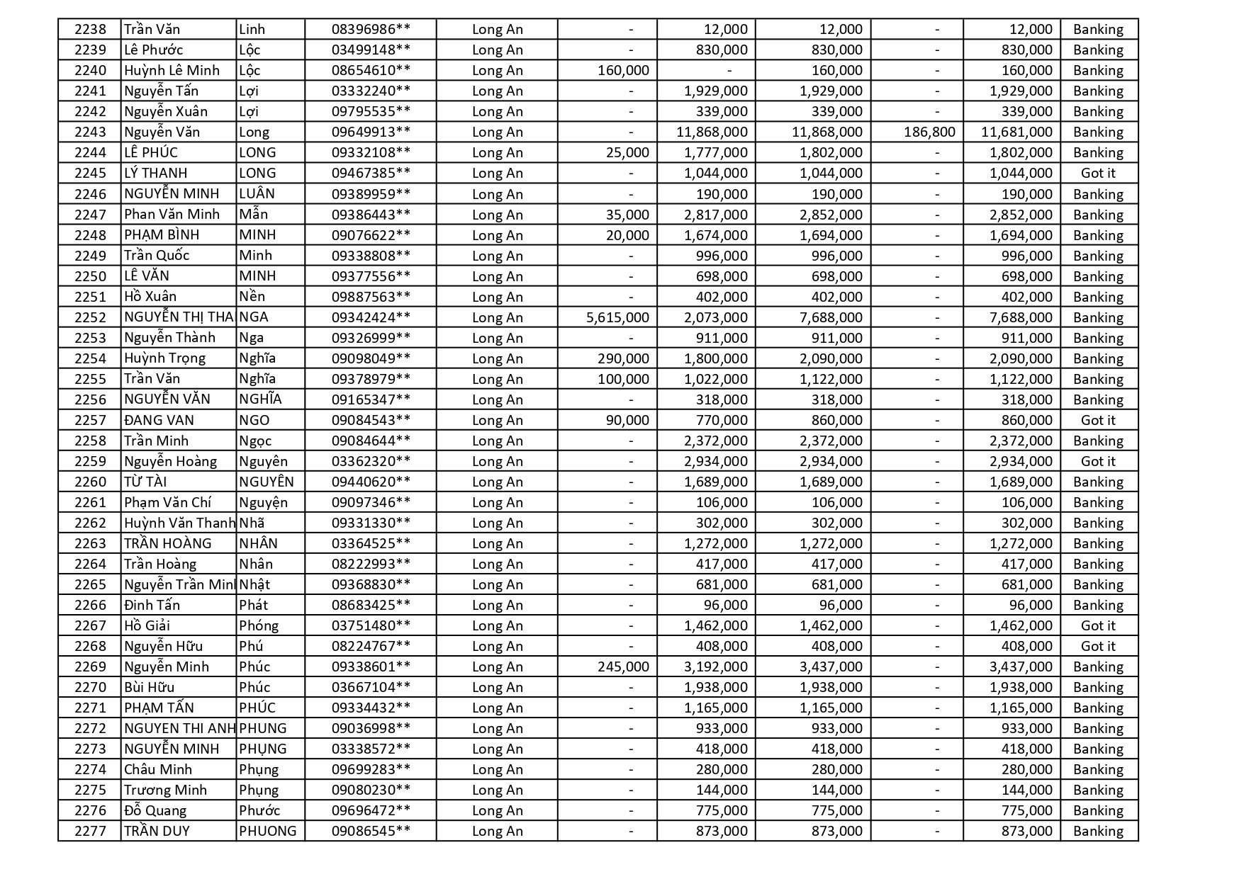
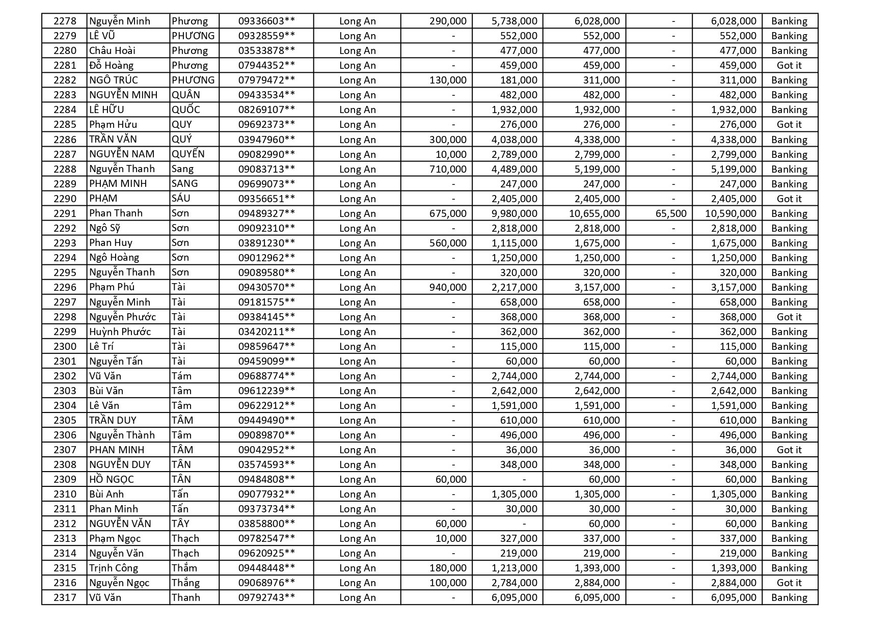
vinhtuong đăng vào lúc 14/05/2024 - 09:19
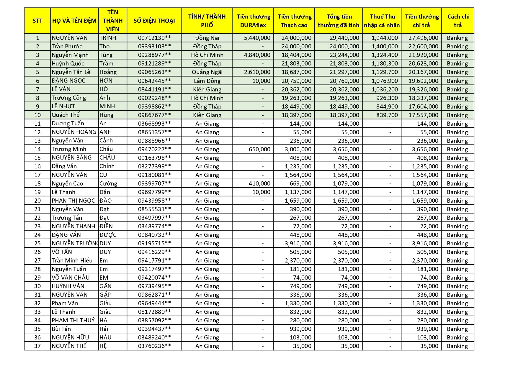
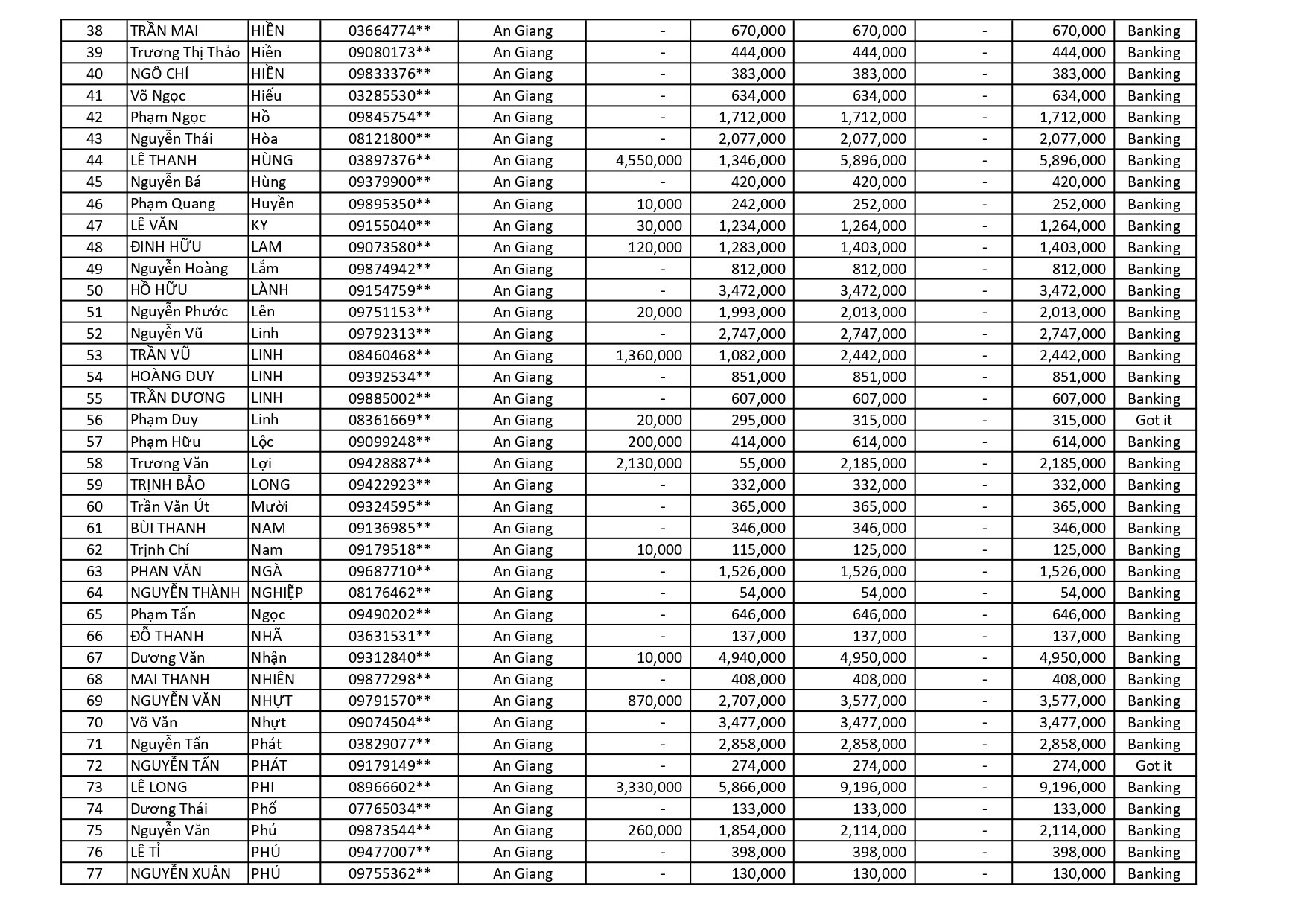
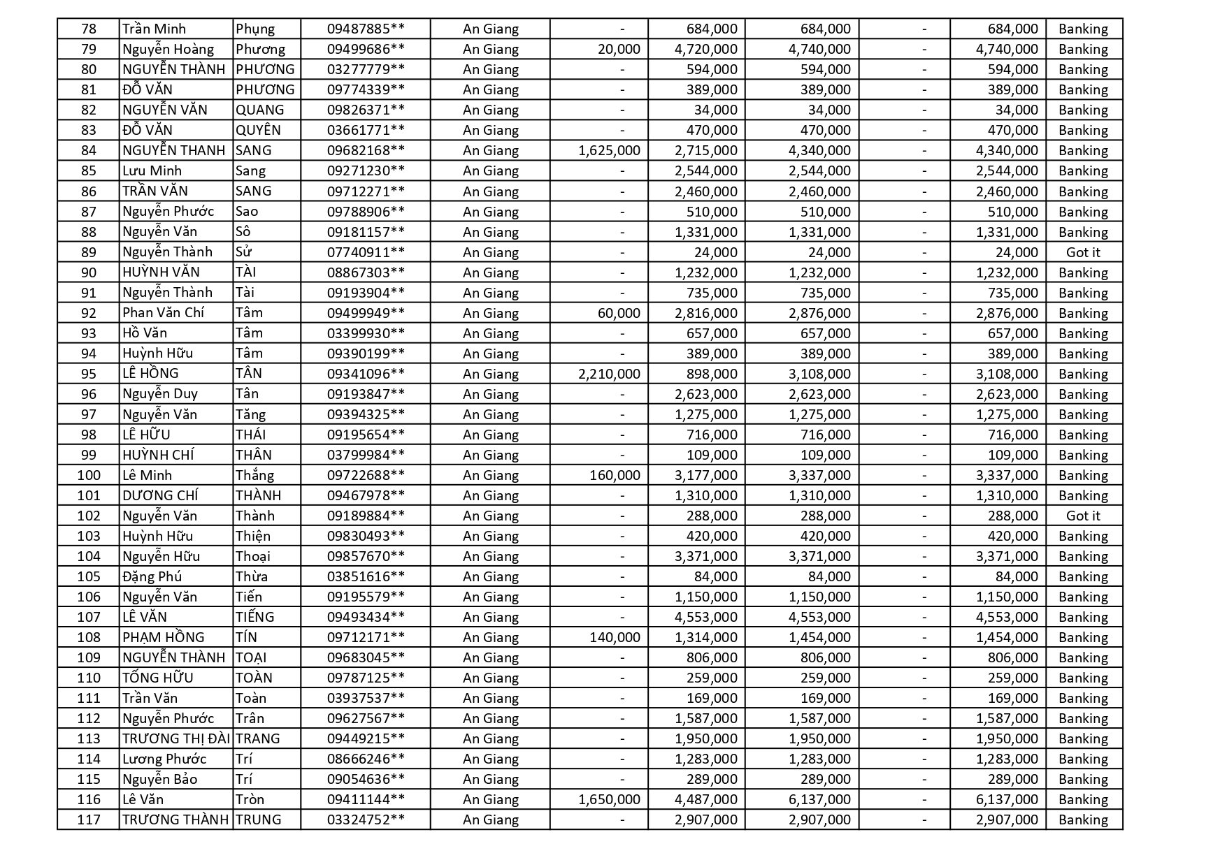
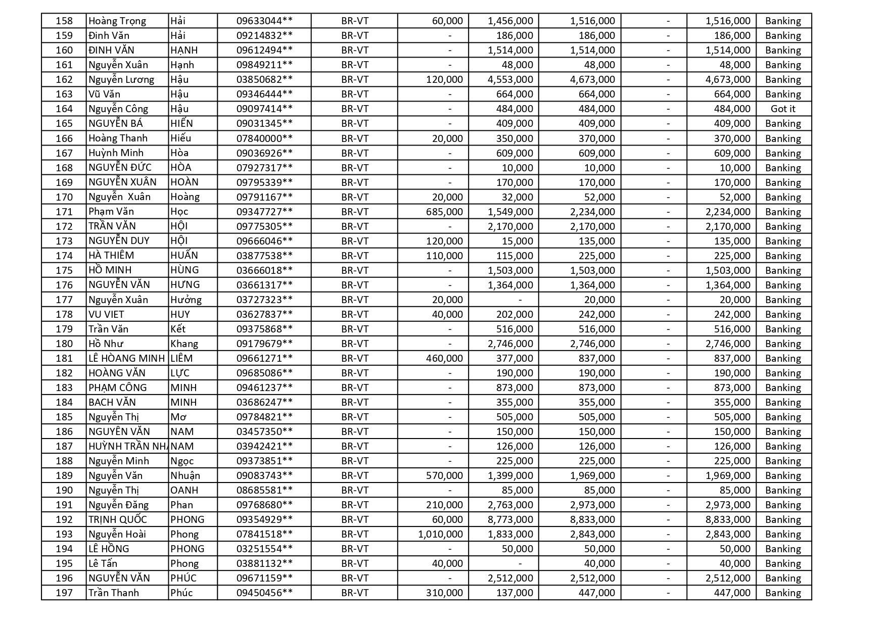
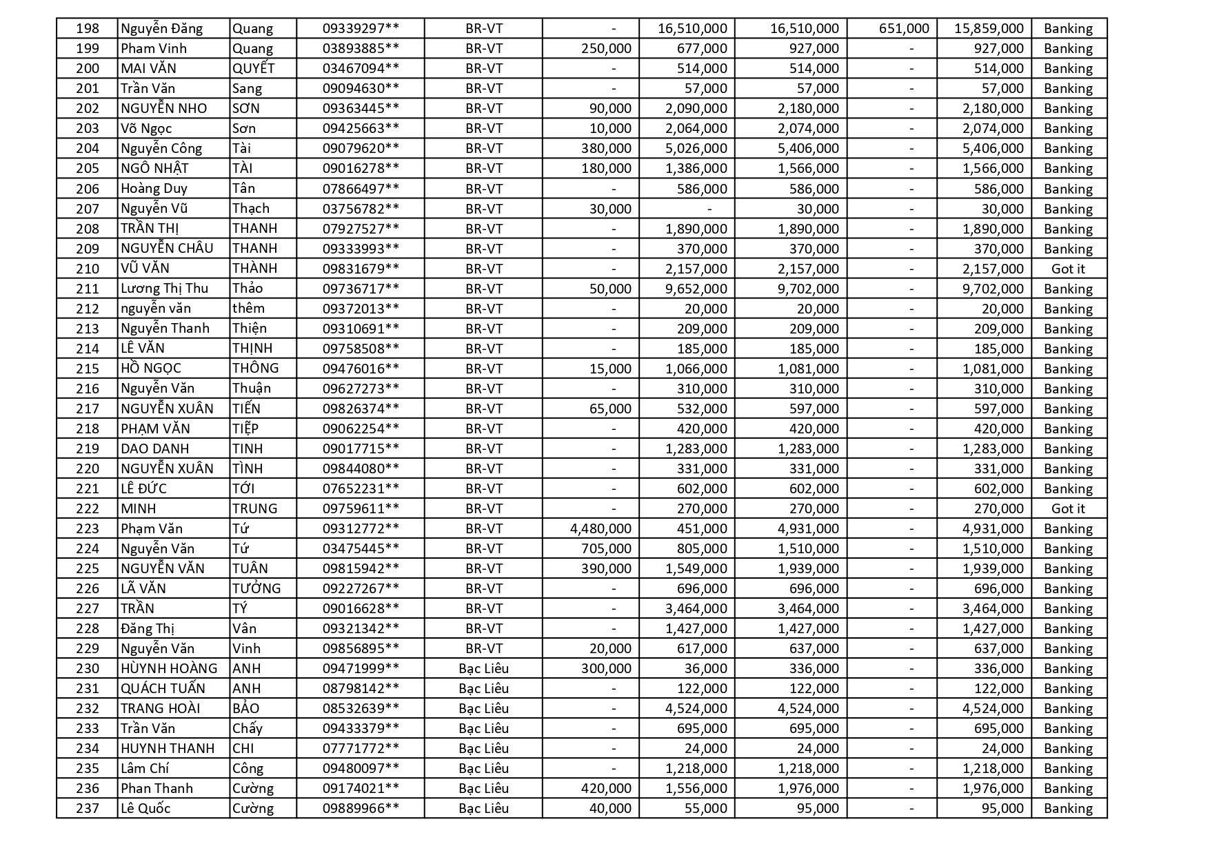
