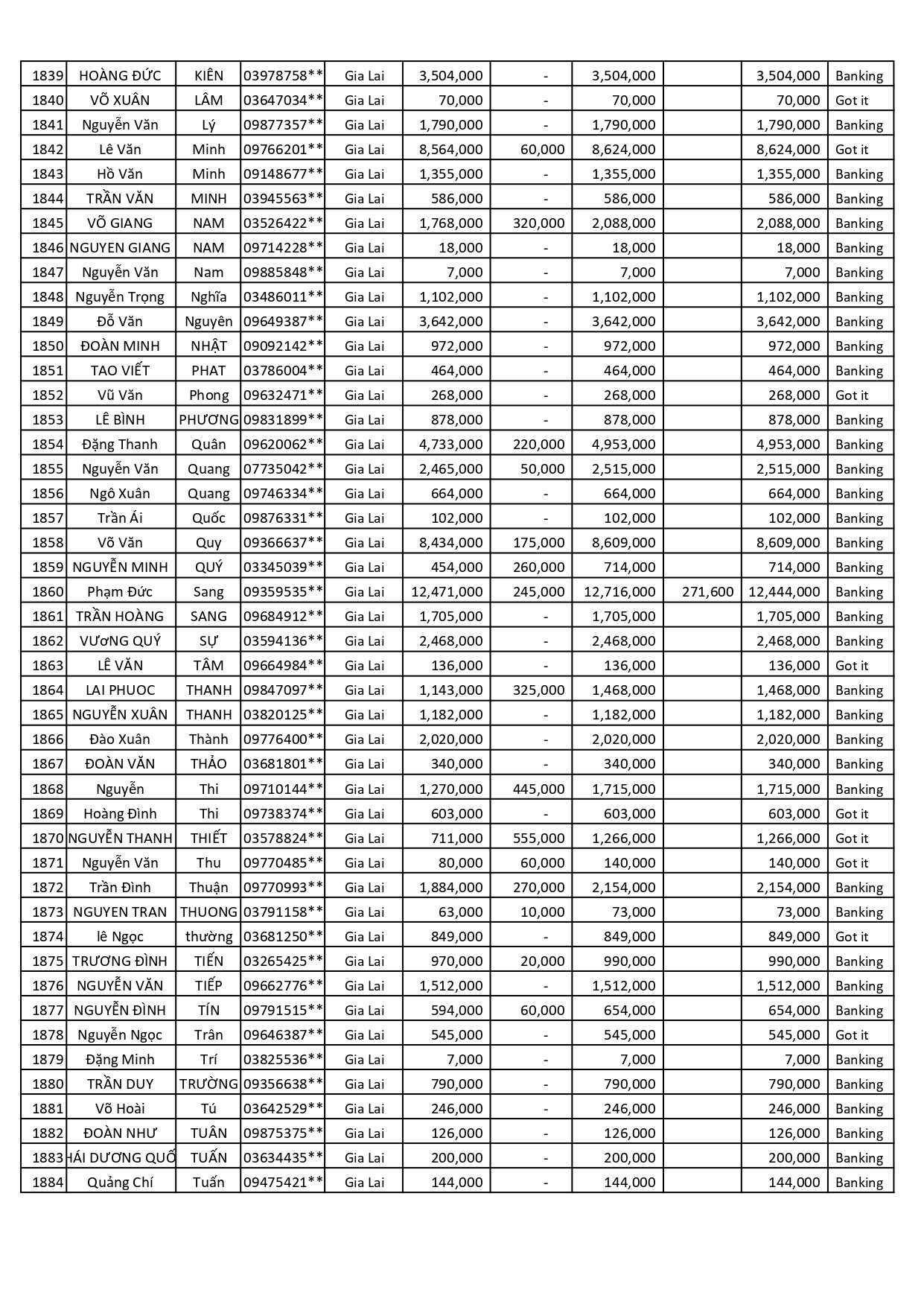
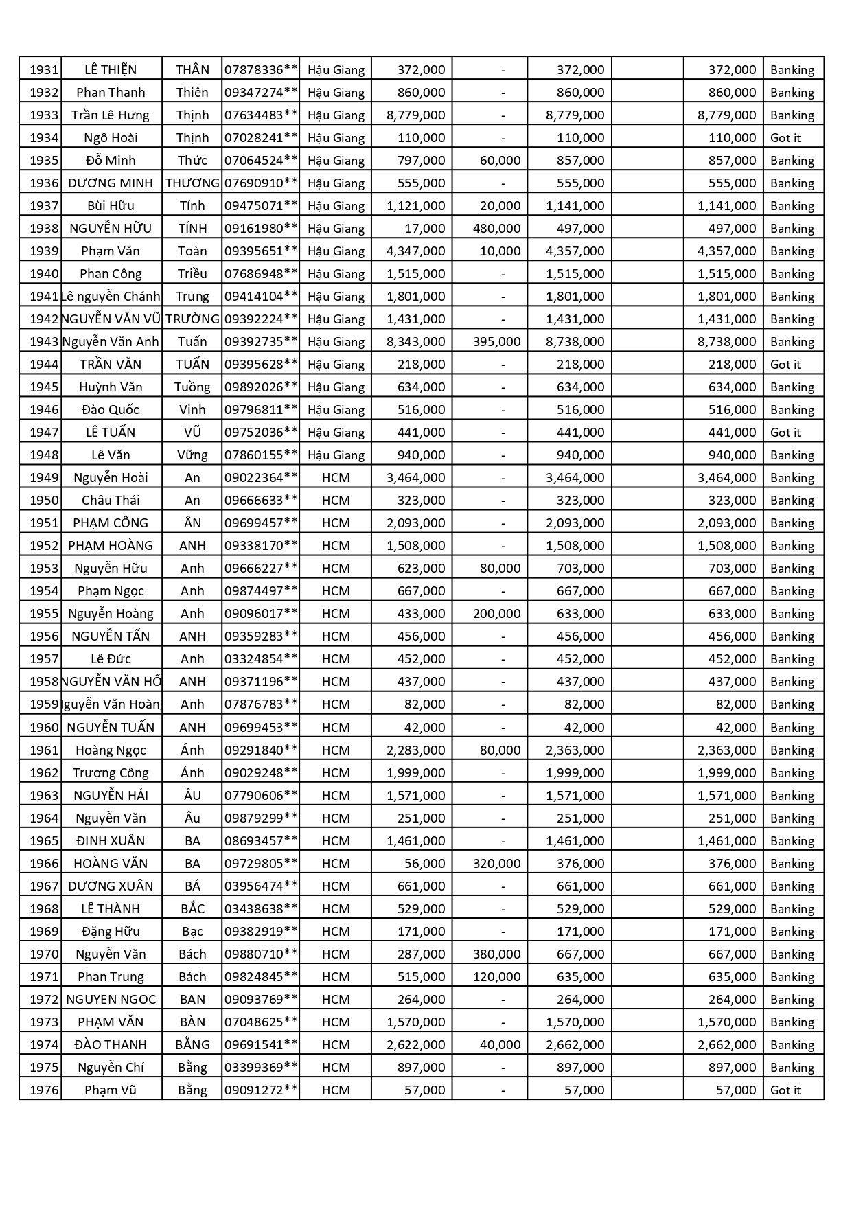
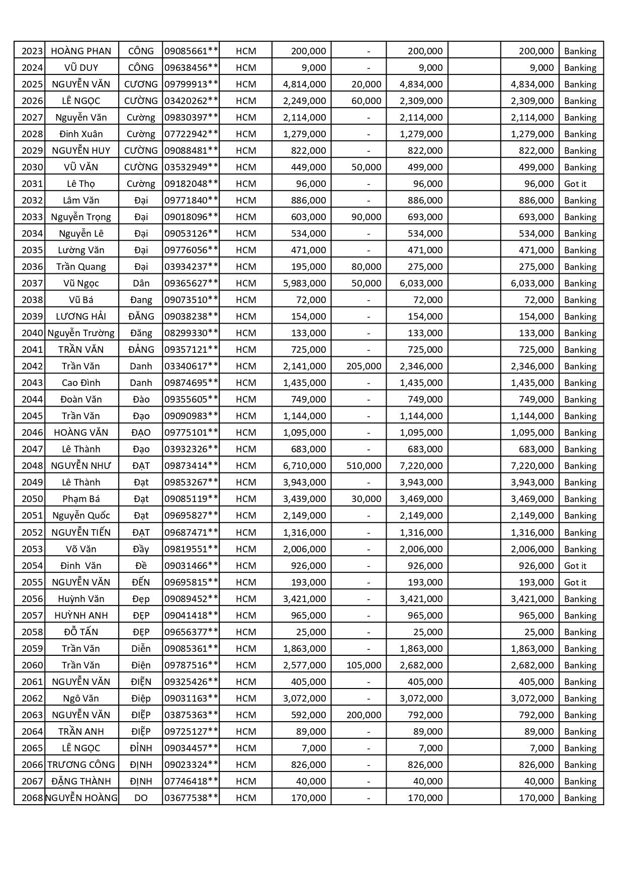
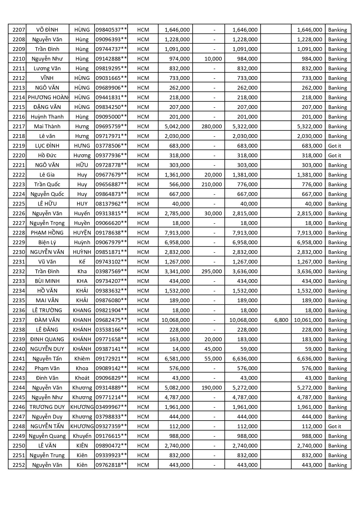
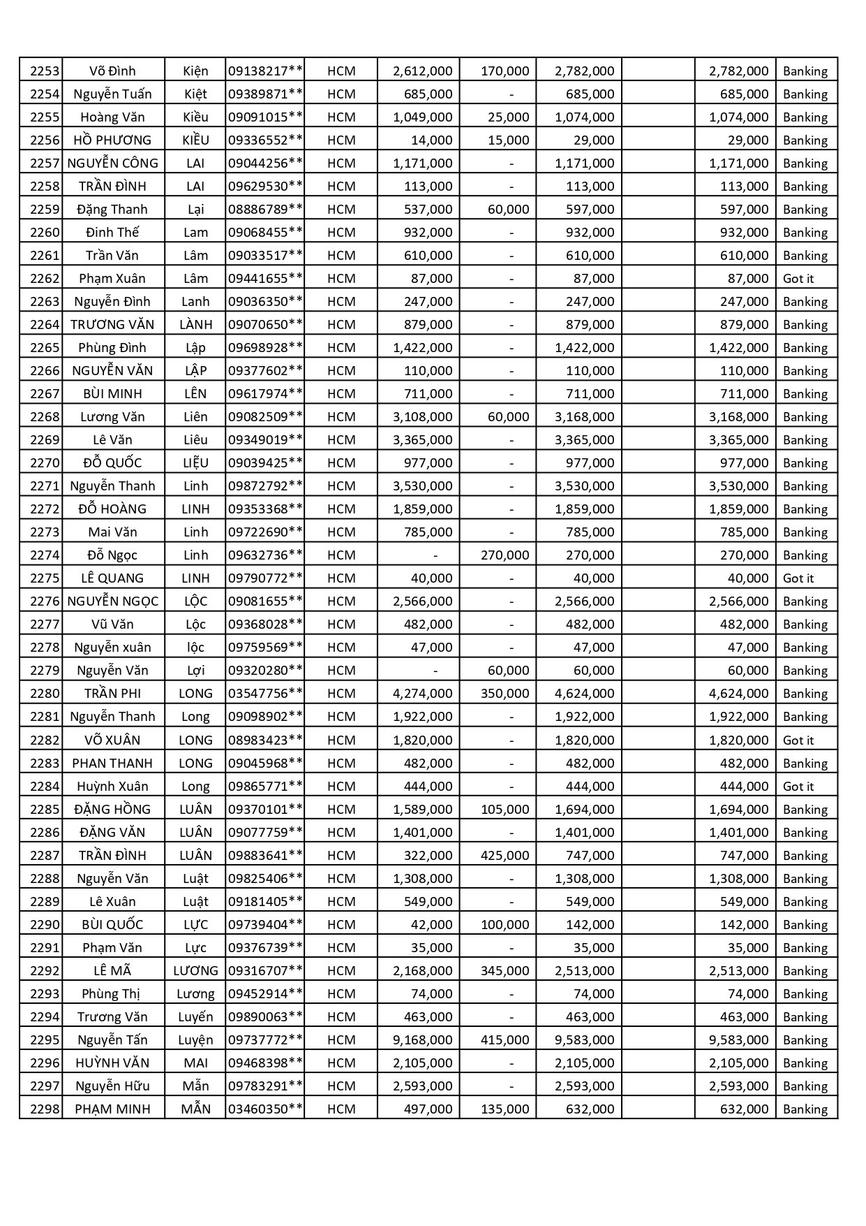
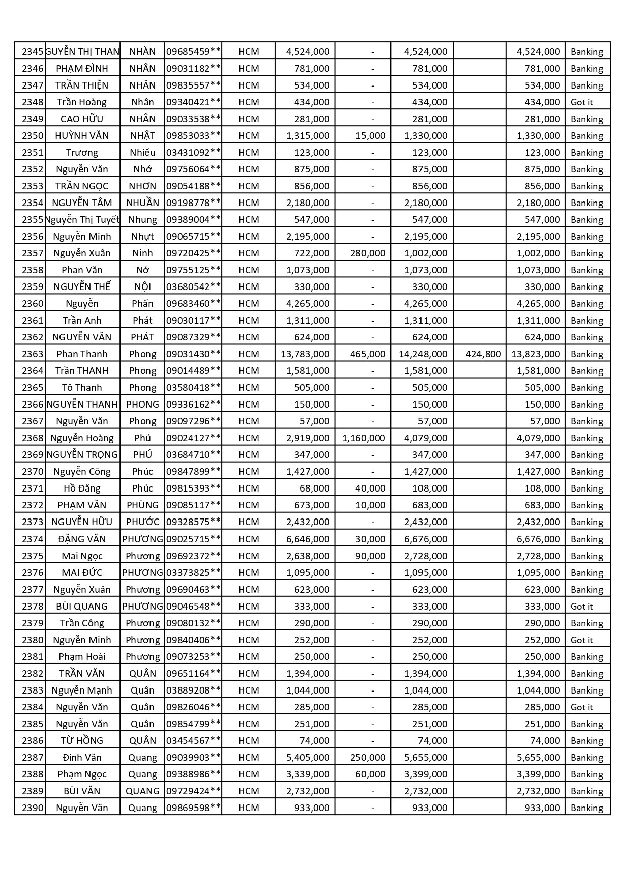
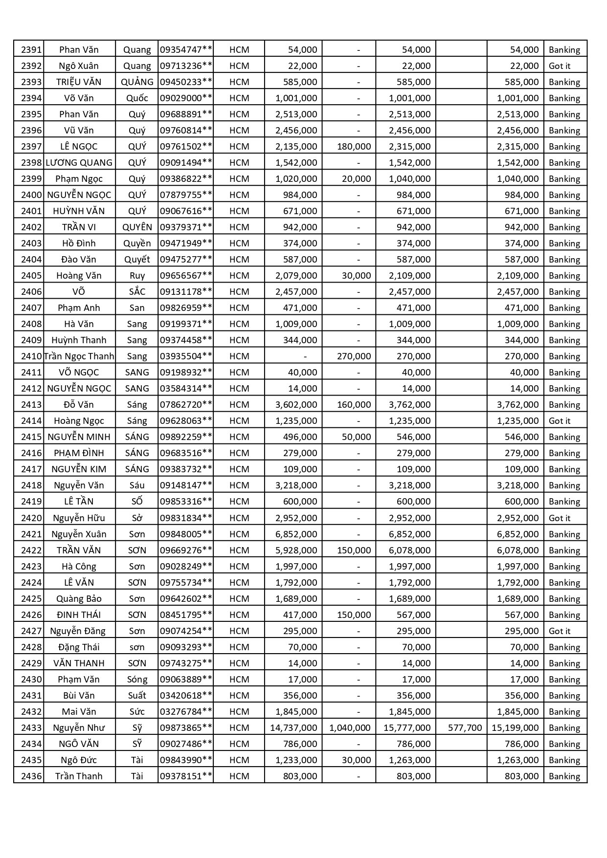
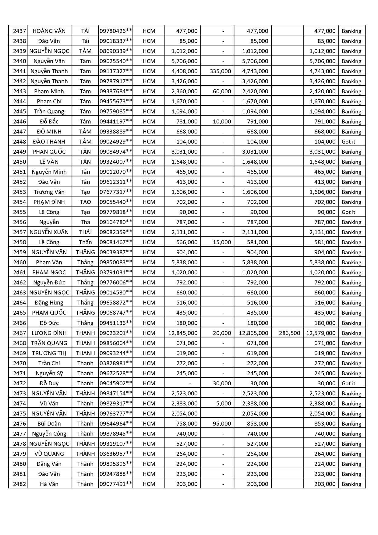
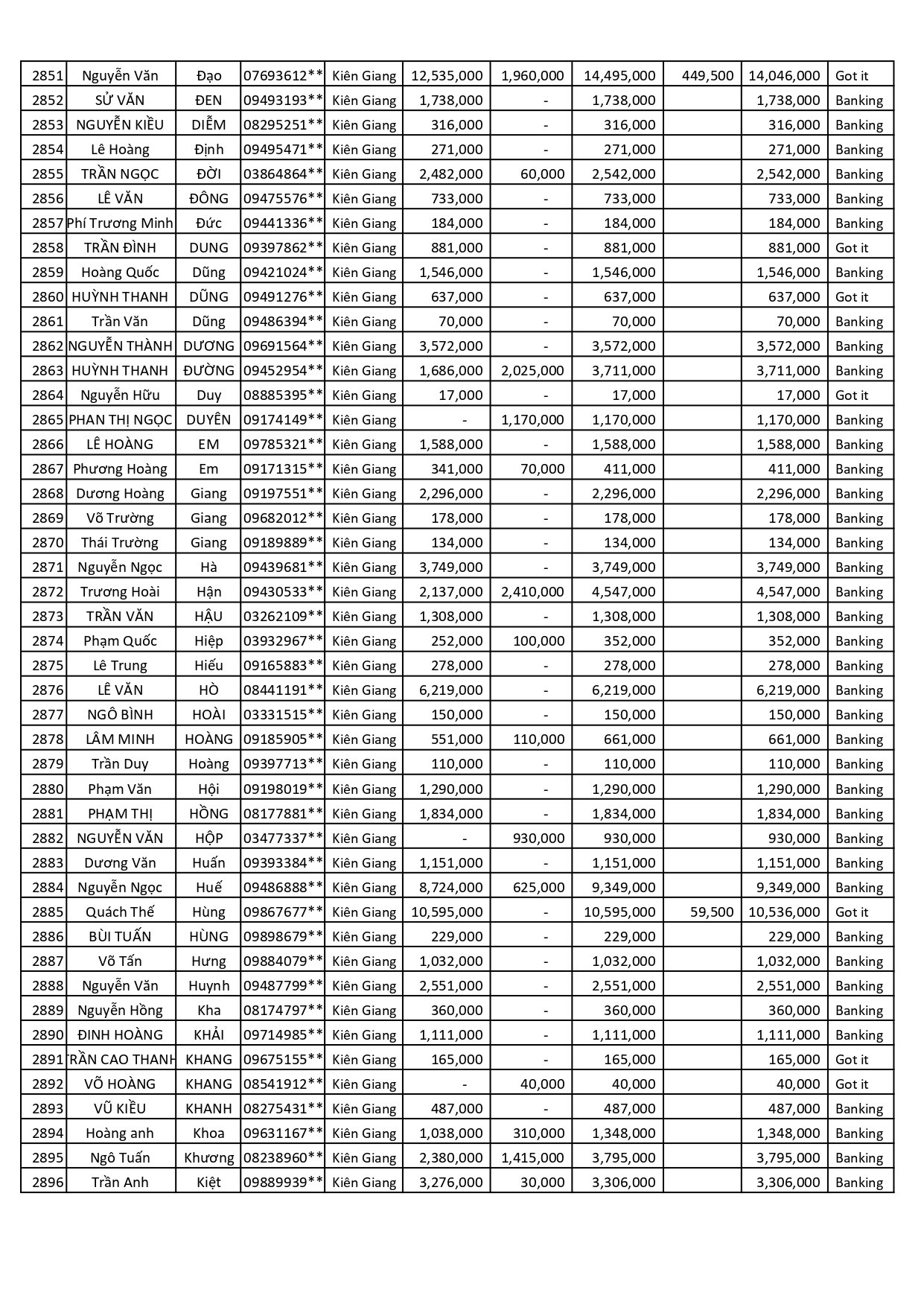
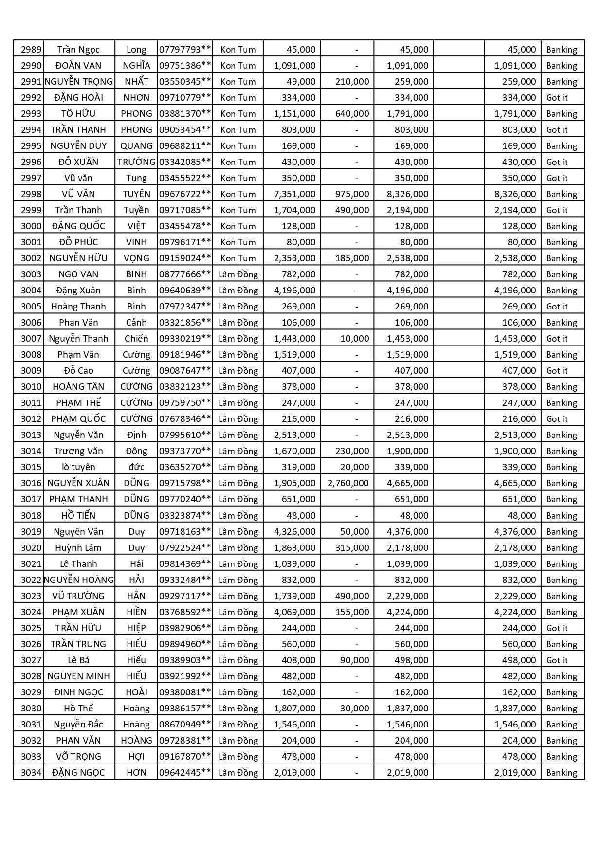