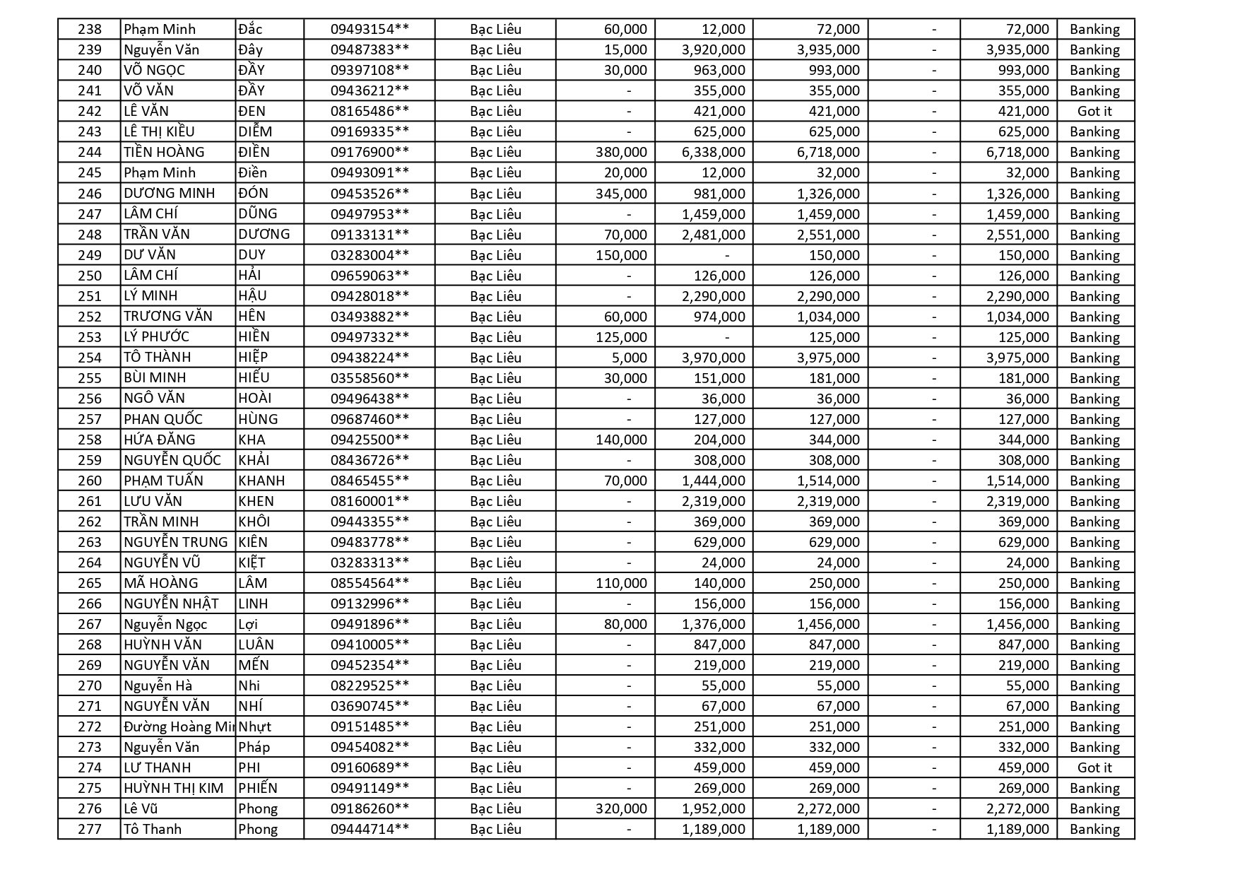
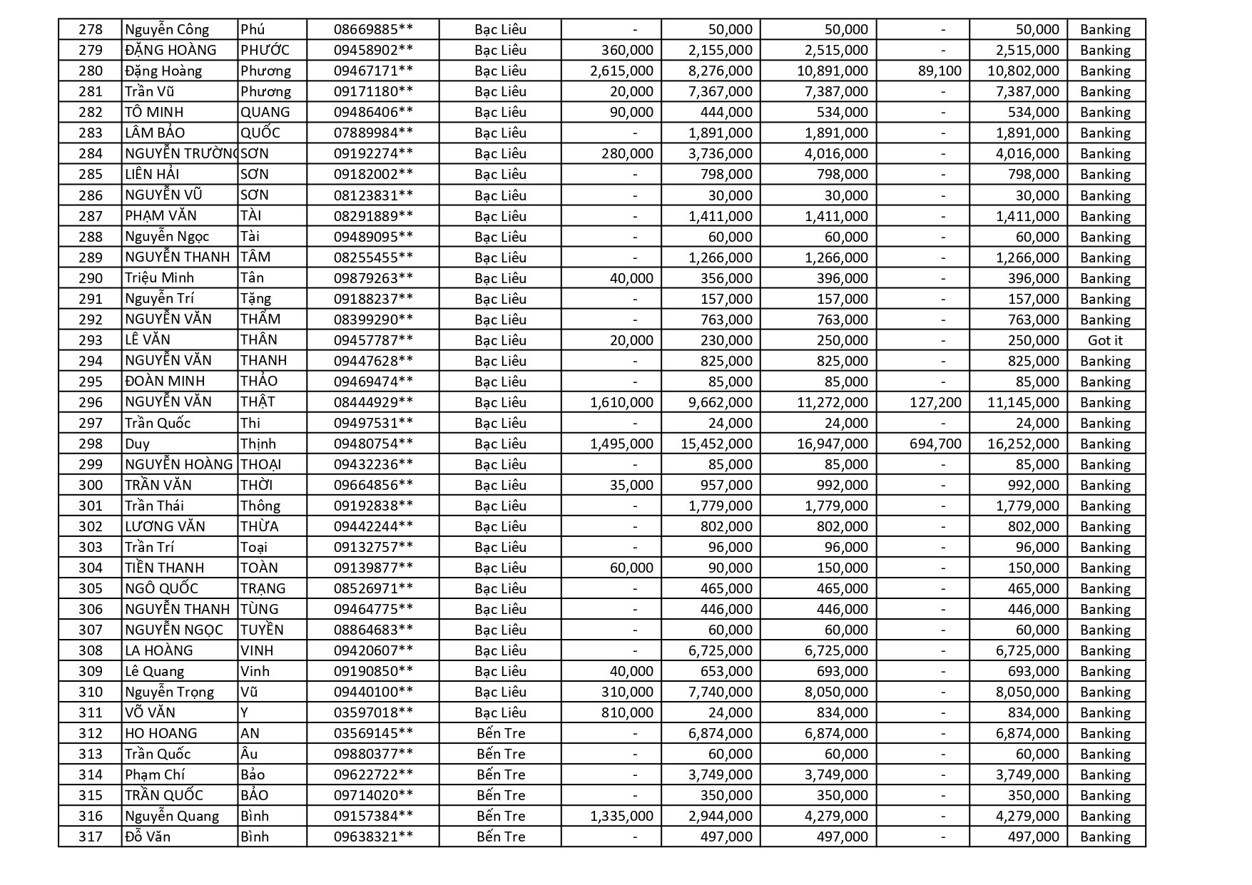
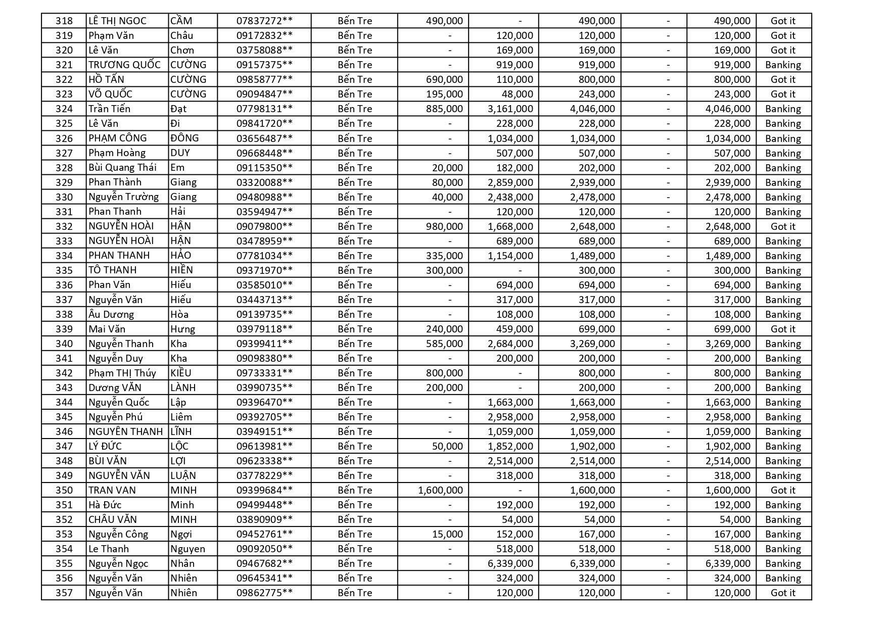
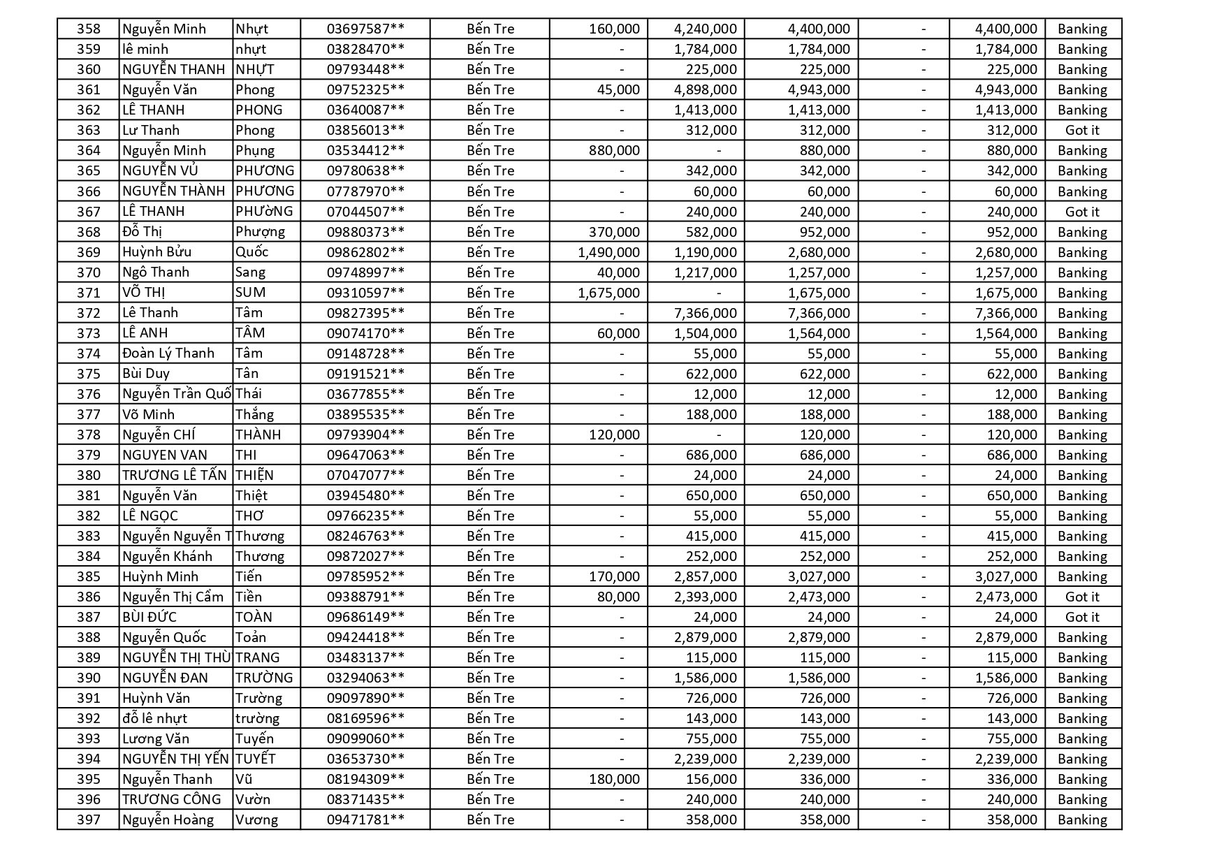
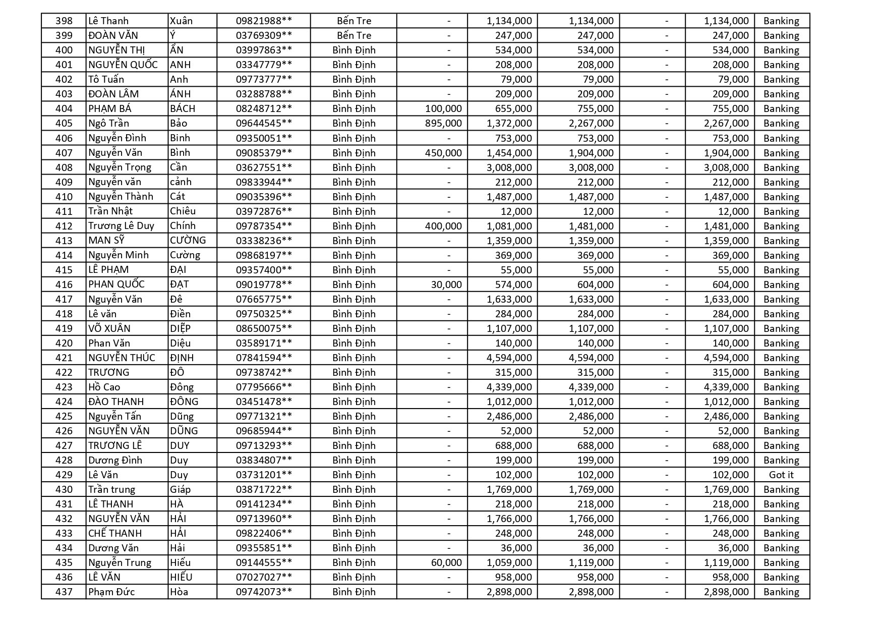
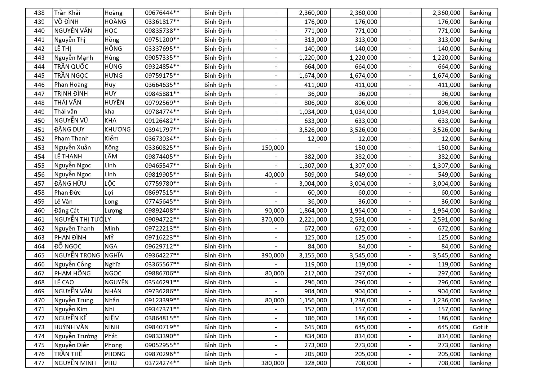
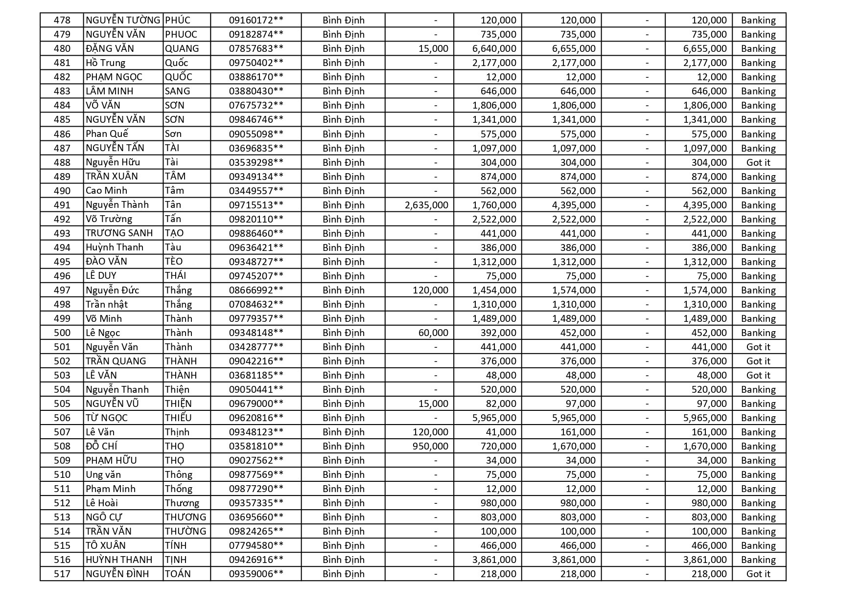
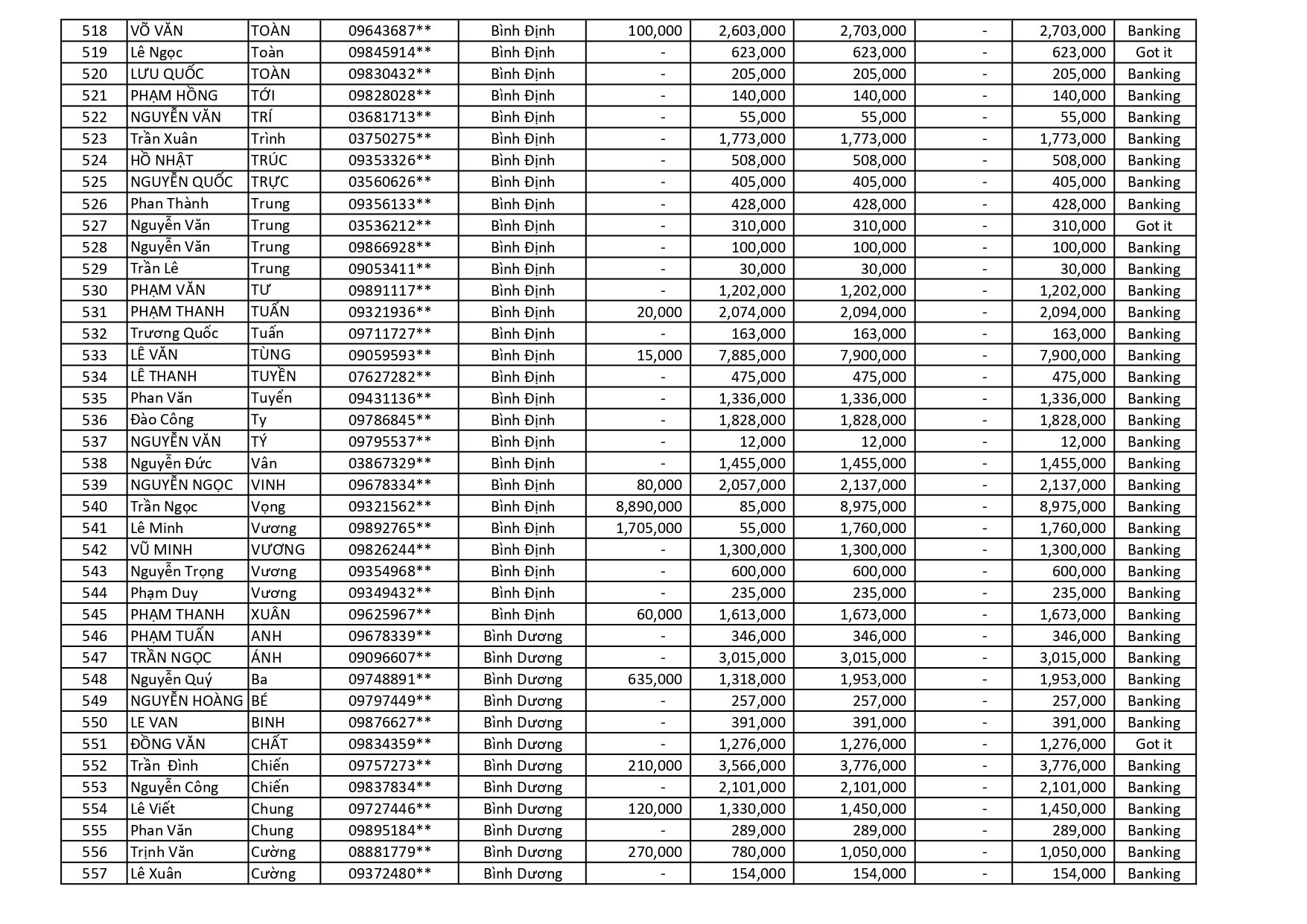
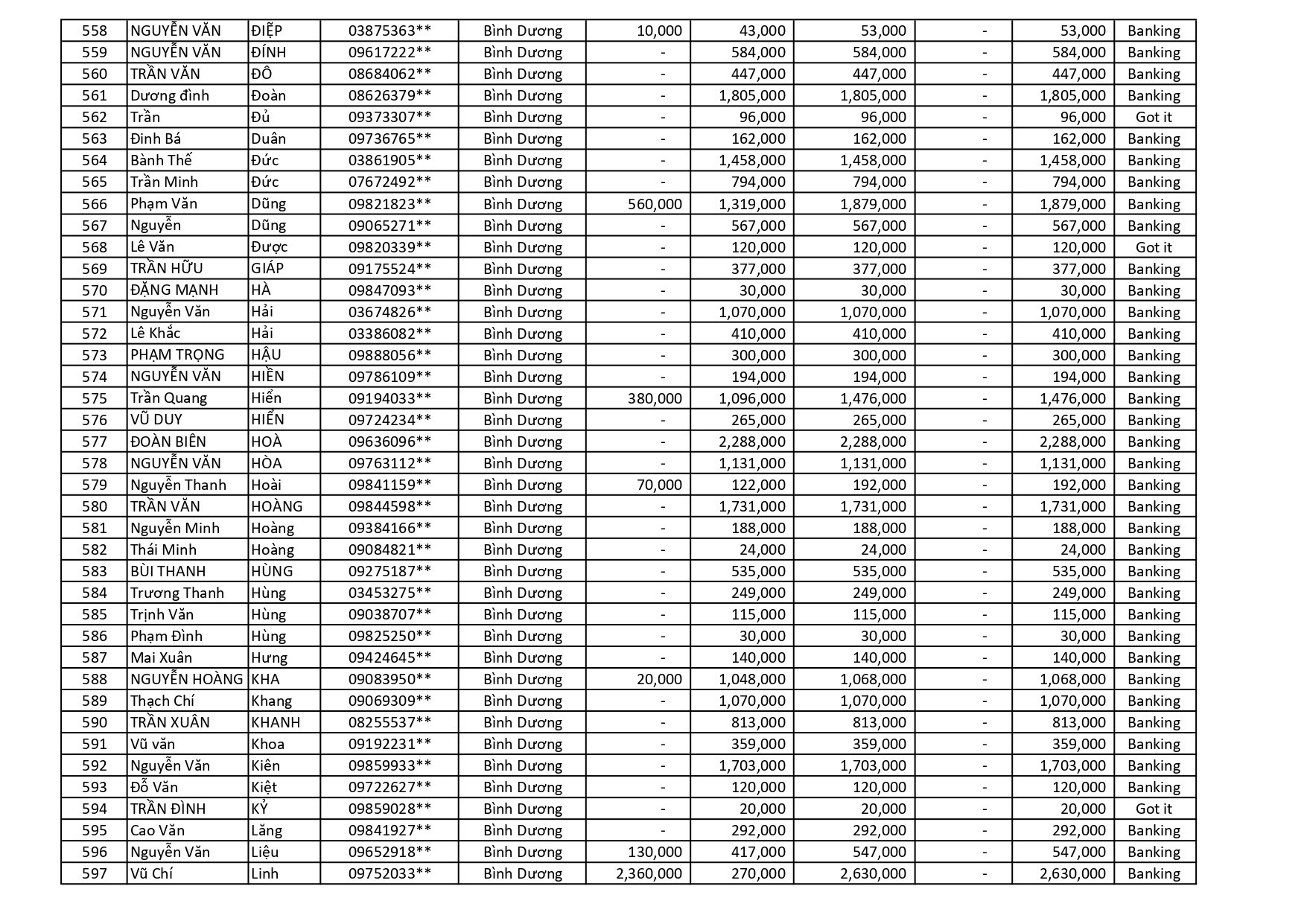
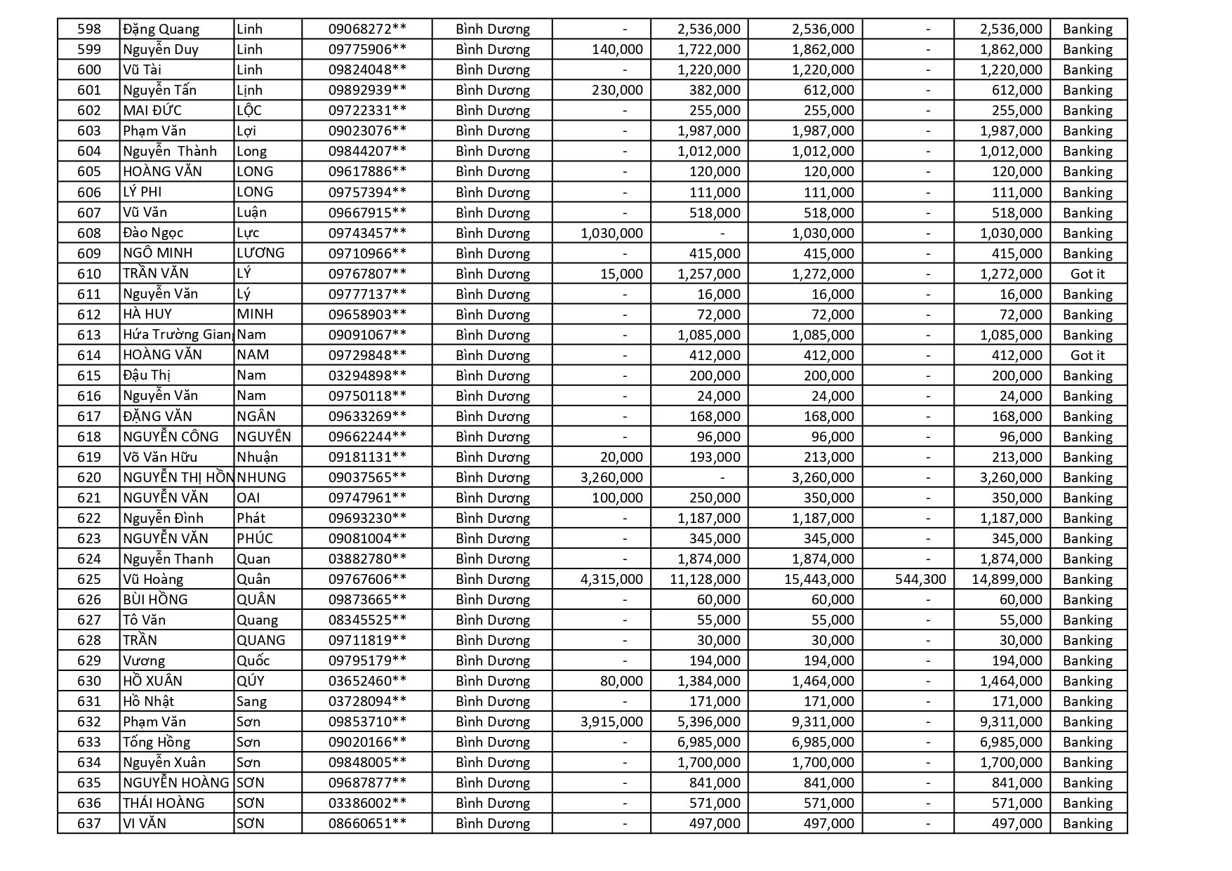
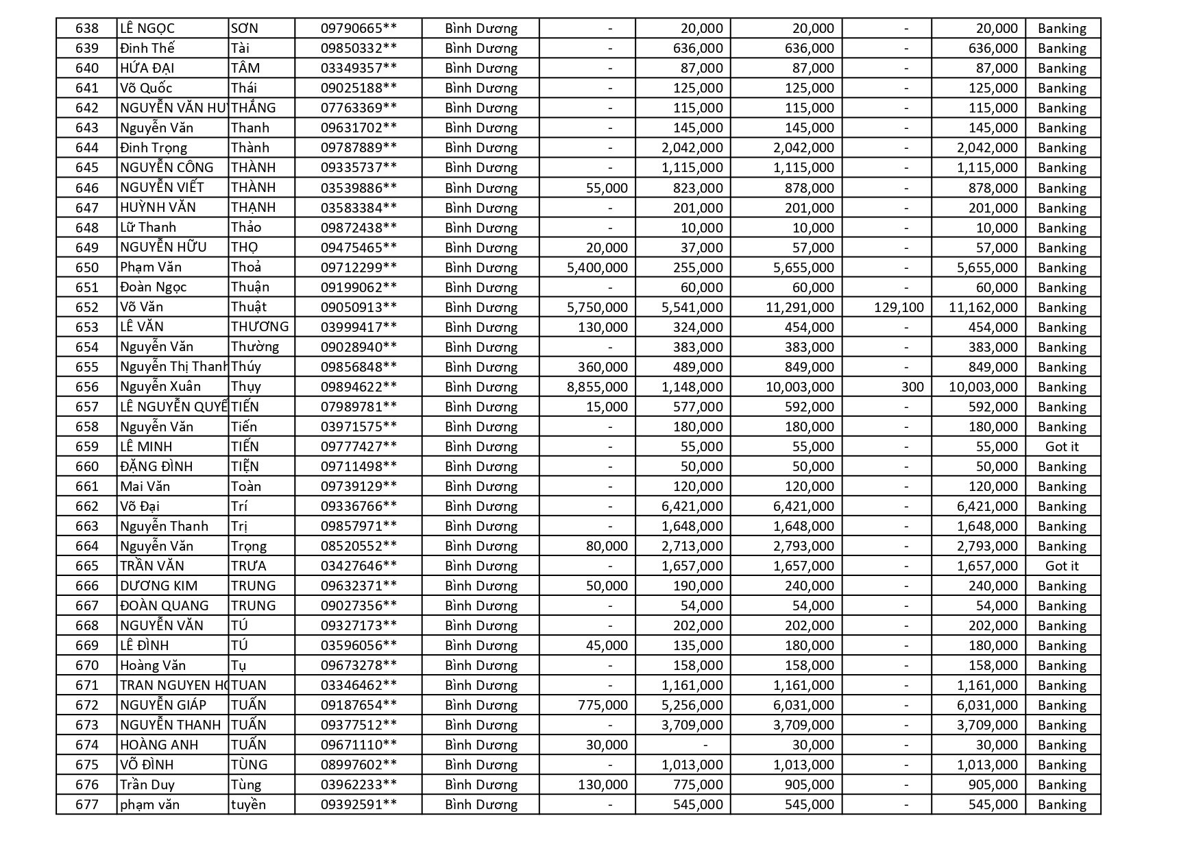
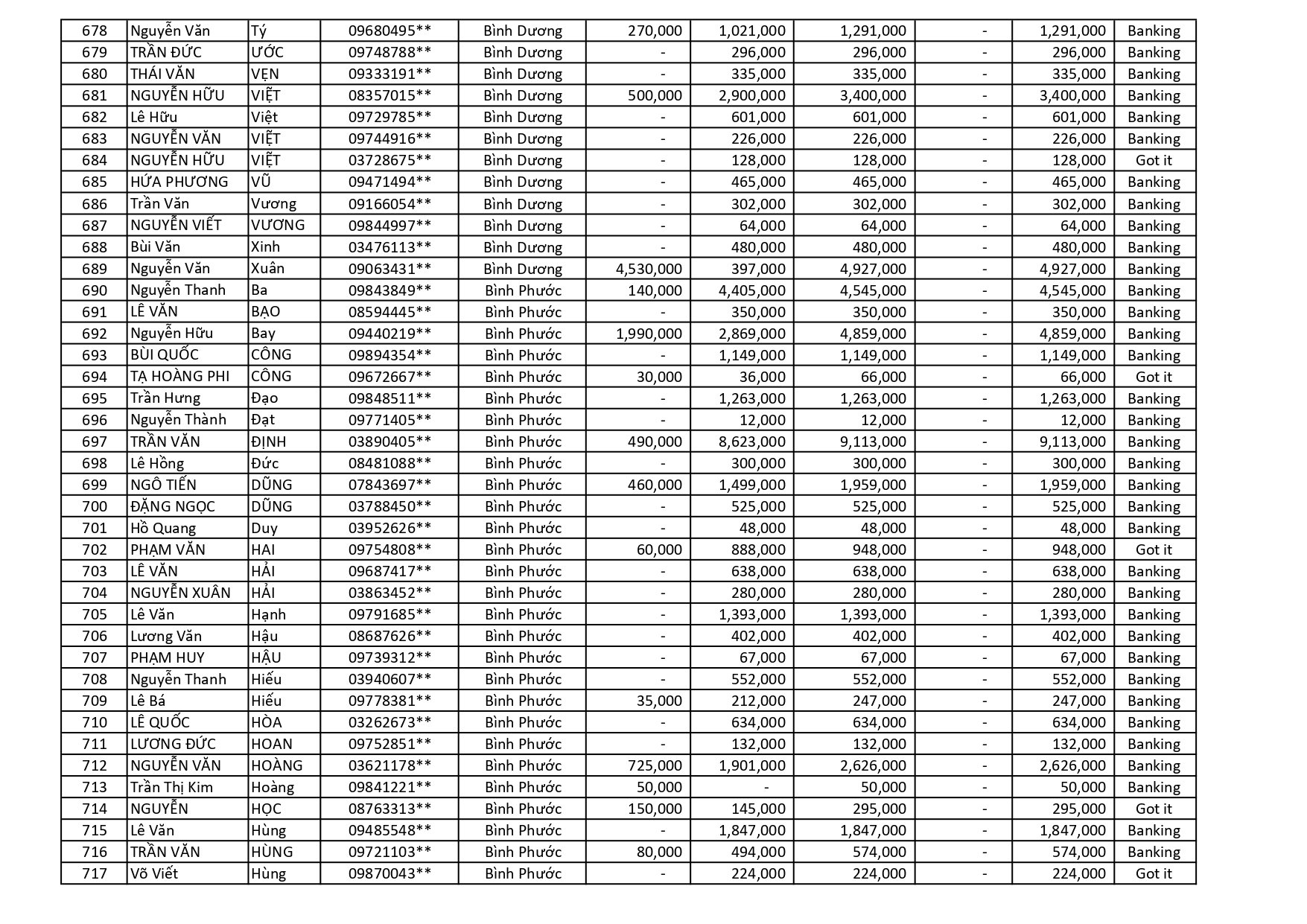
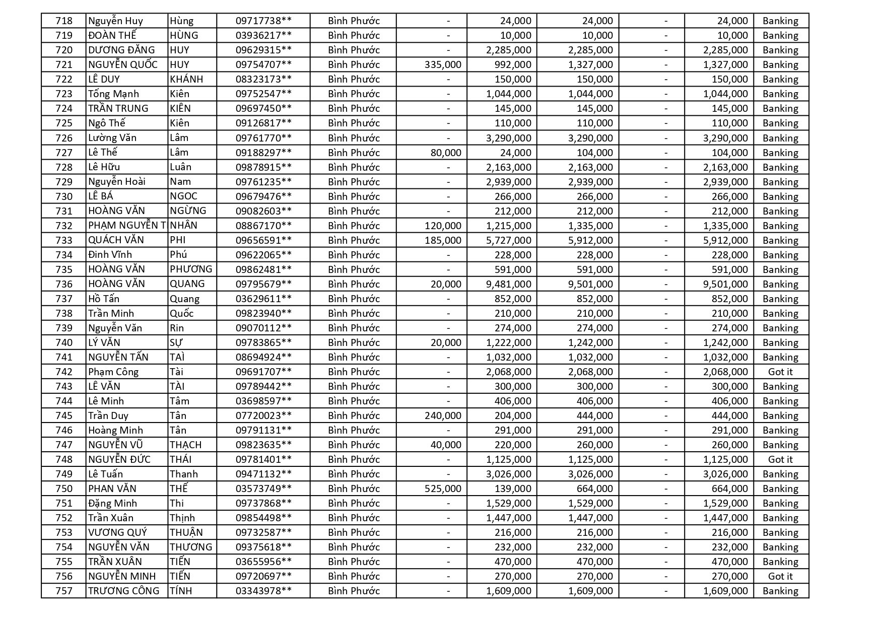
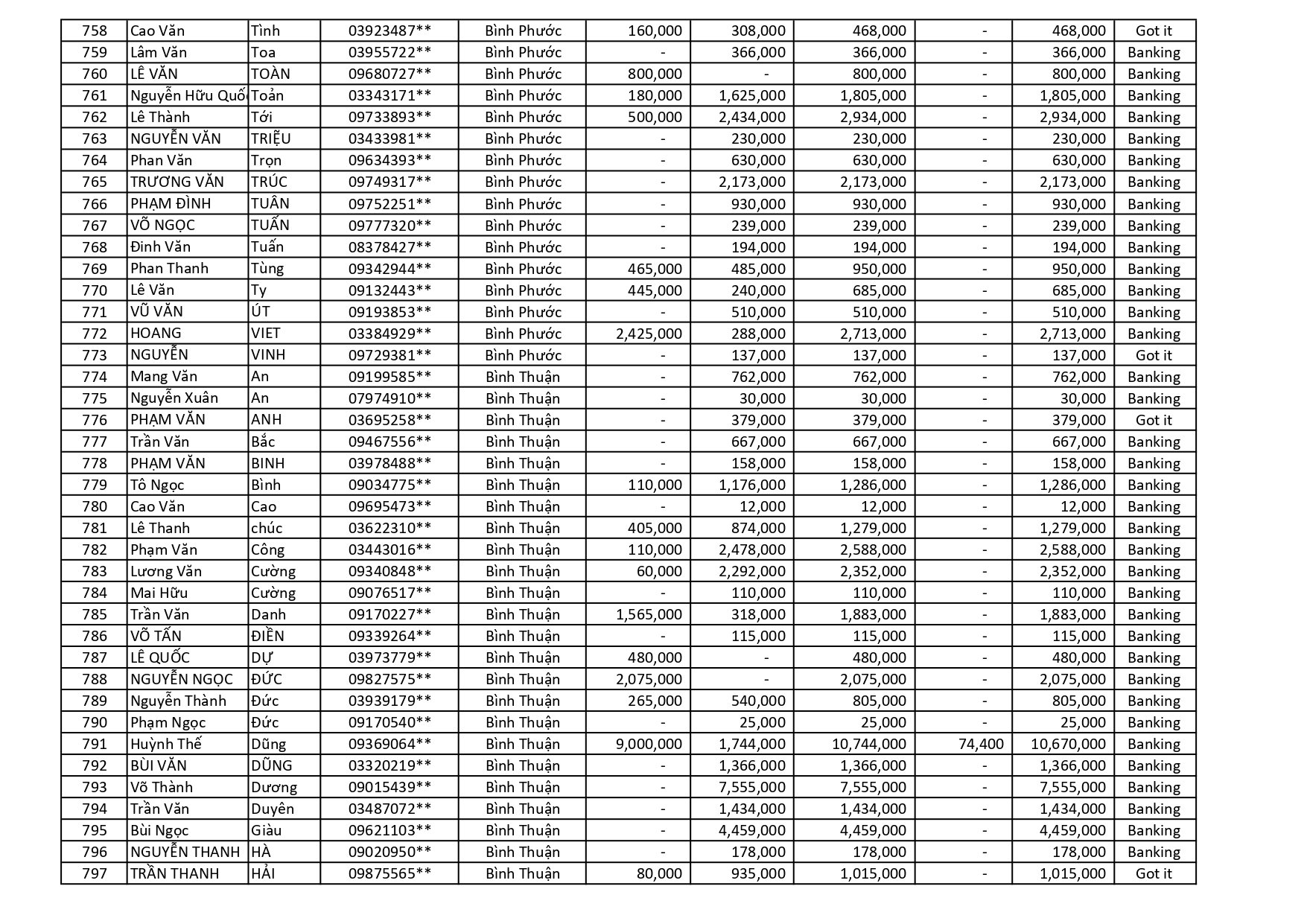
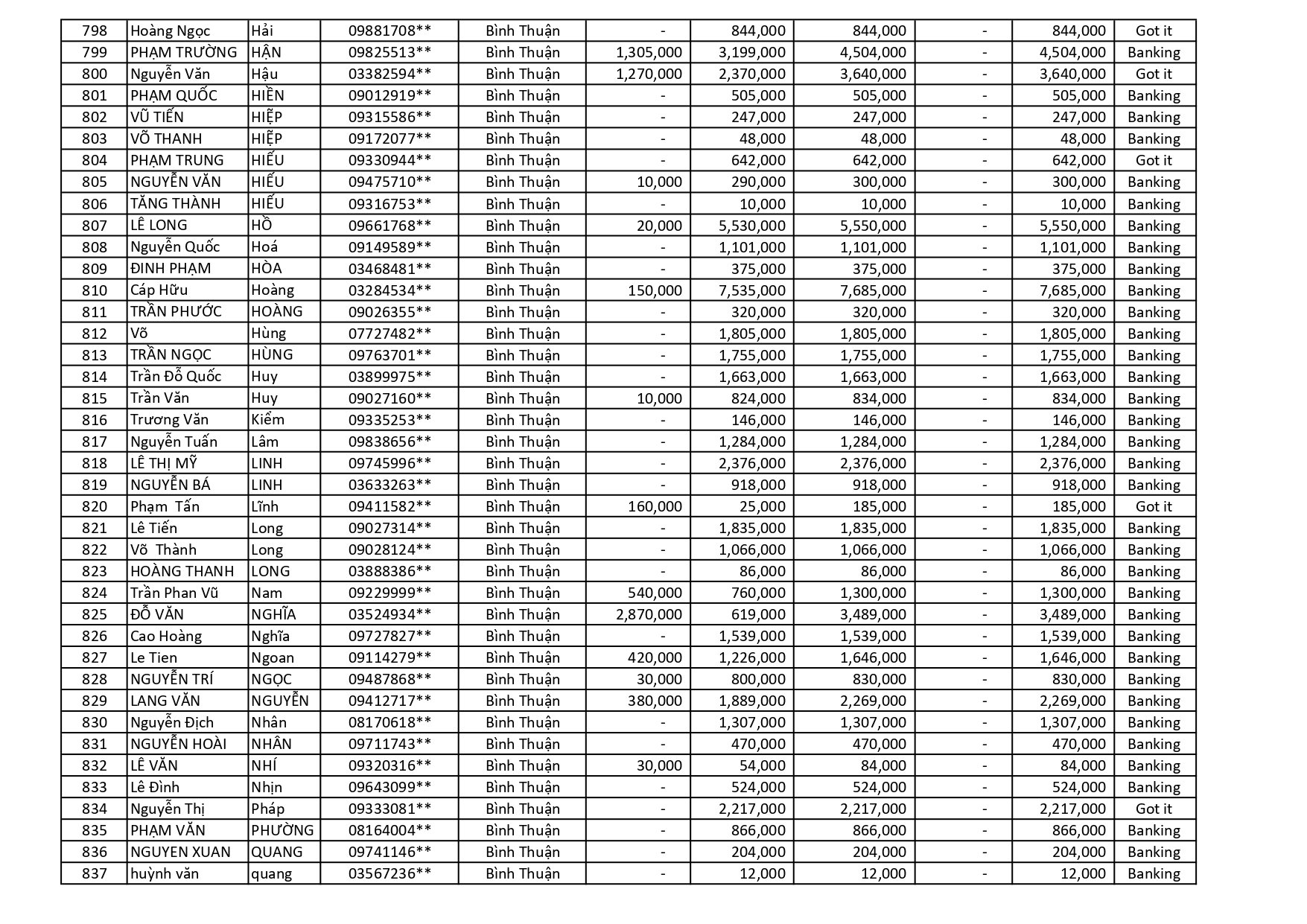