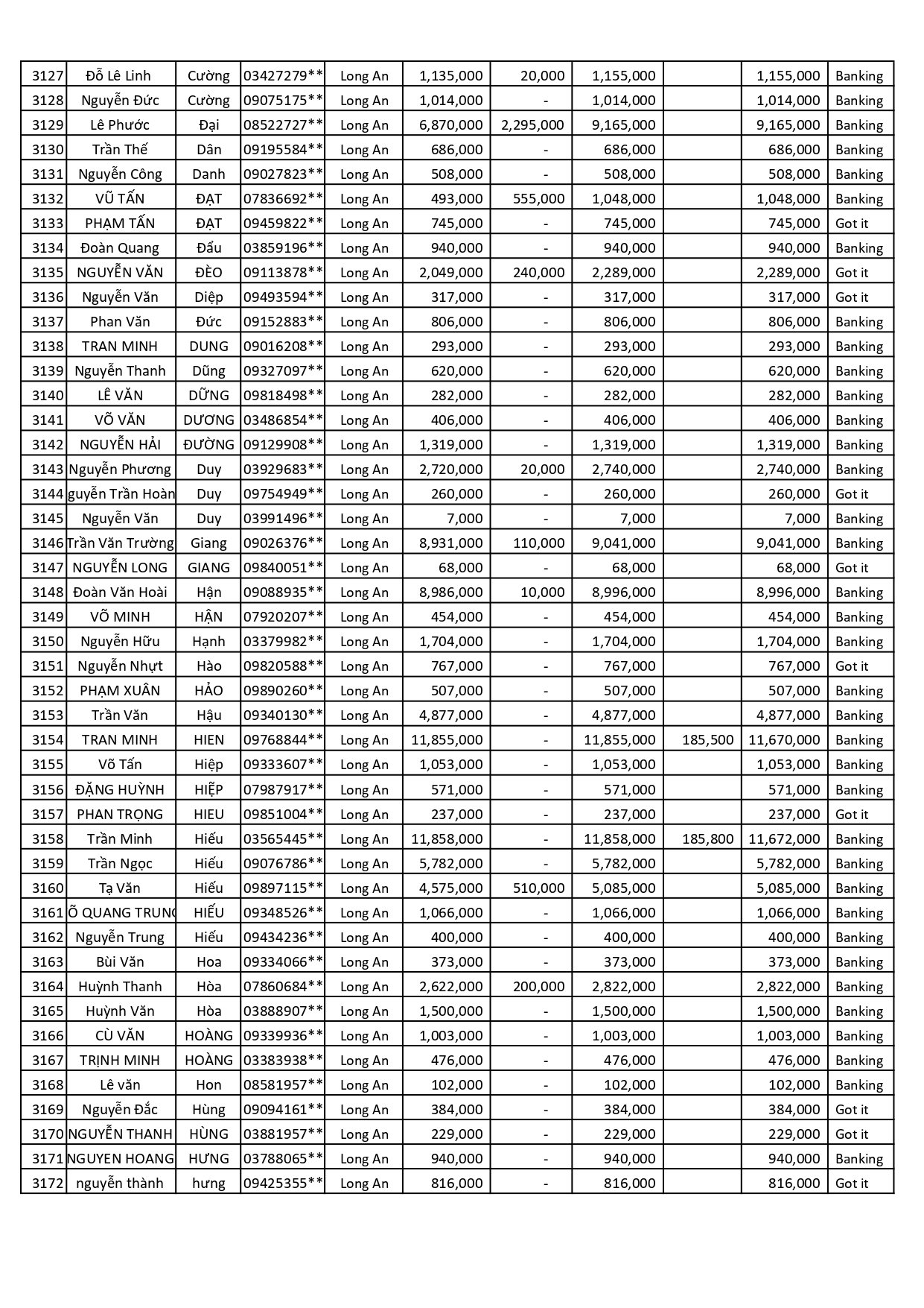
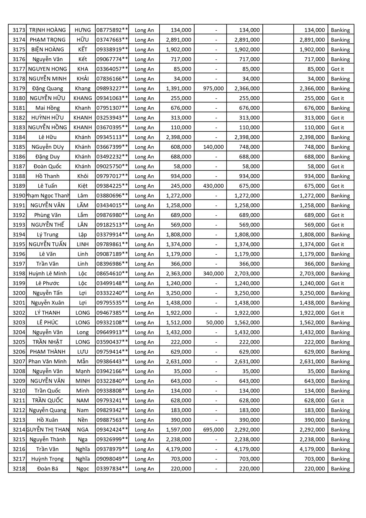
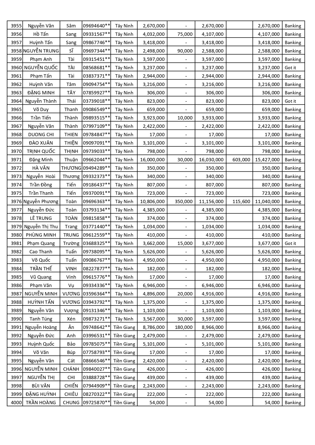
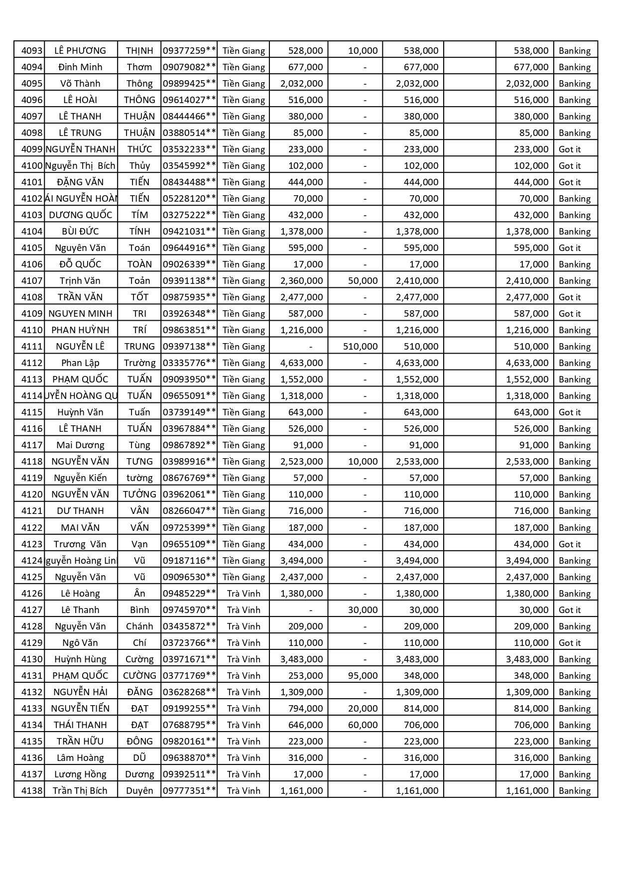
CẬP NHẬT KẾT QUẢ CTKM: "NHÀ SANG THƯỞNG XỊN" 01.09.2023 - 30.09.2023