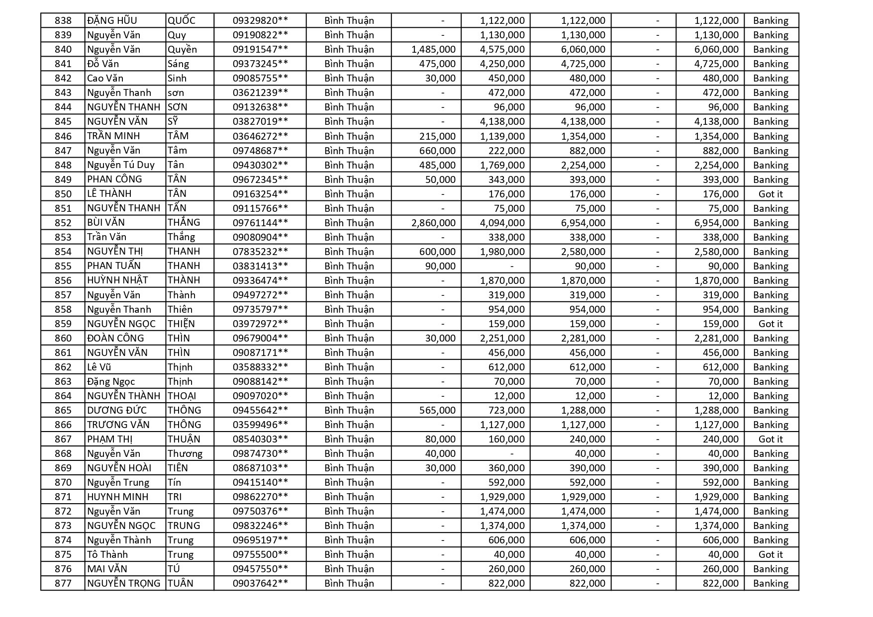
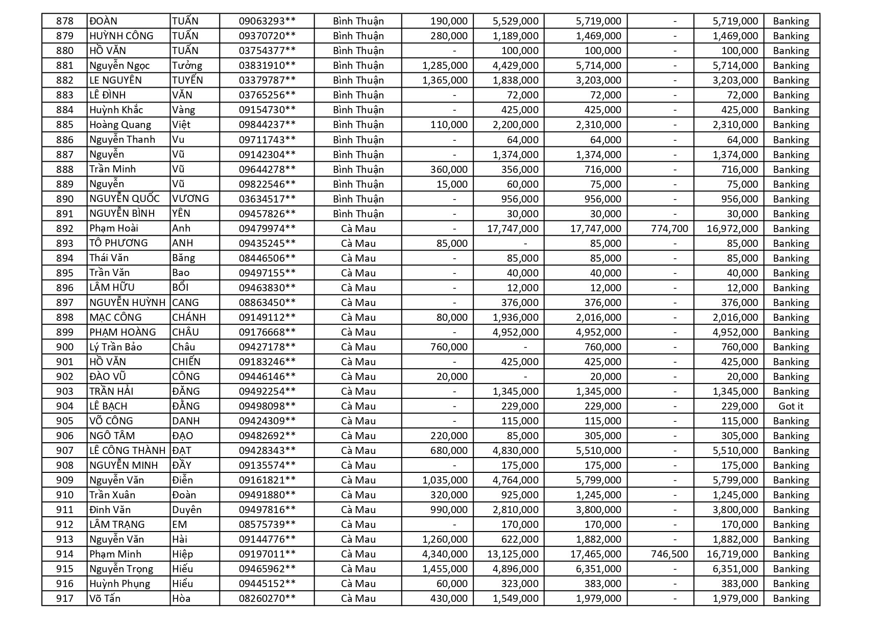
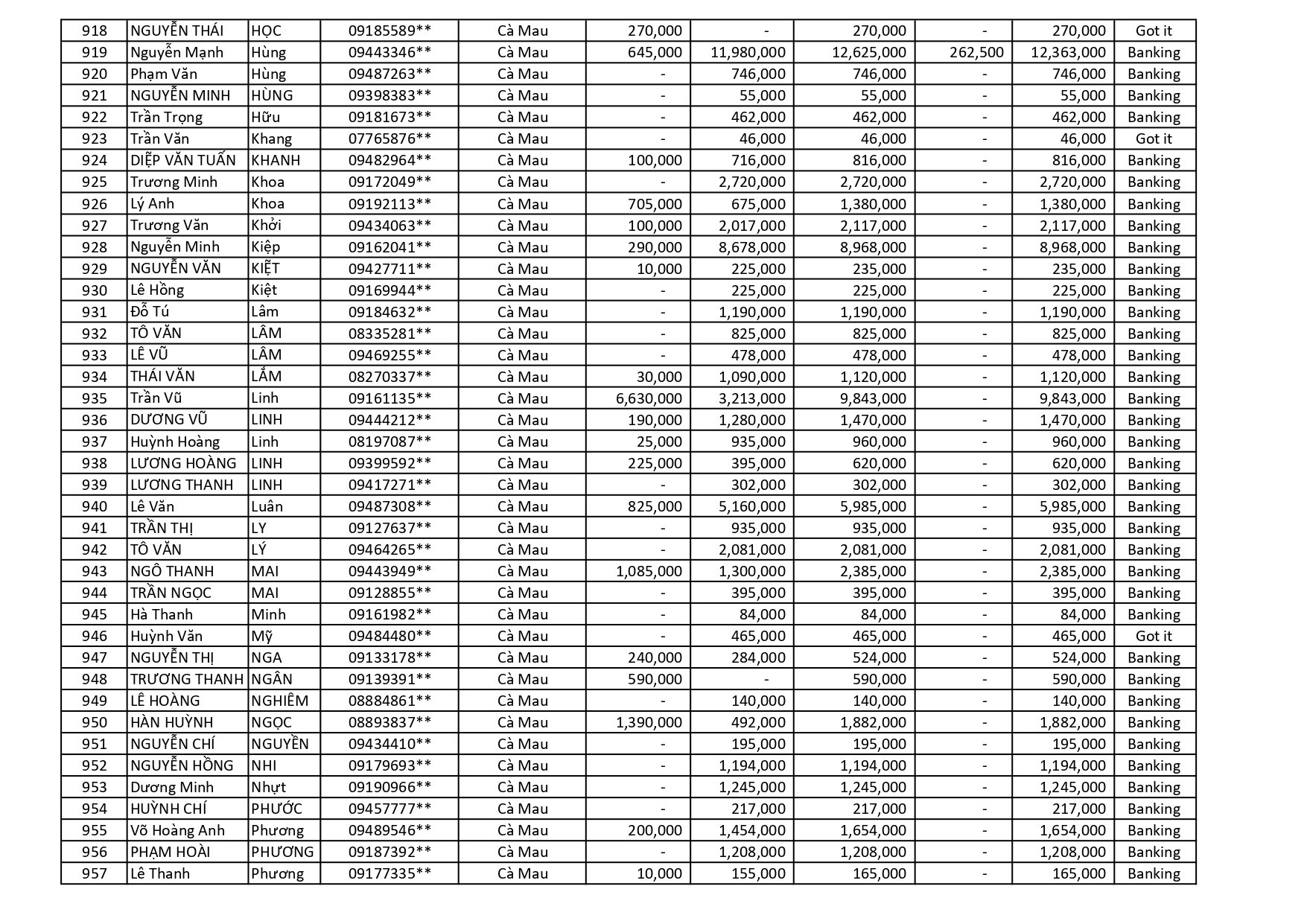
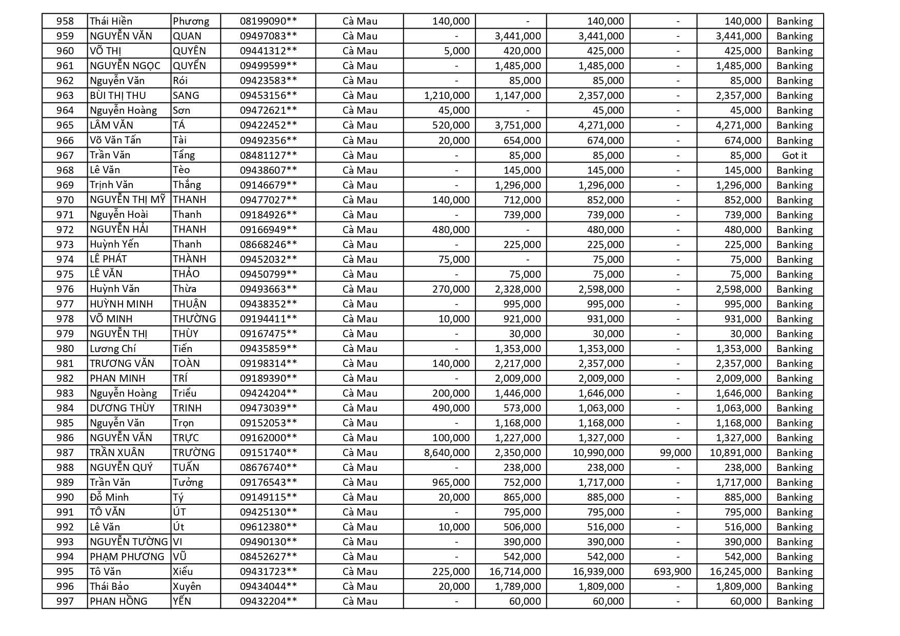
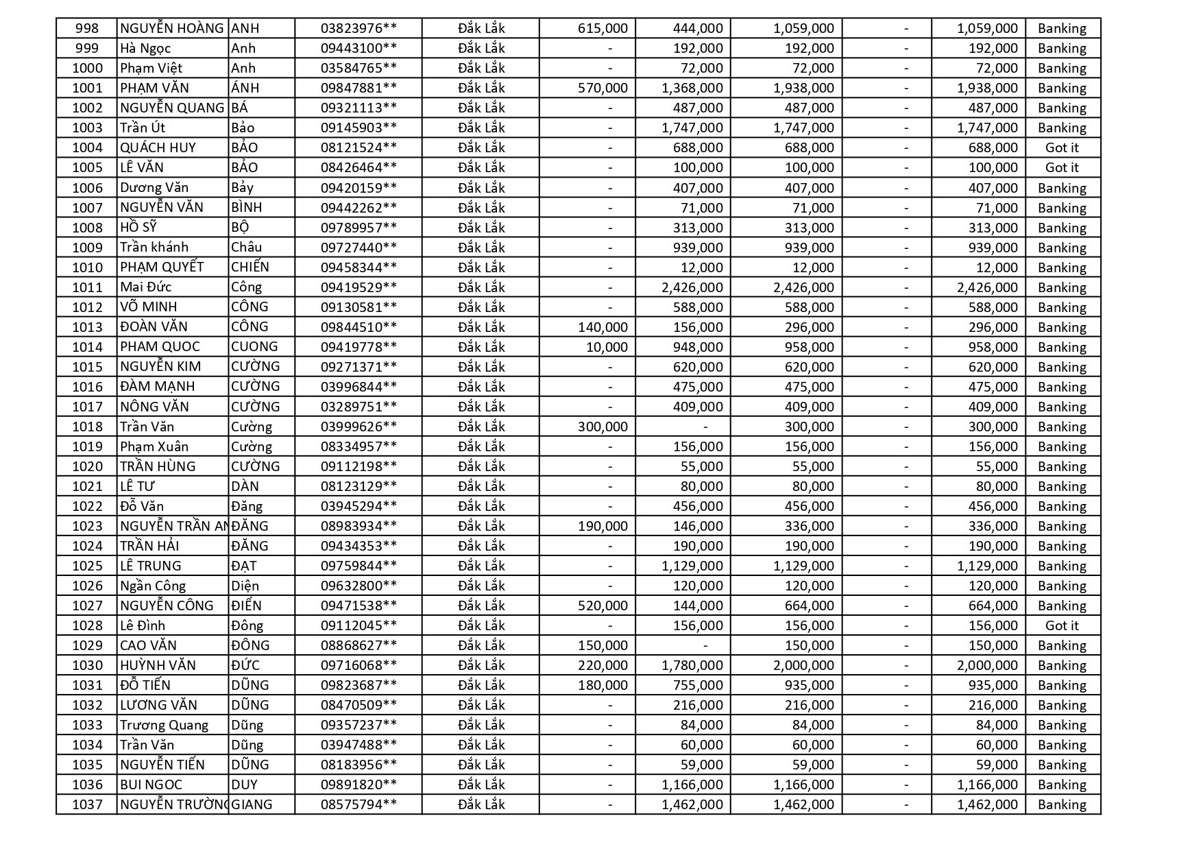
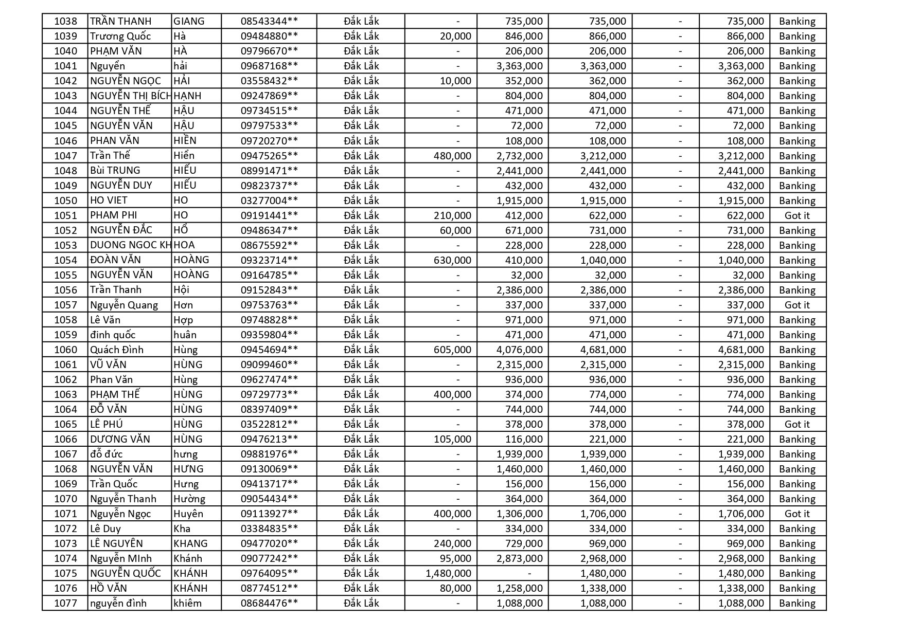
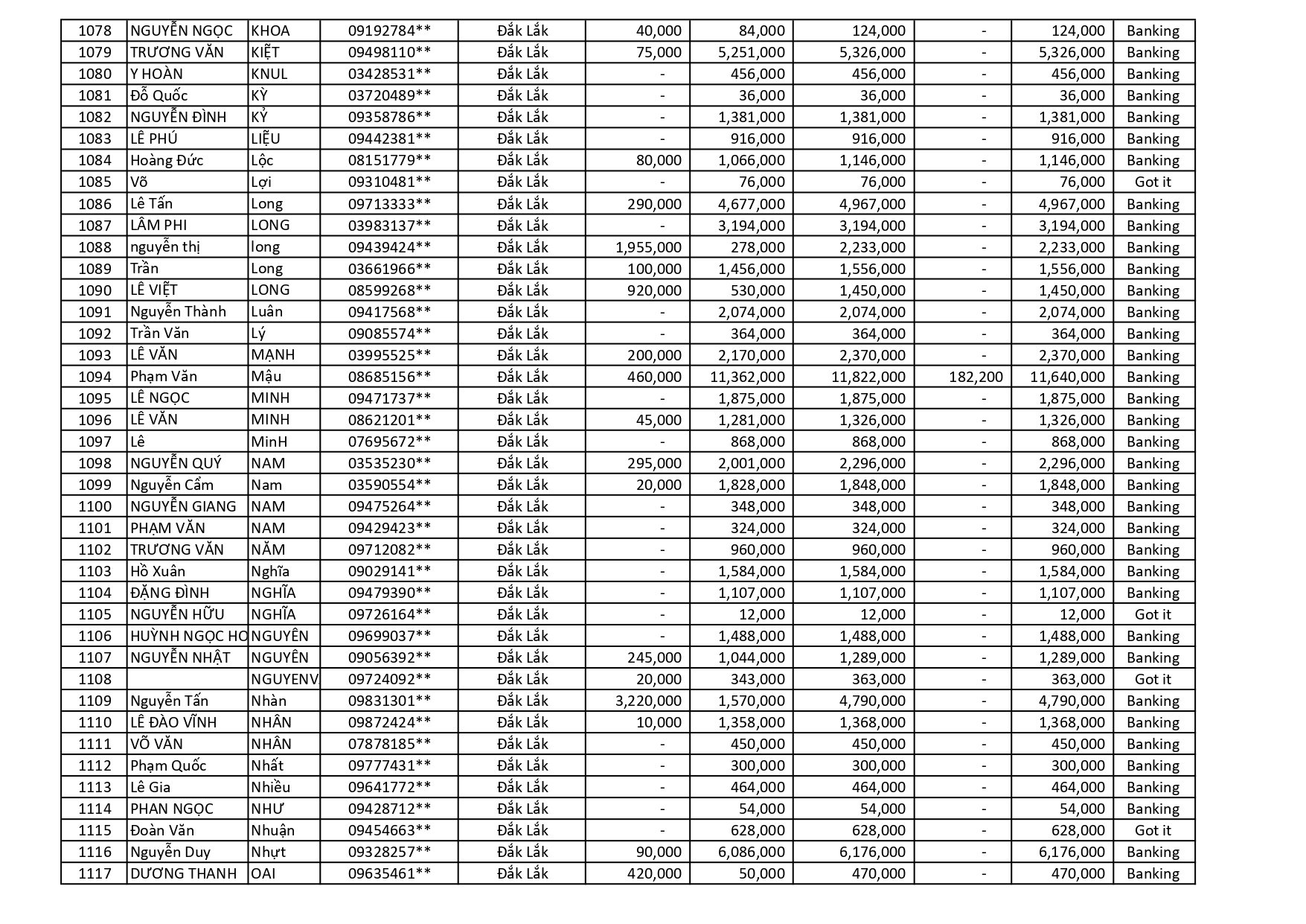
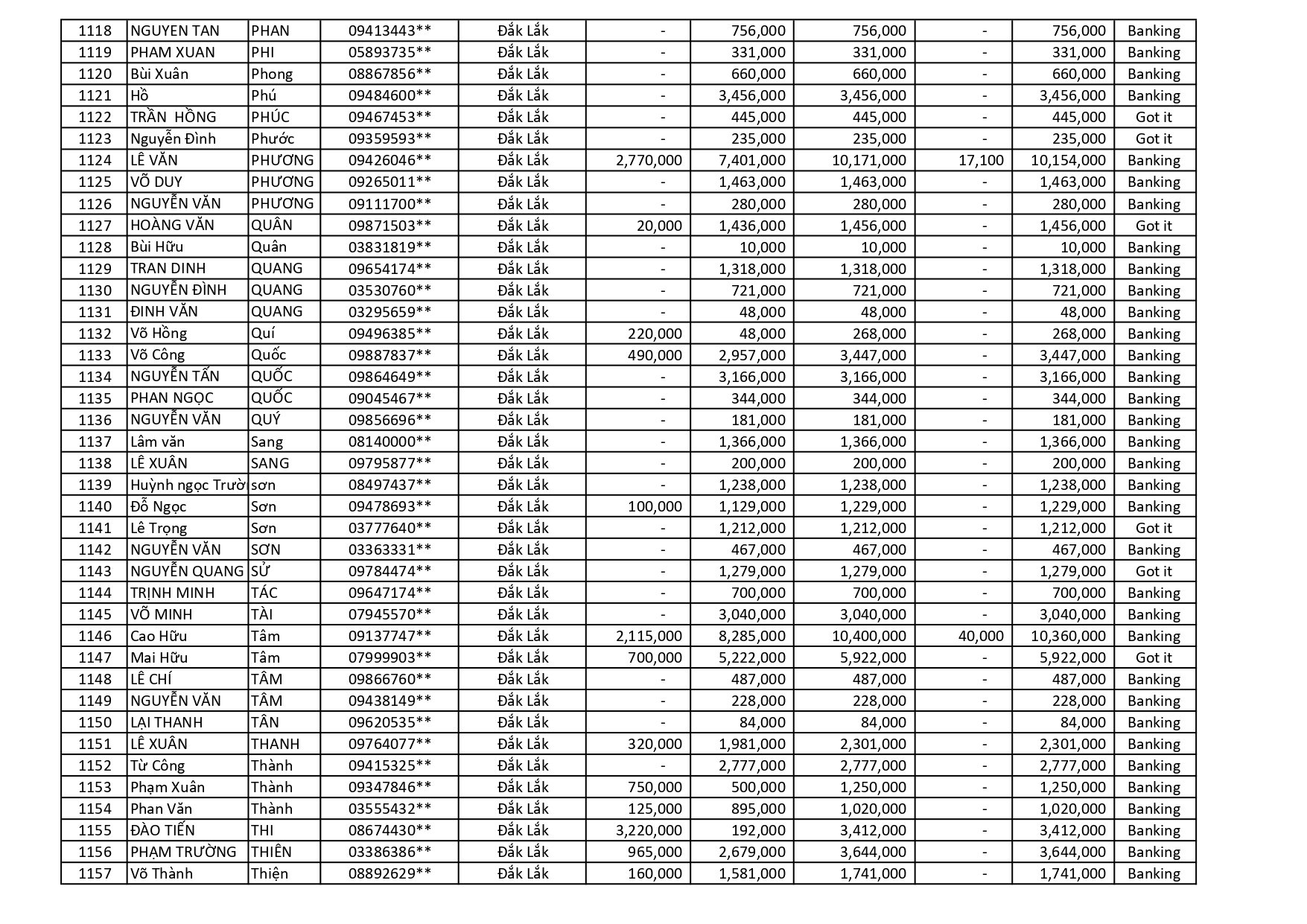
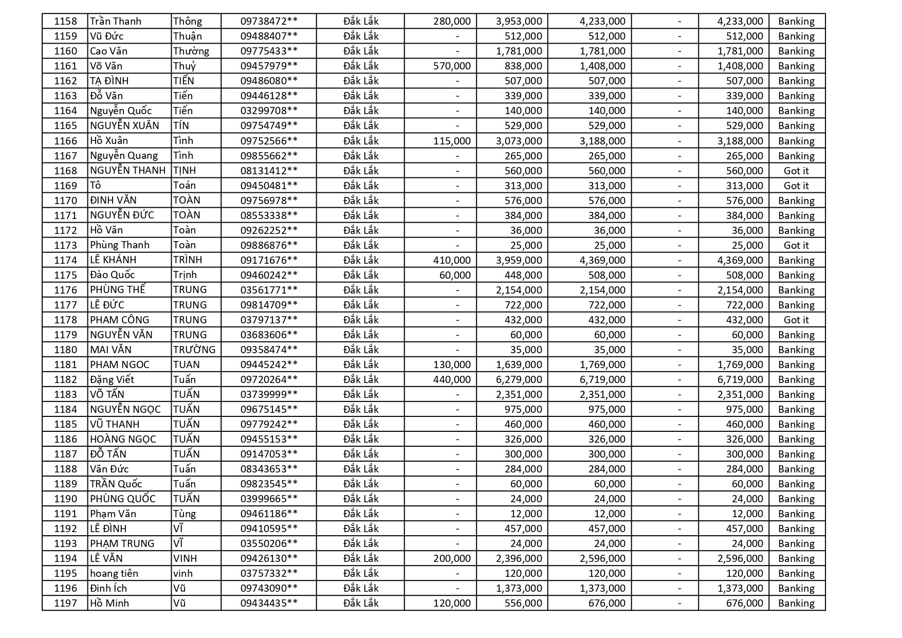
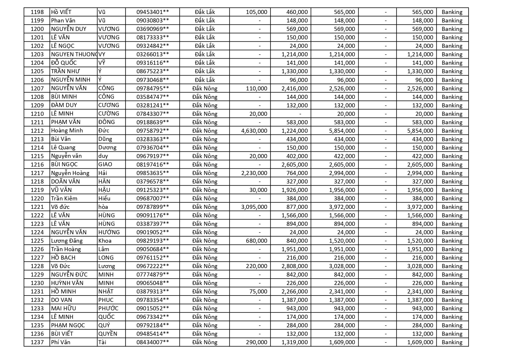
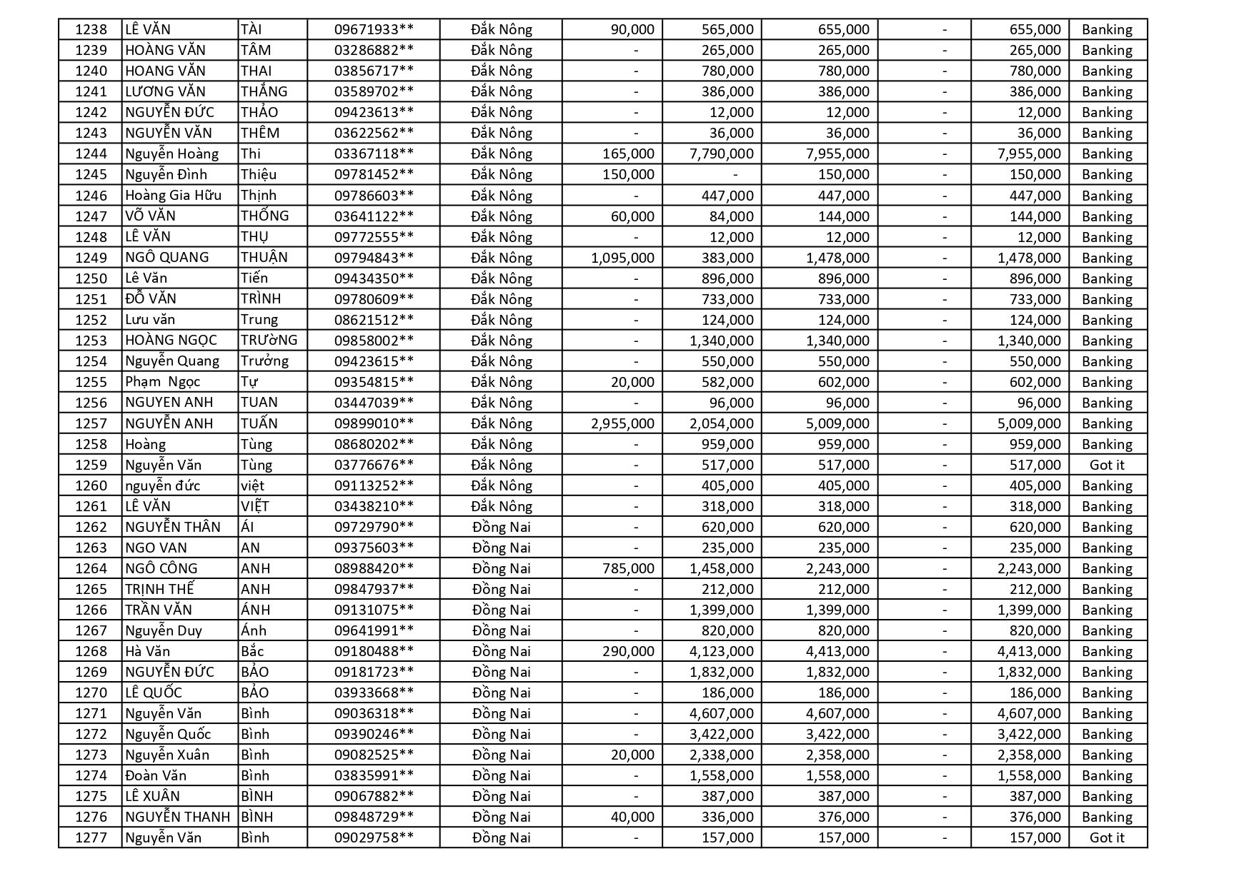
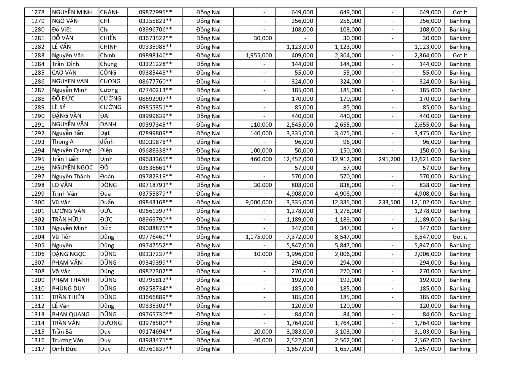
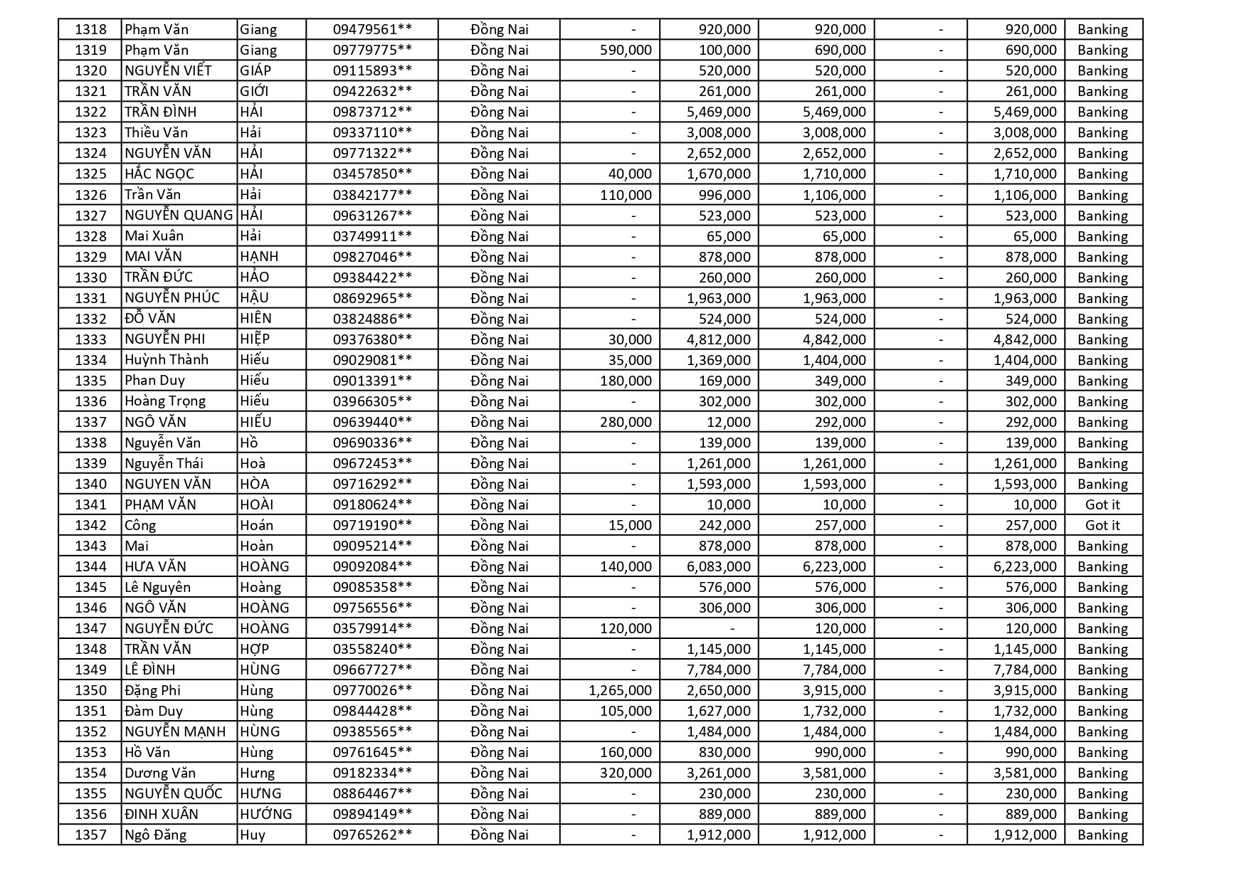
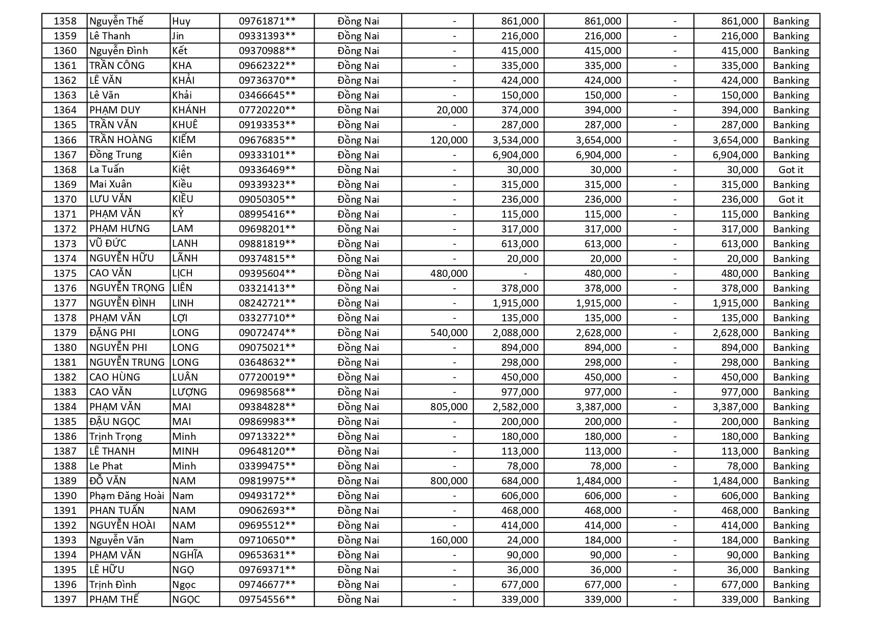
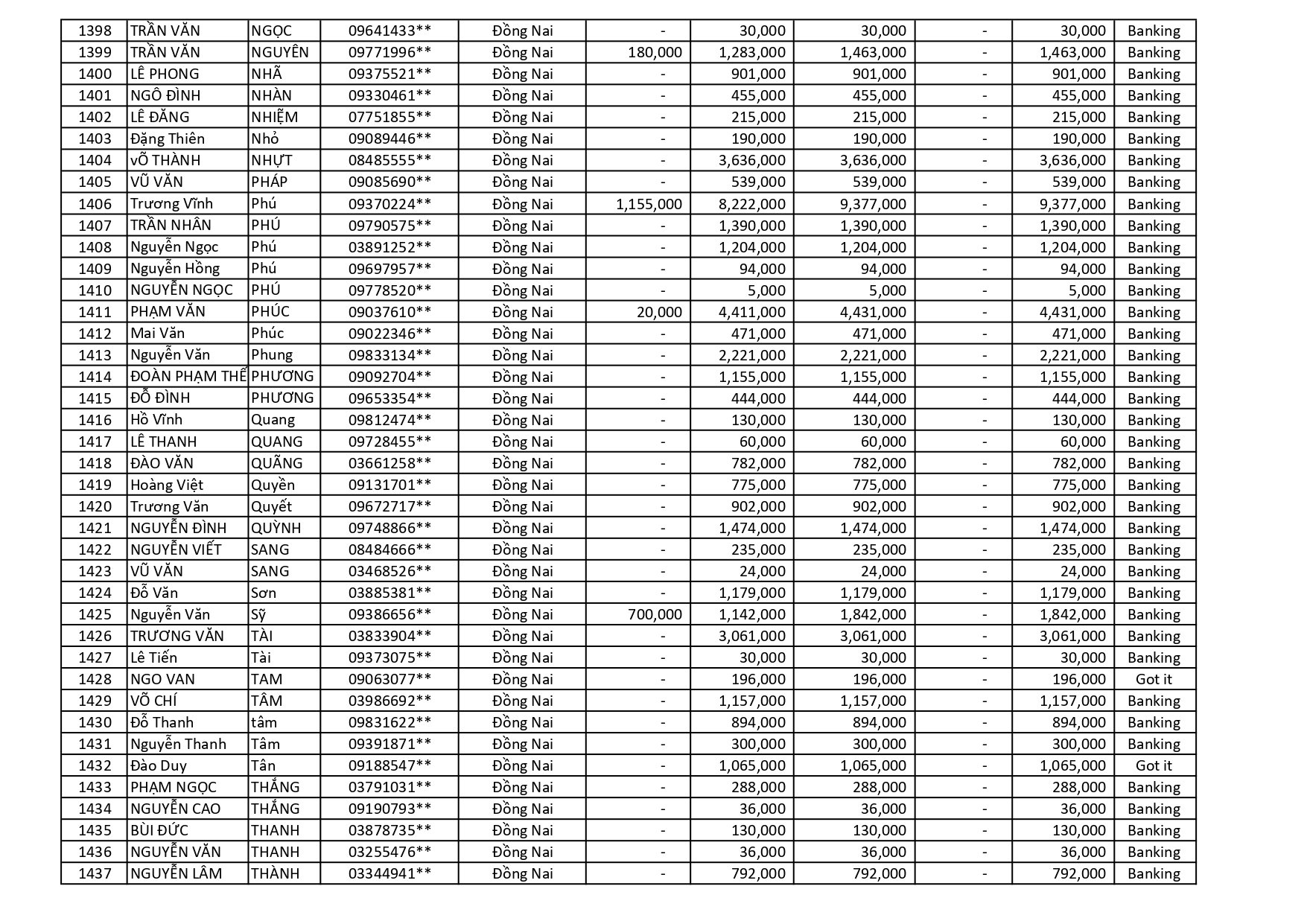