CẬP NHẬT KẾT QUẢ CTKM NHÀ SANG THƯỞNG XỊN 01.09.2023 - 30.09.2023
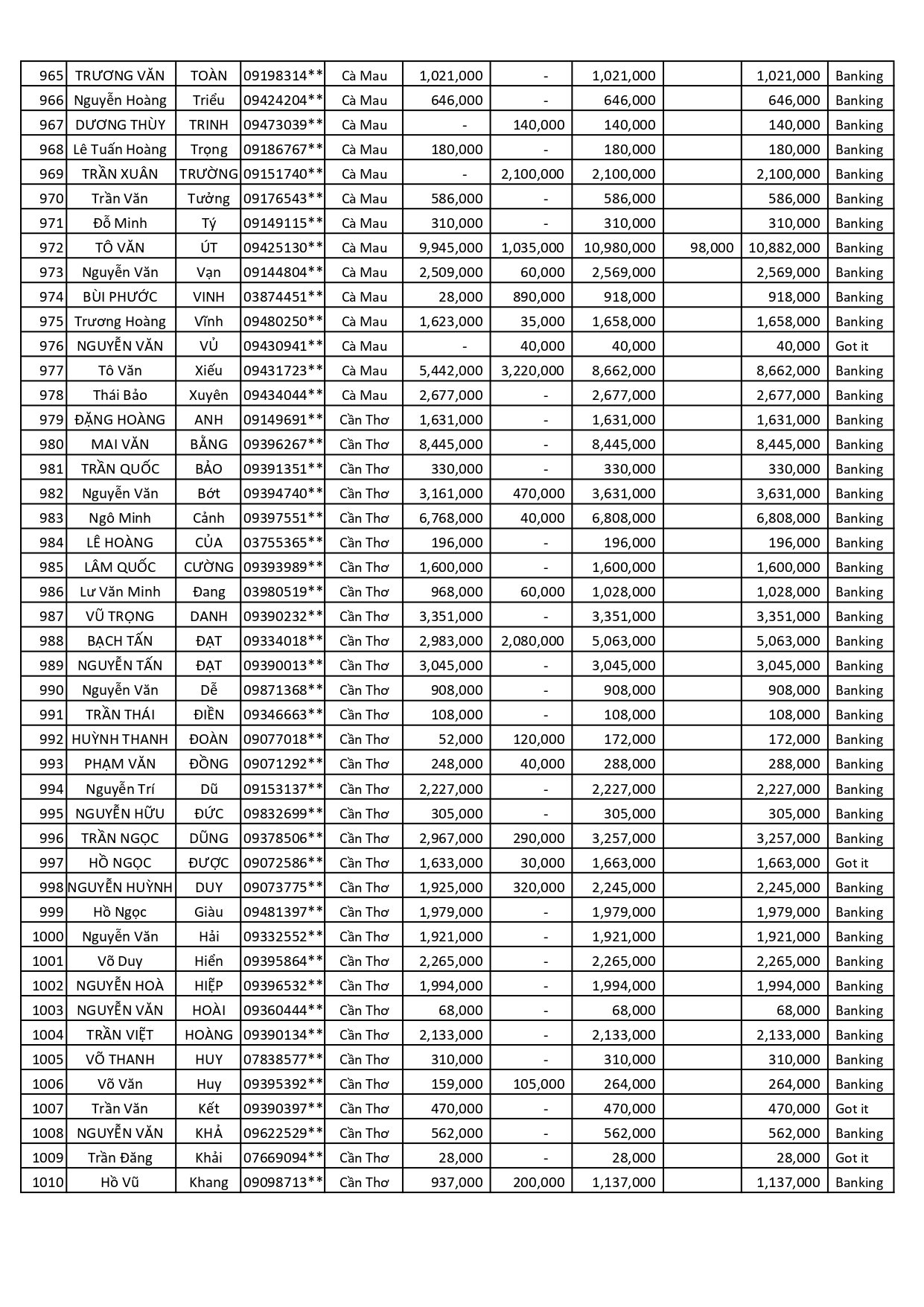
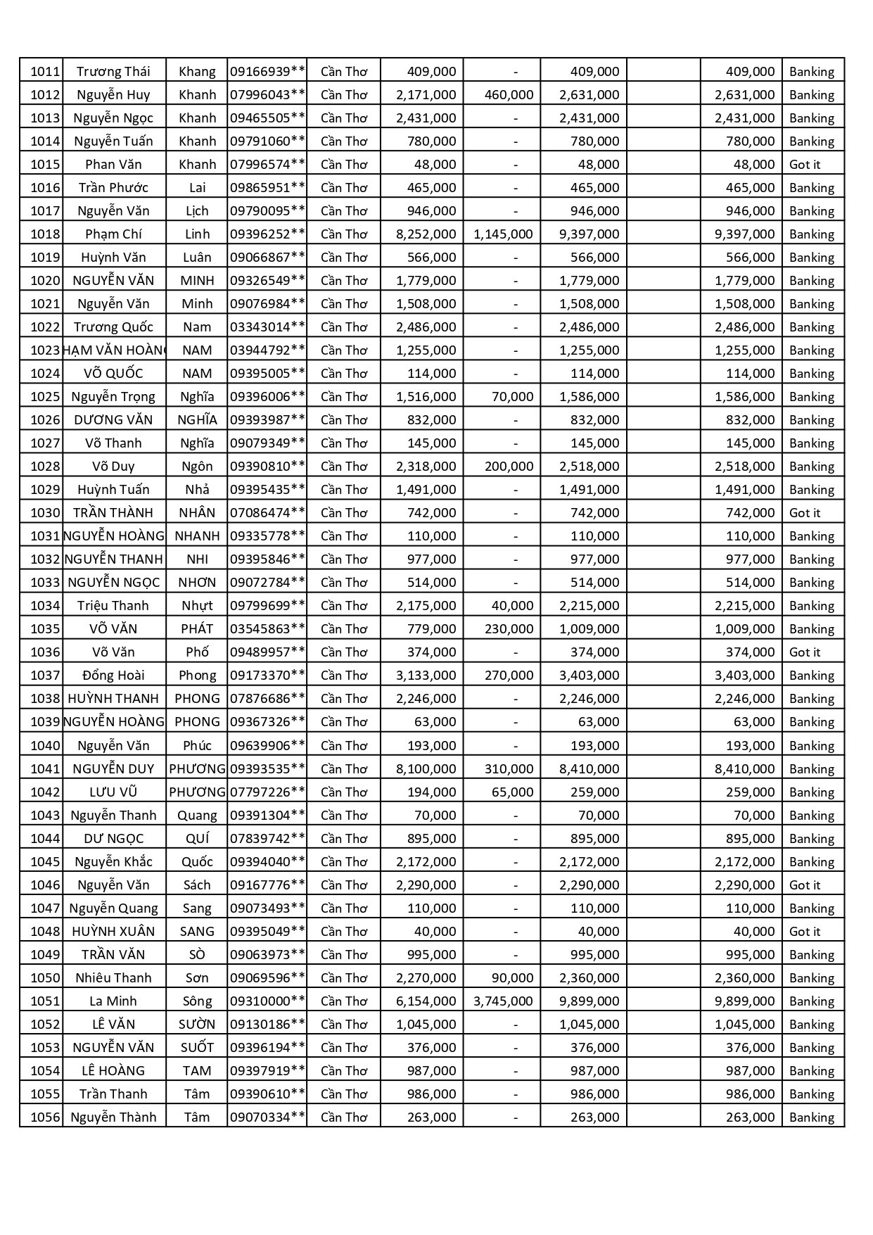
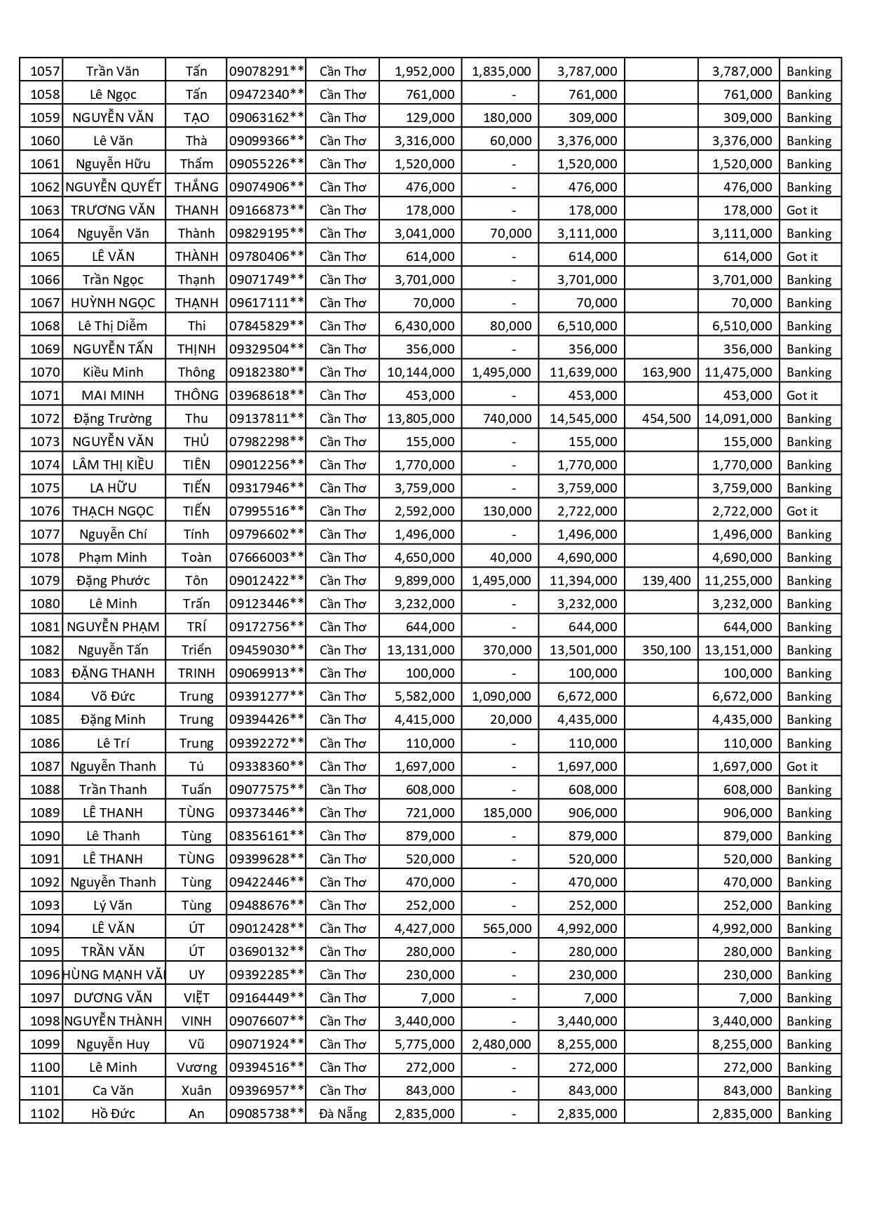