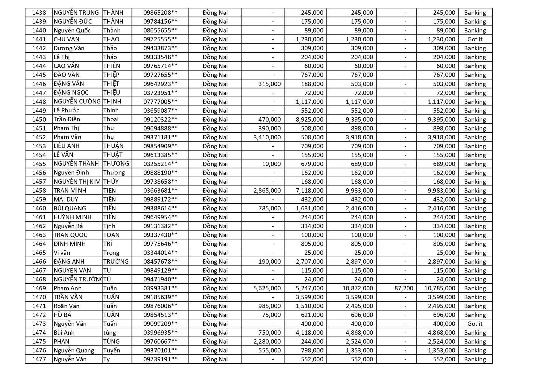
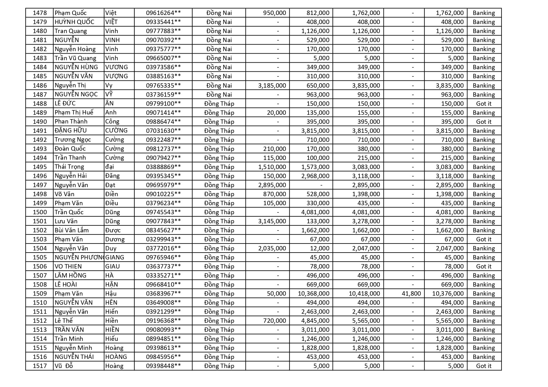
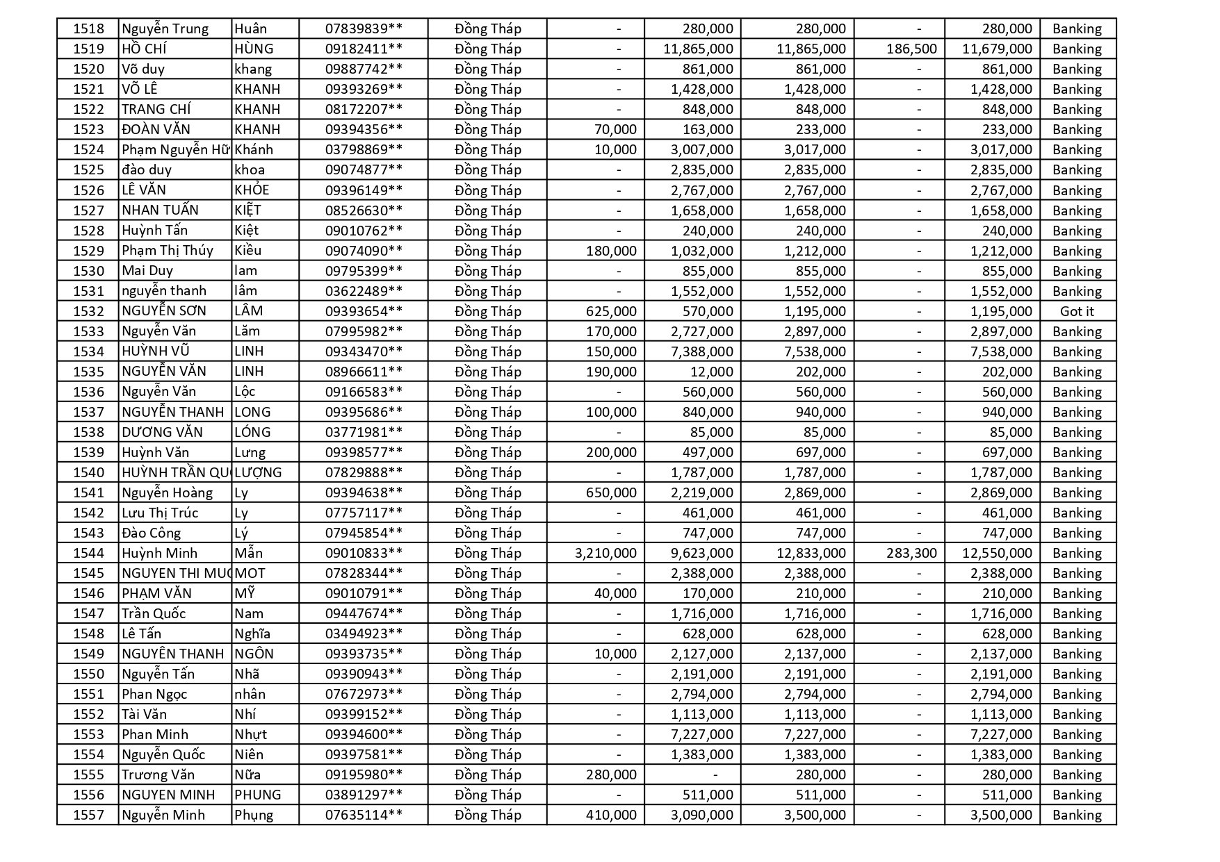
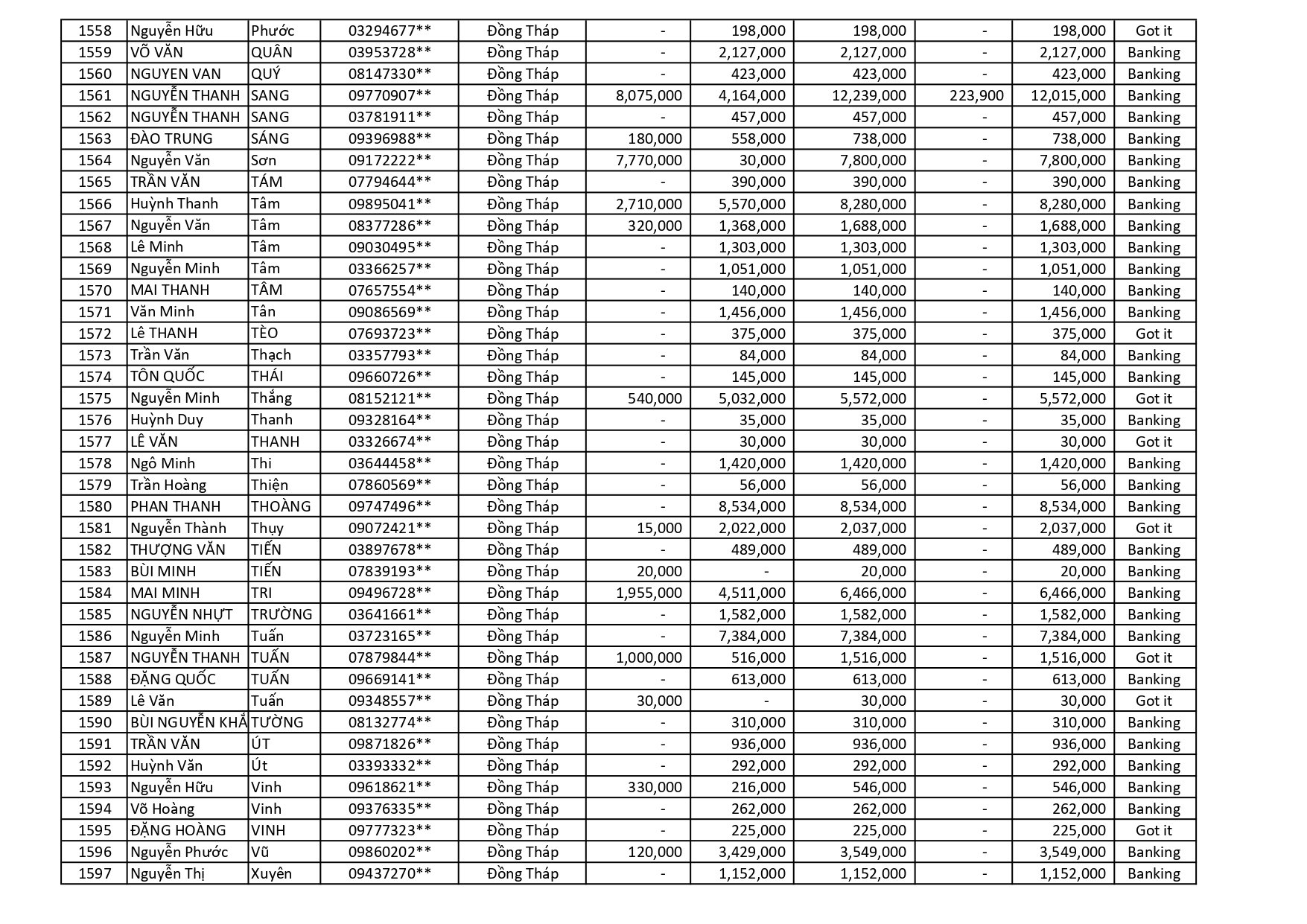
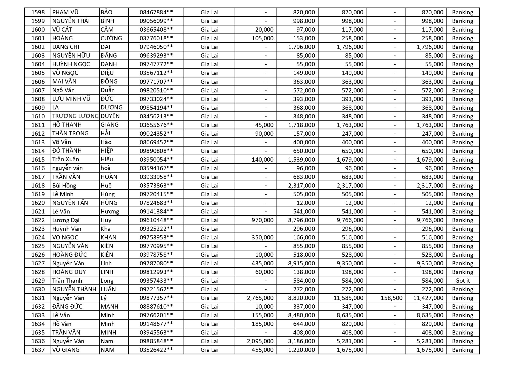
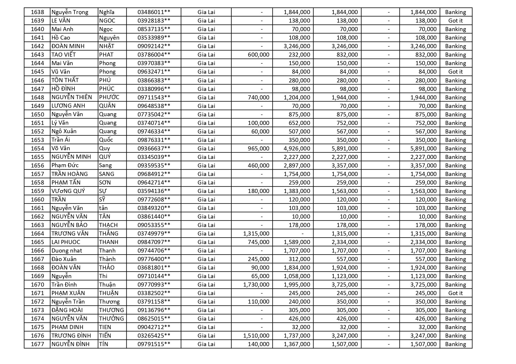
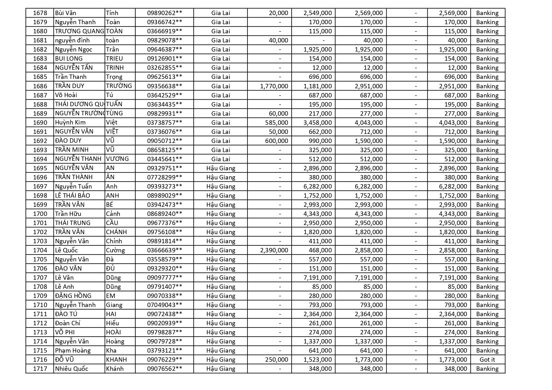
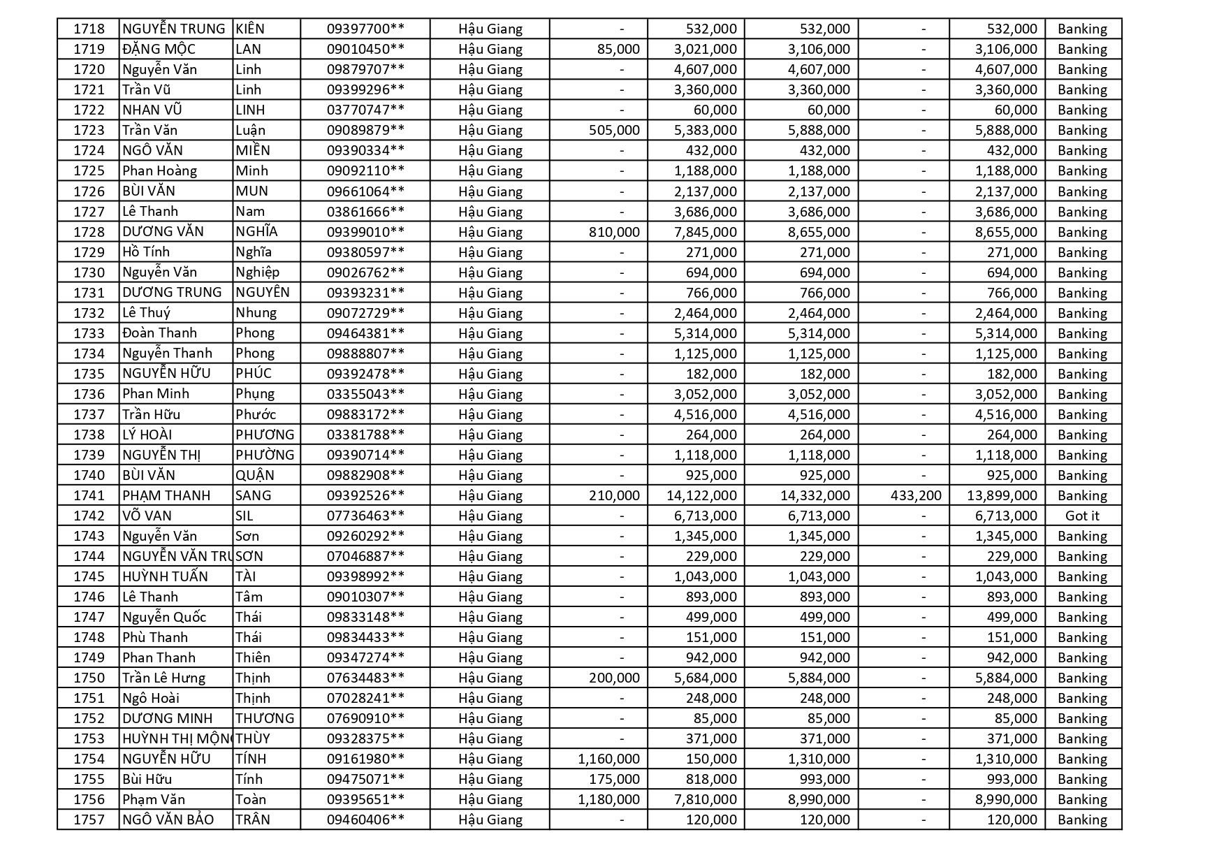
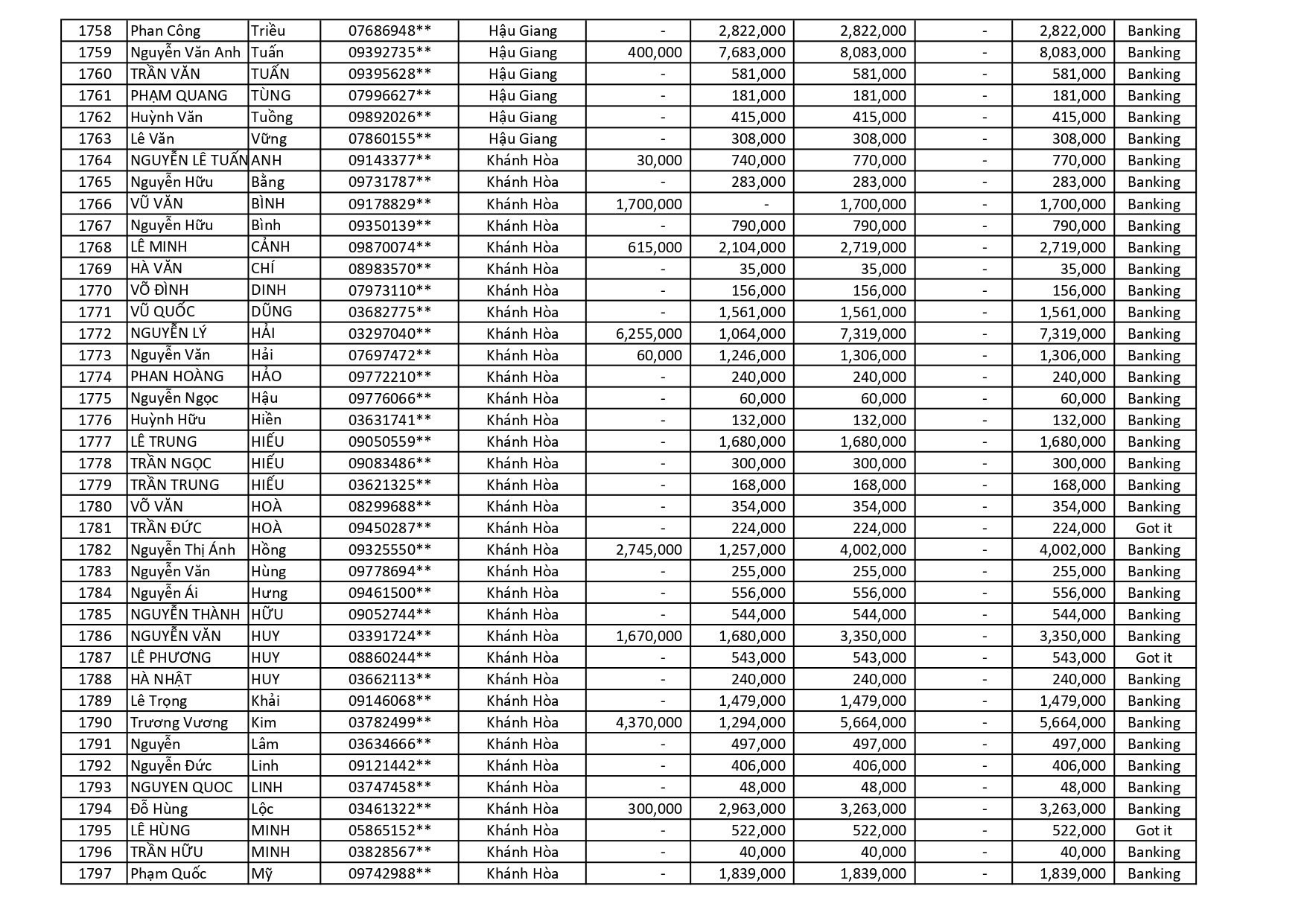
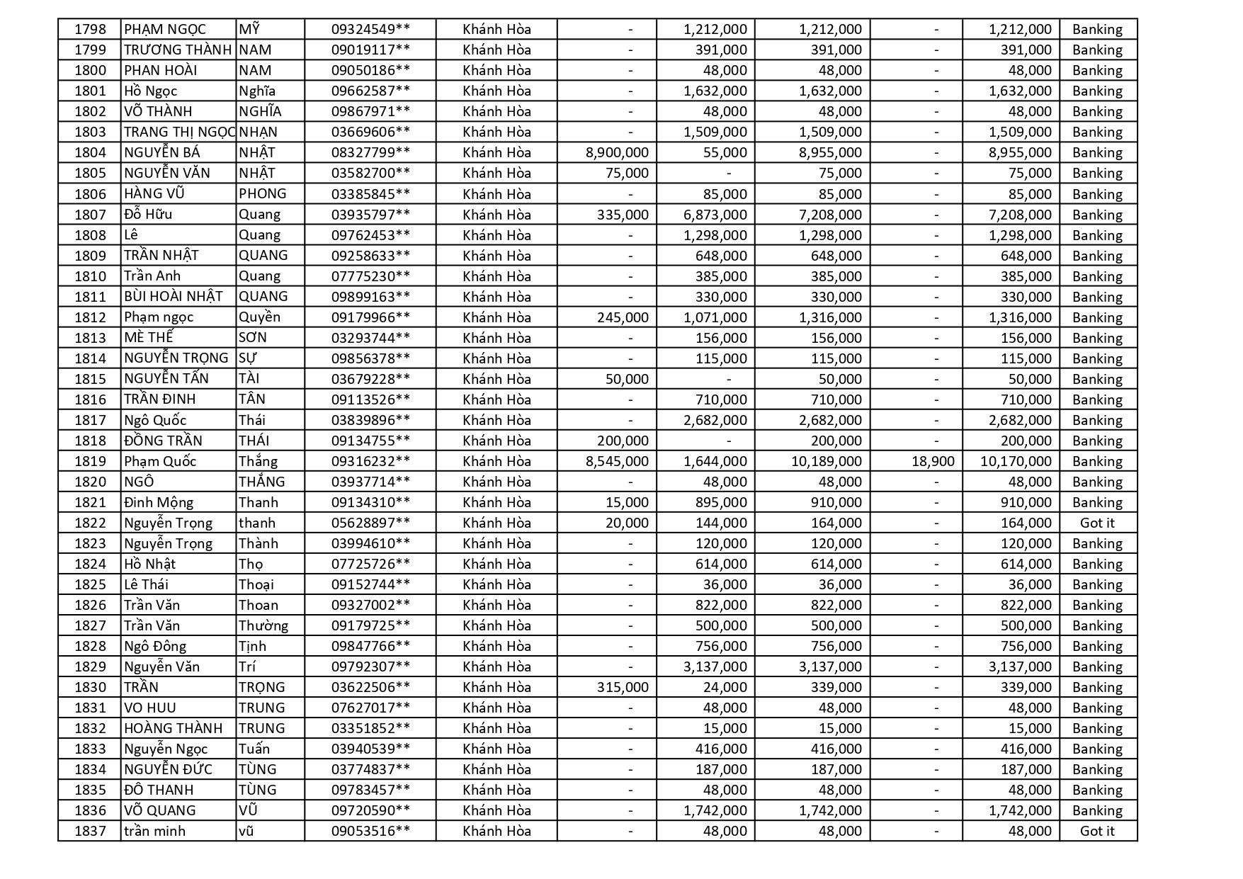
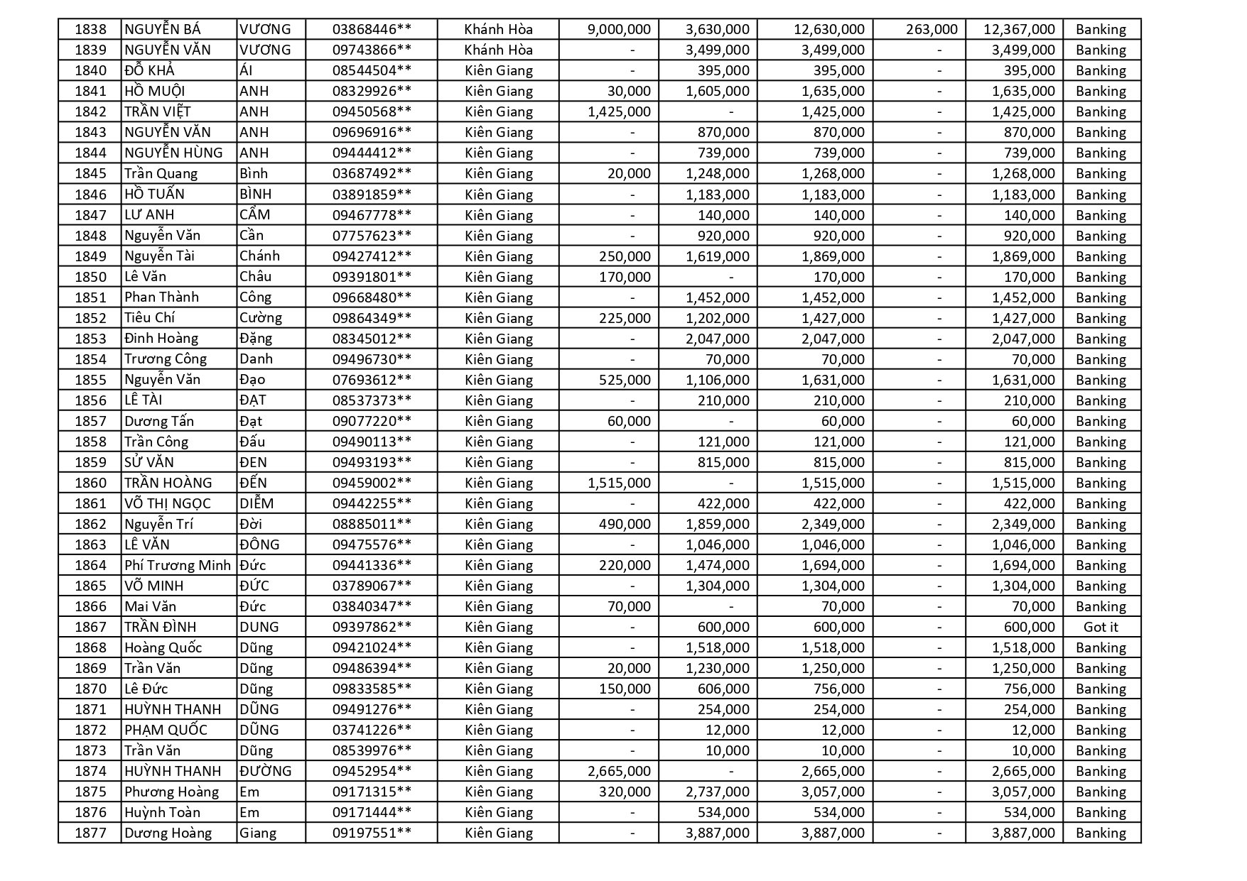
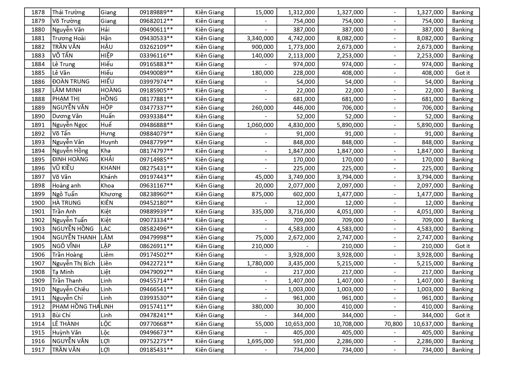
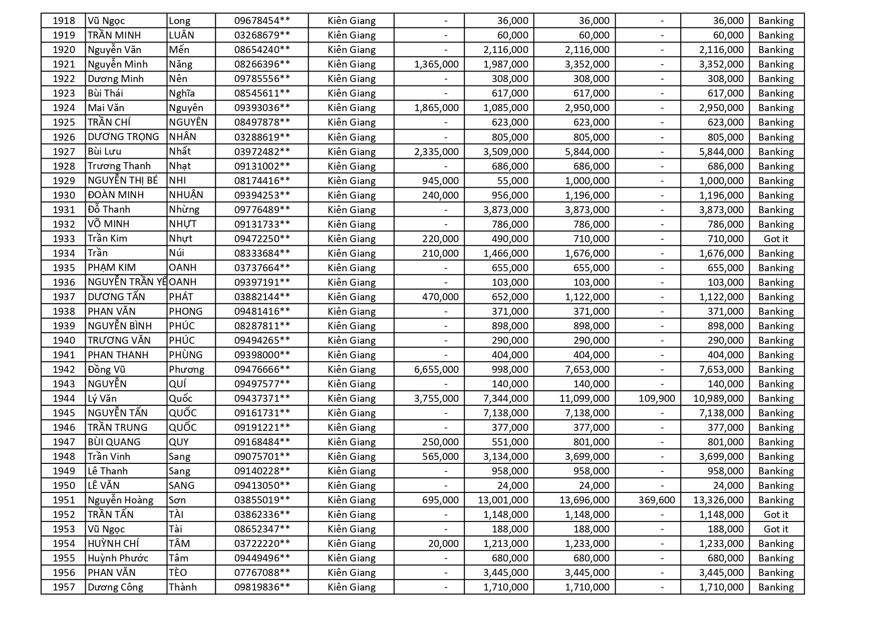
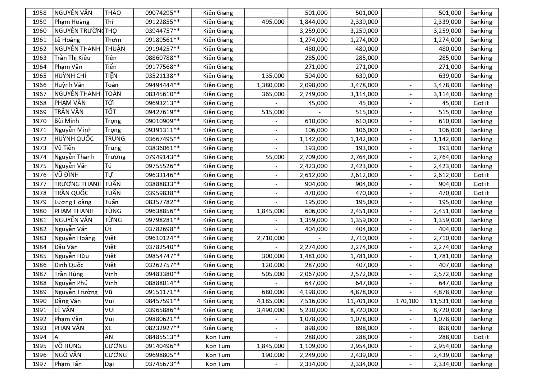
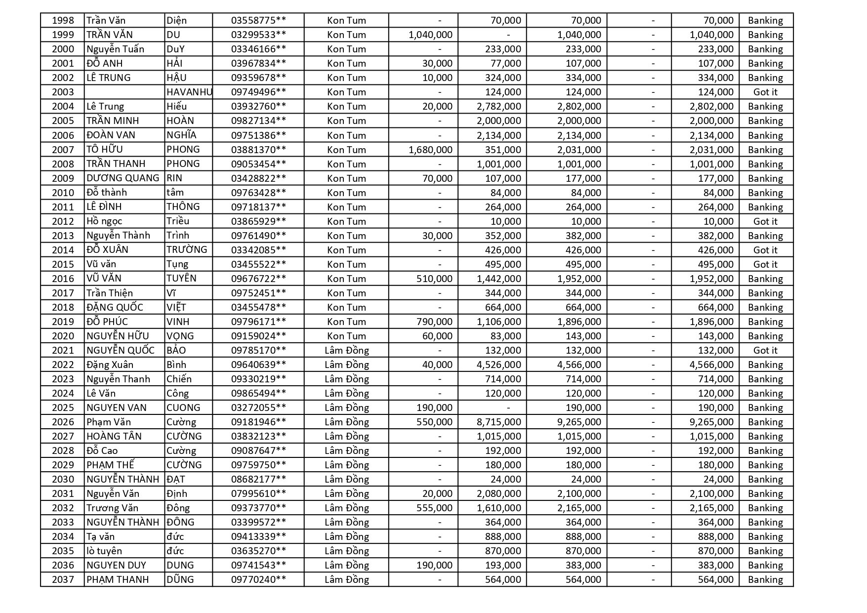