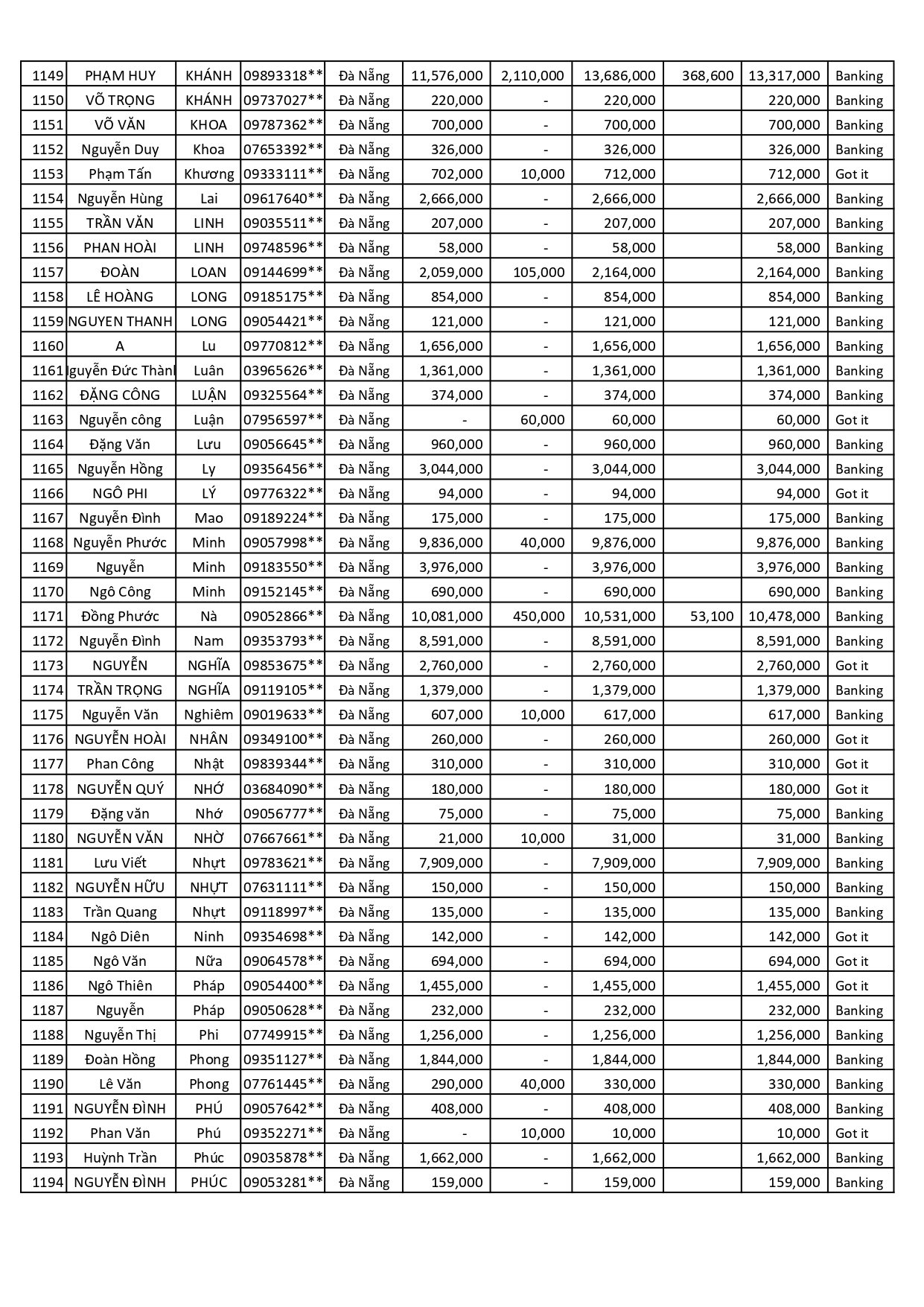
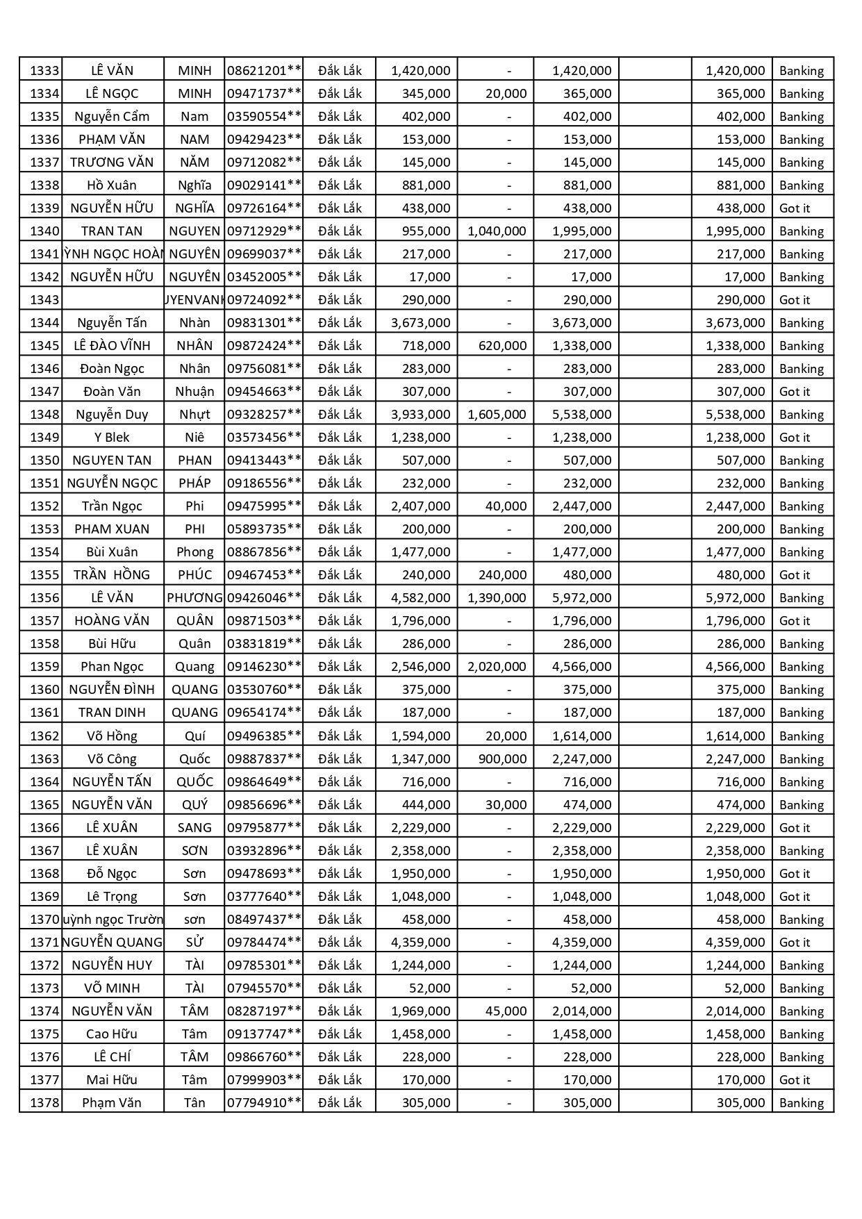
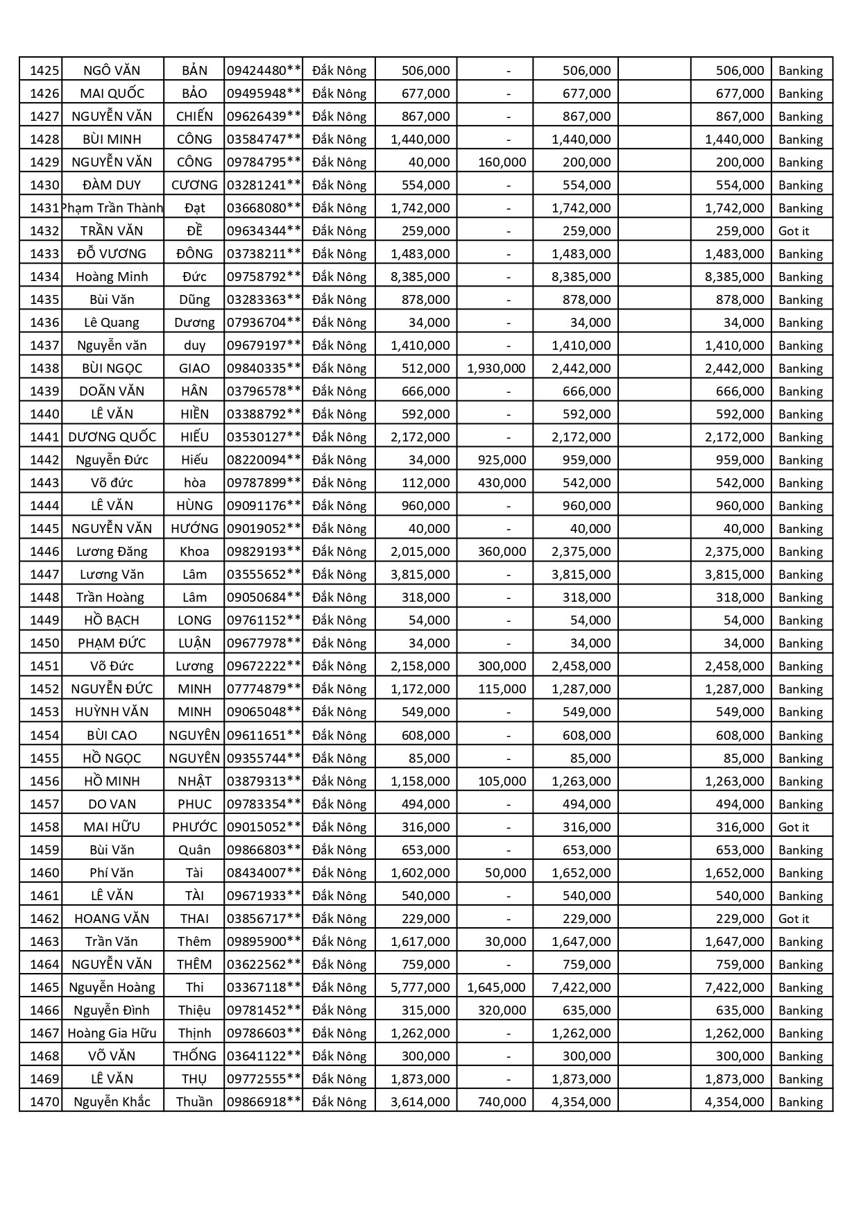
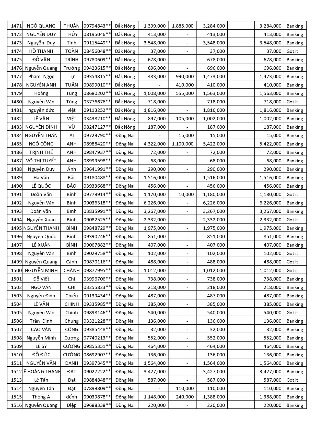
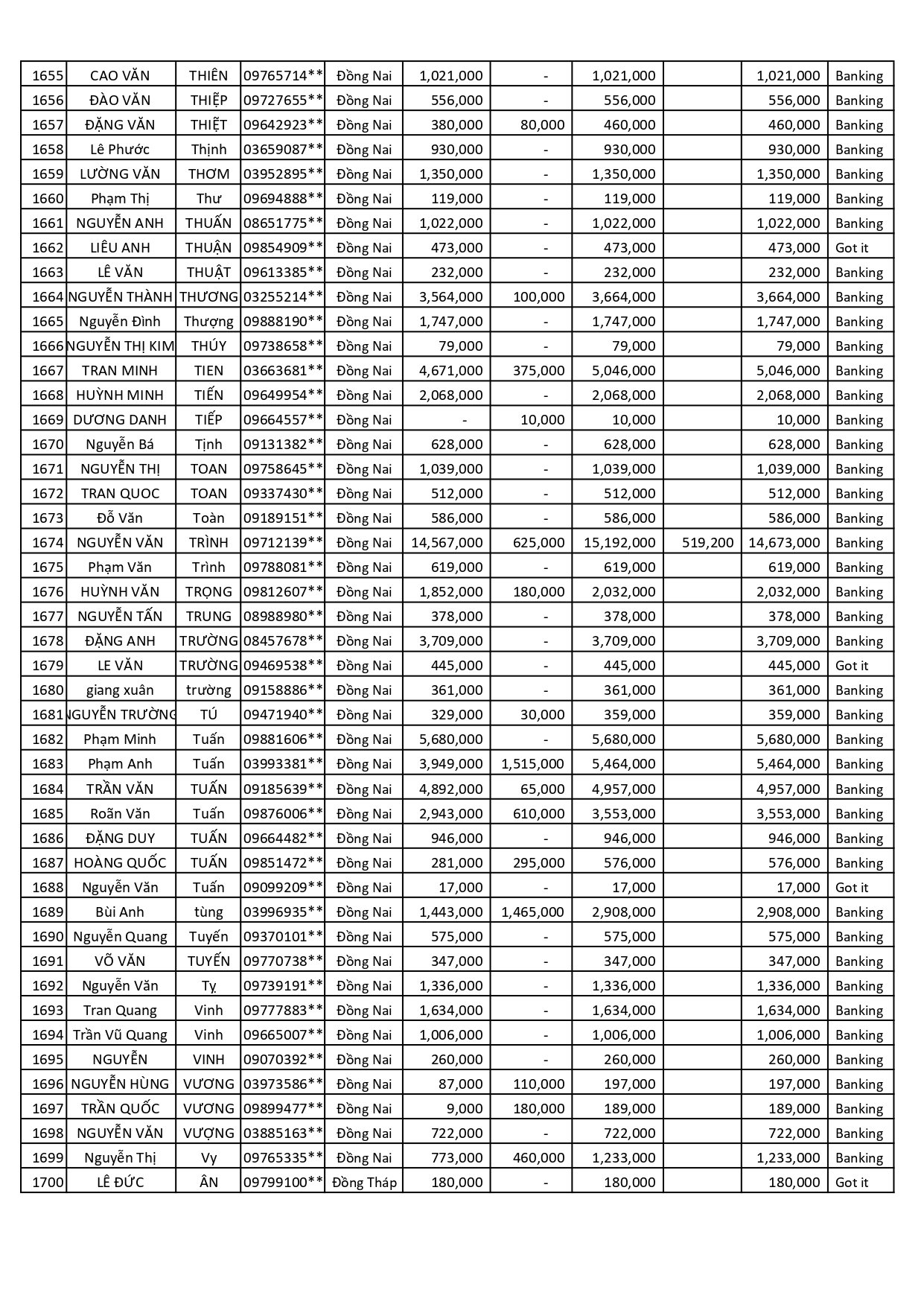
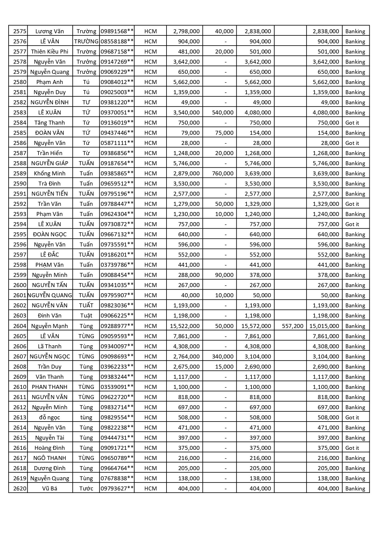
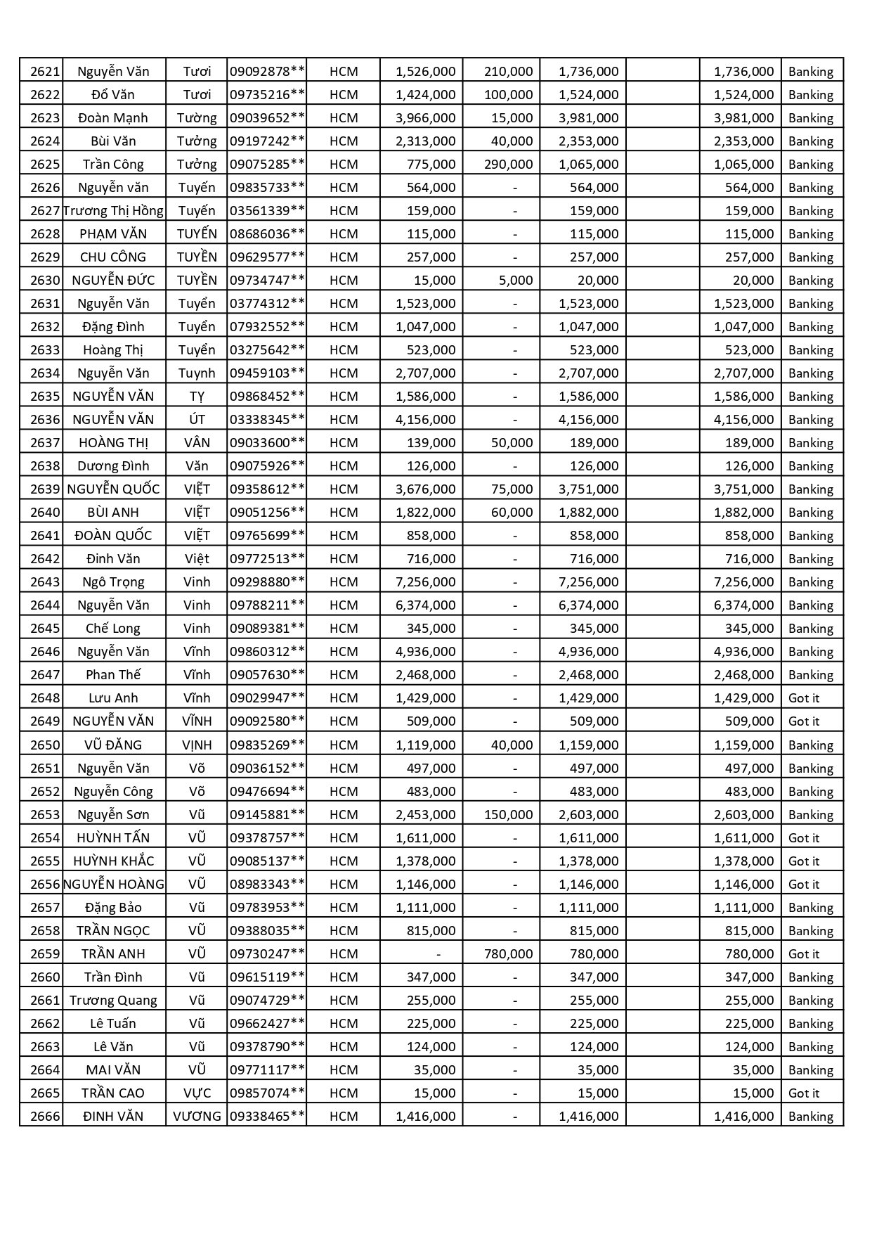
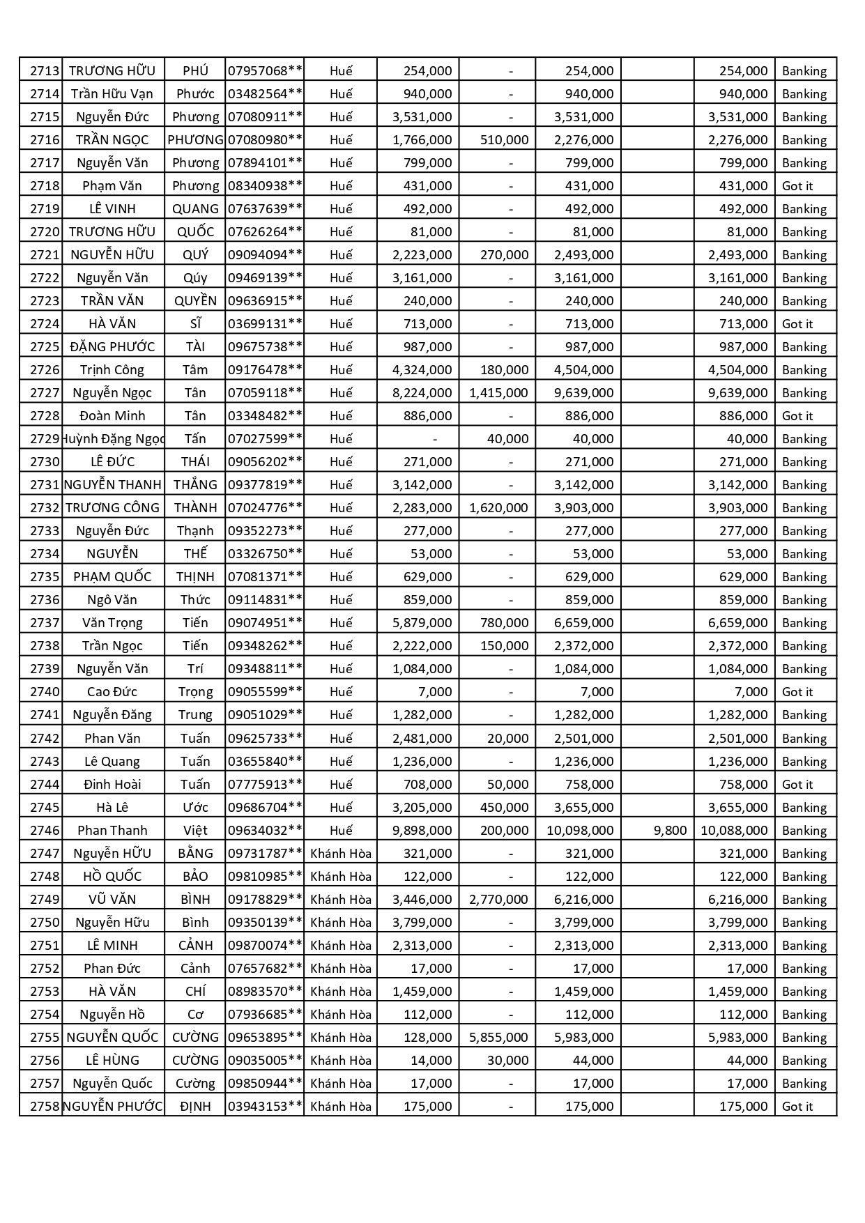
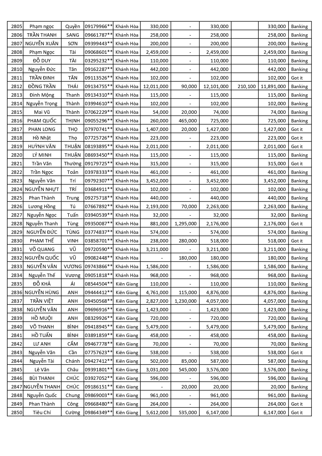
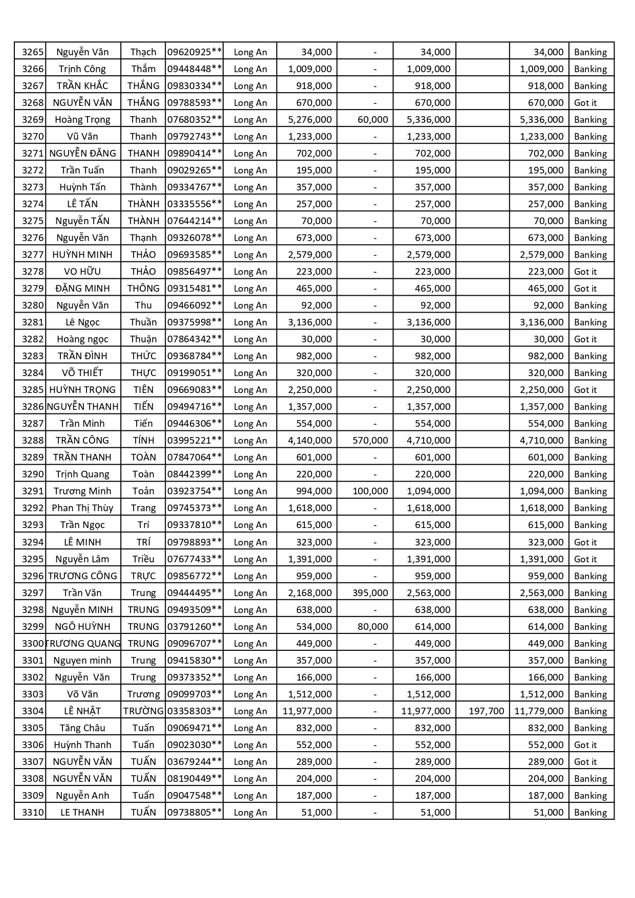
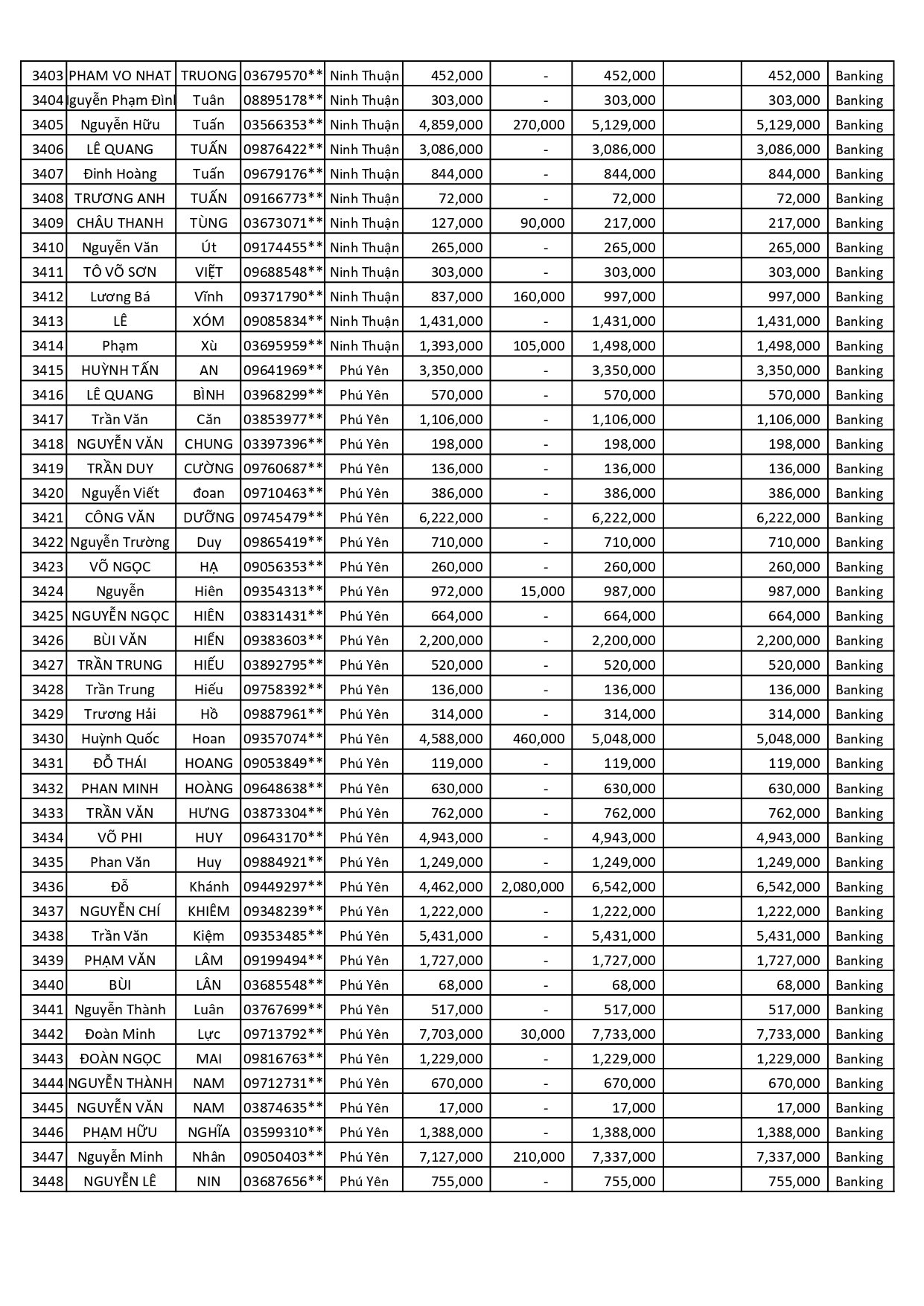
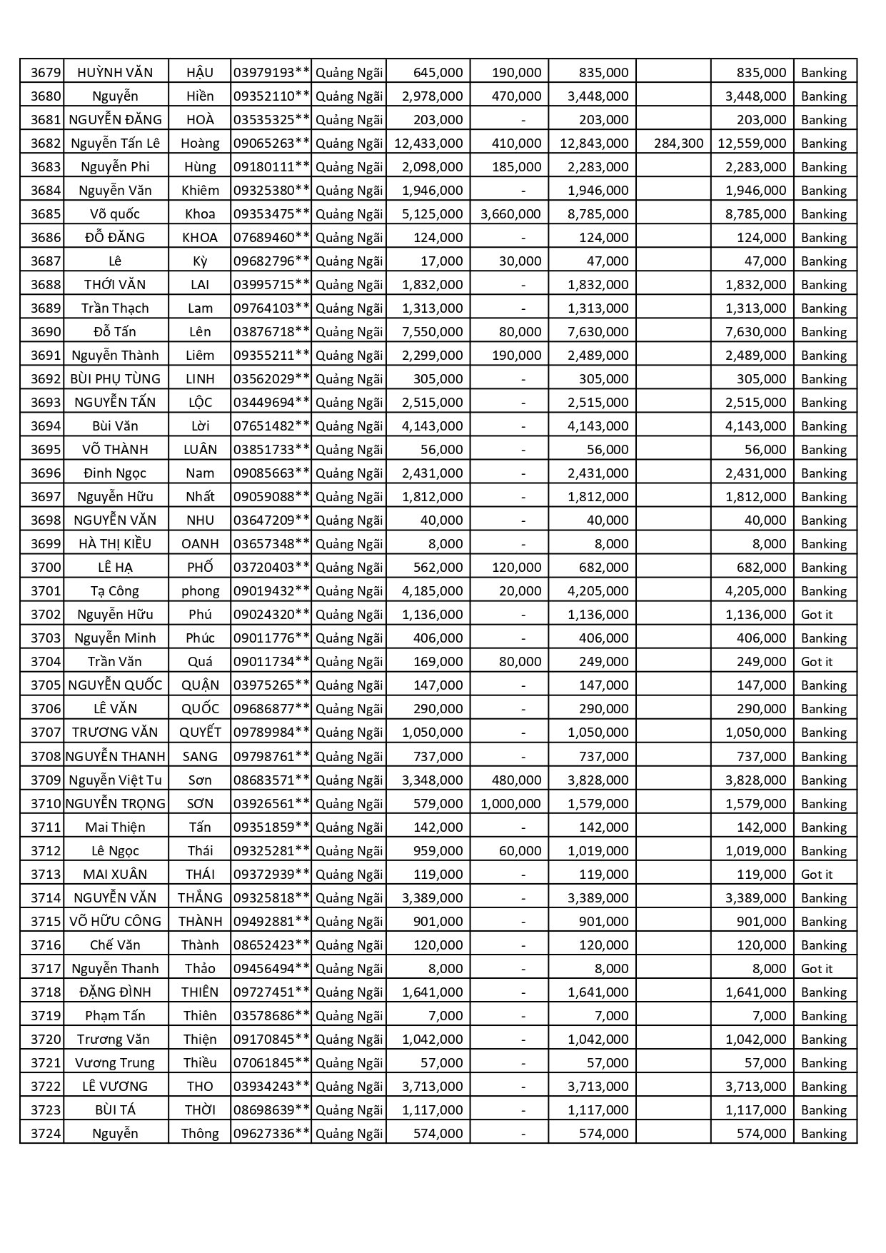
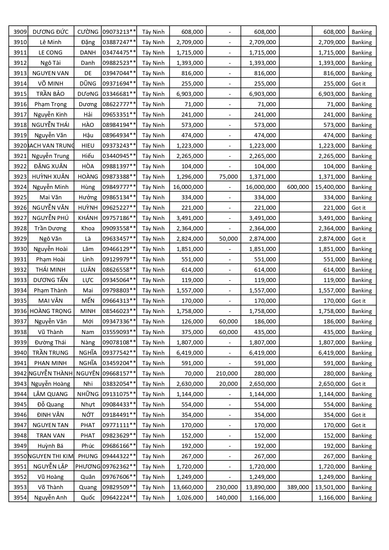
Vĩnh Tường cập nhật kết quả Chương trình khuyến mãi NHÀ SANG THƯỞNG XỊN từ 01.09.2023 đến 30.09.2023
*Với quà tặng là Phiếu mua hàng/ Chuyển khoản, Quà tặng sẽ được chuyển đến khách hàng muộn nhất là 15 ngày sau ngày công bố kết quả.










































































