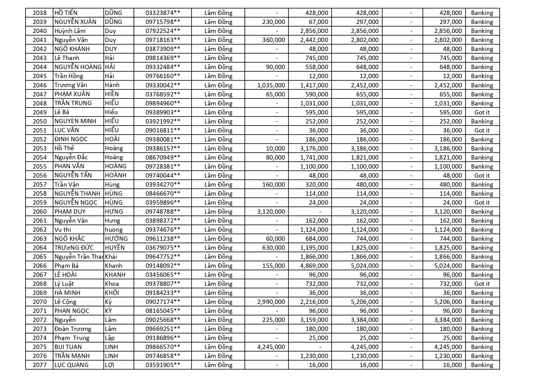
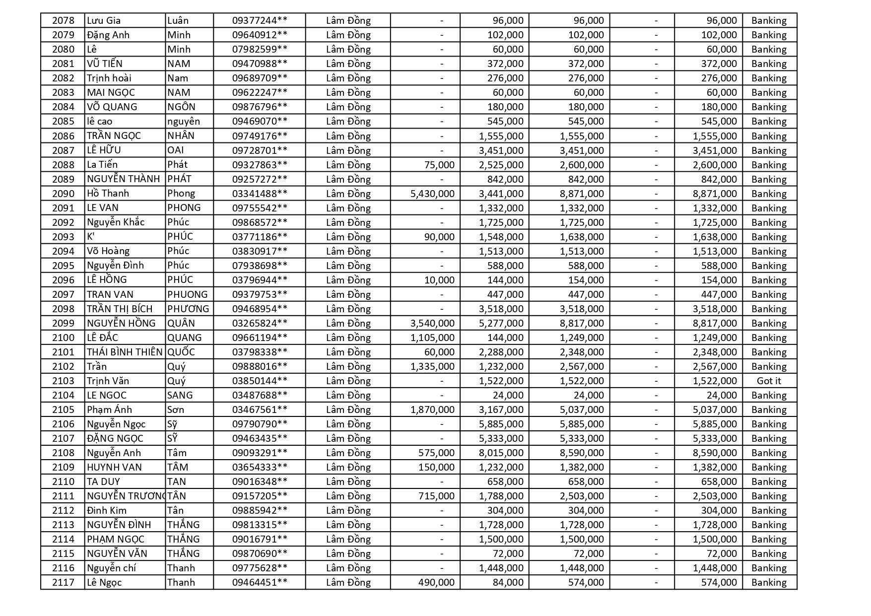
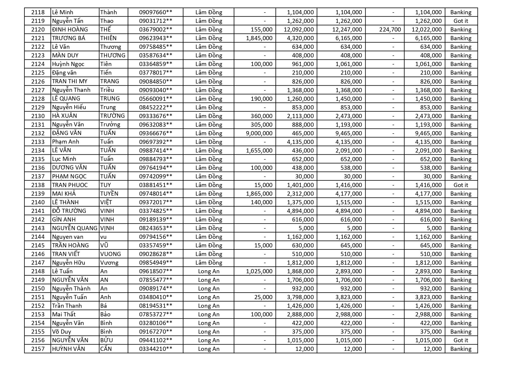
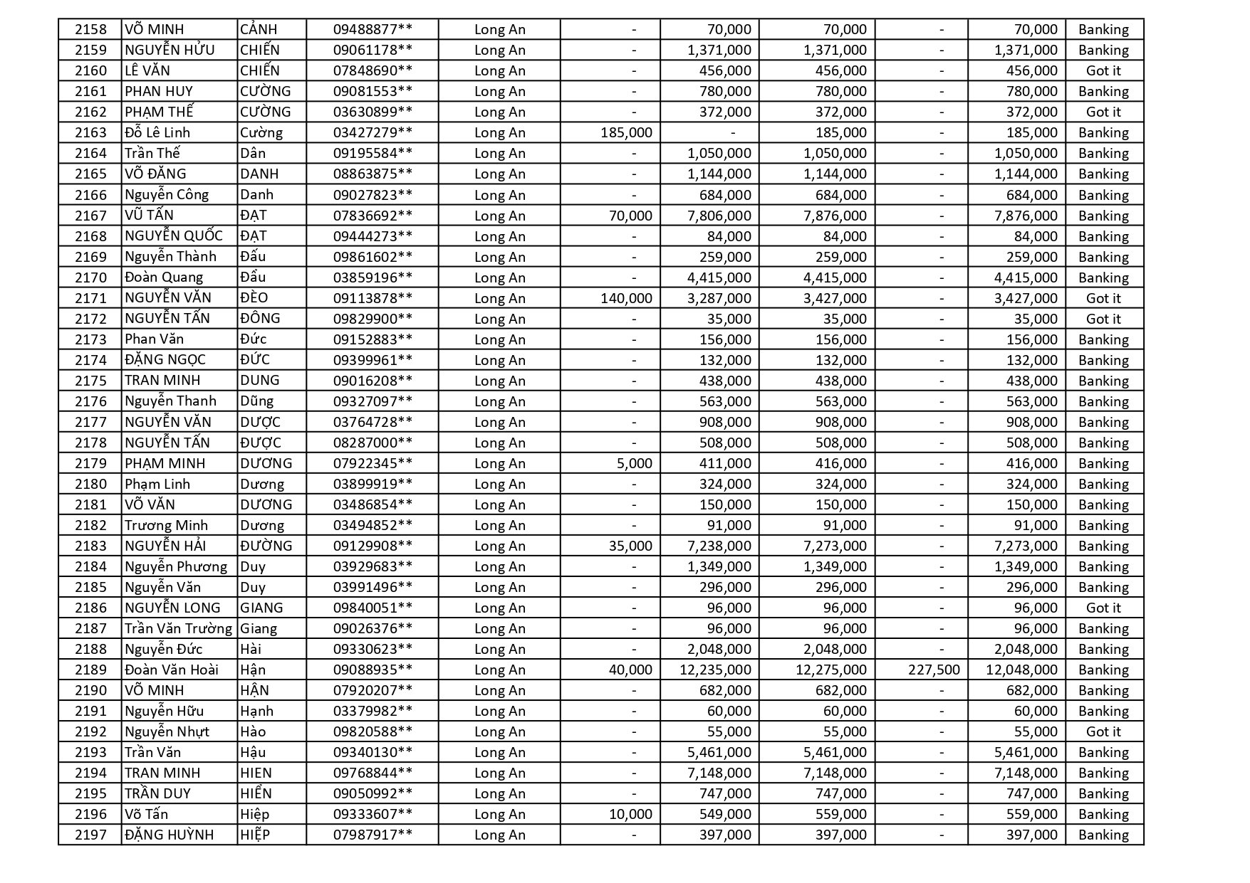
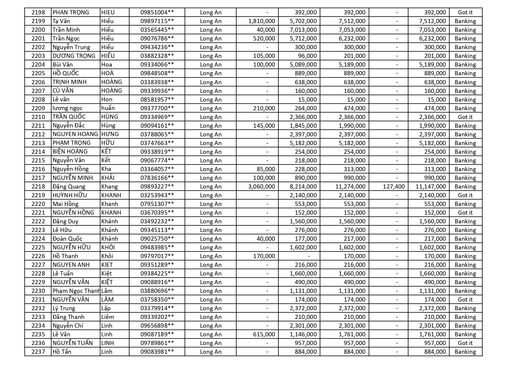
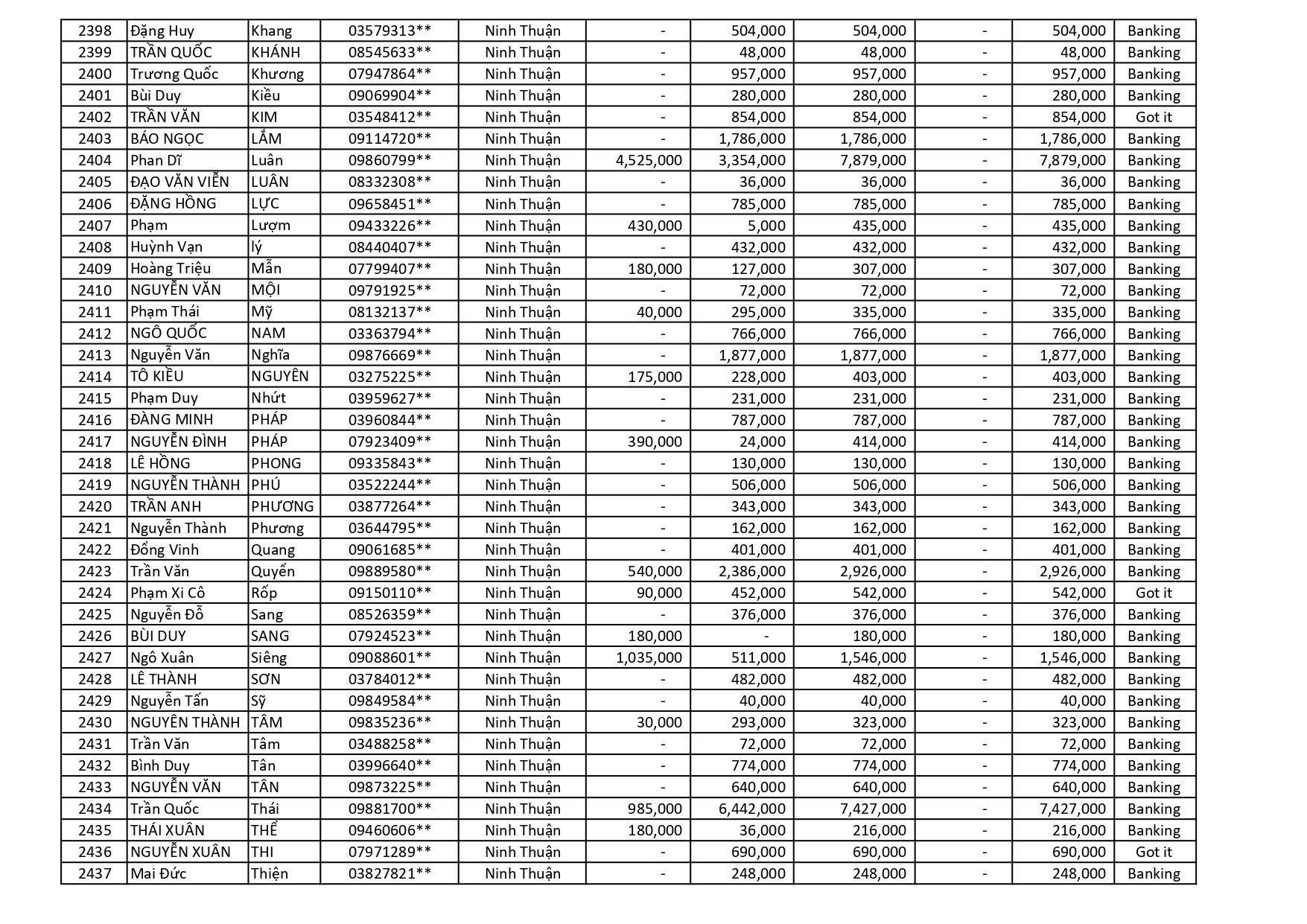
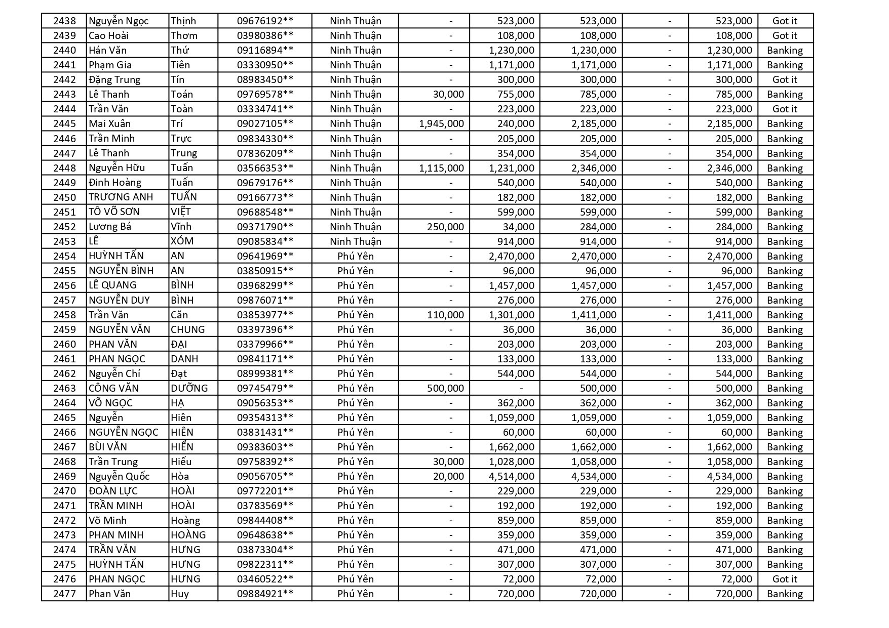
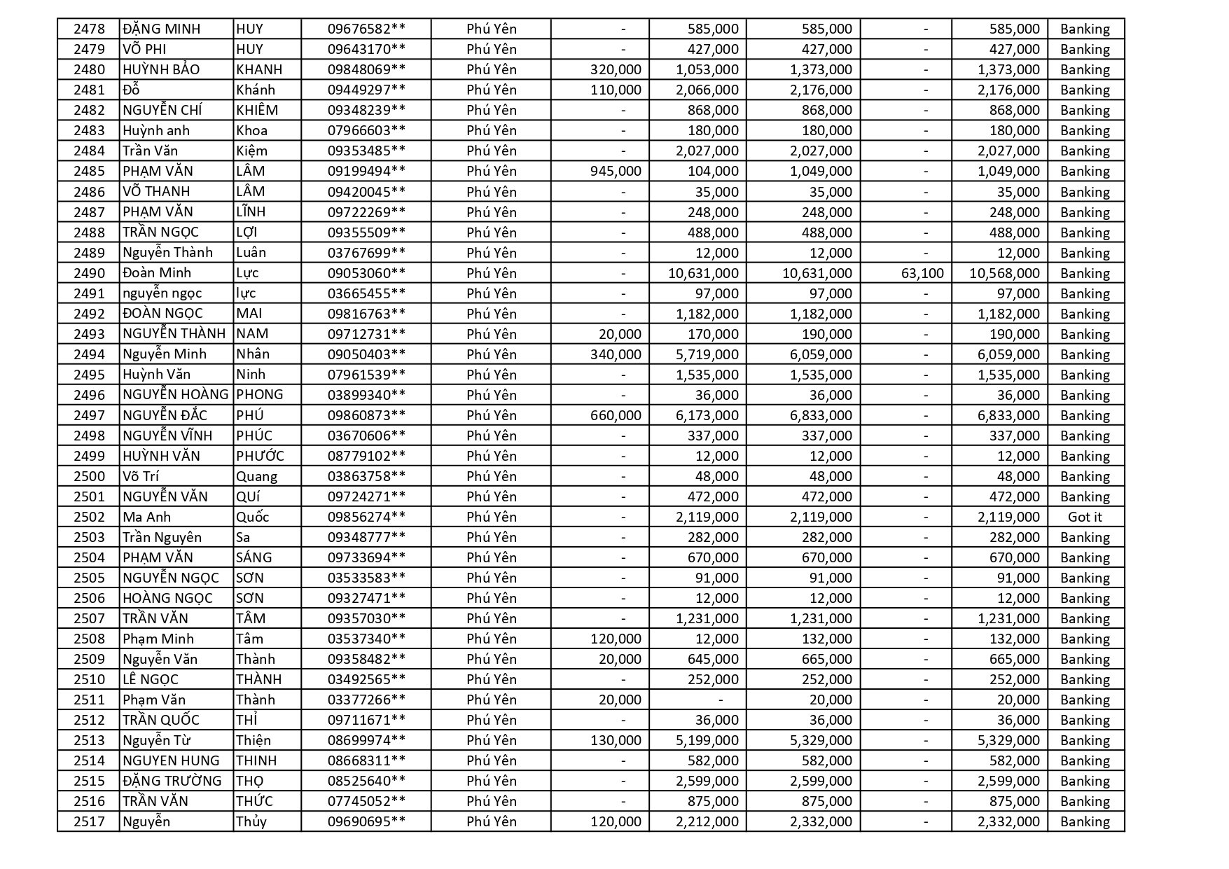
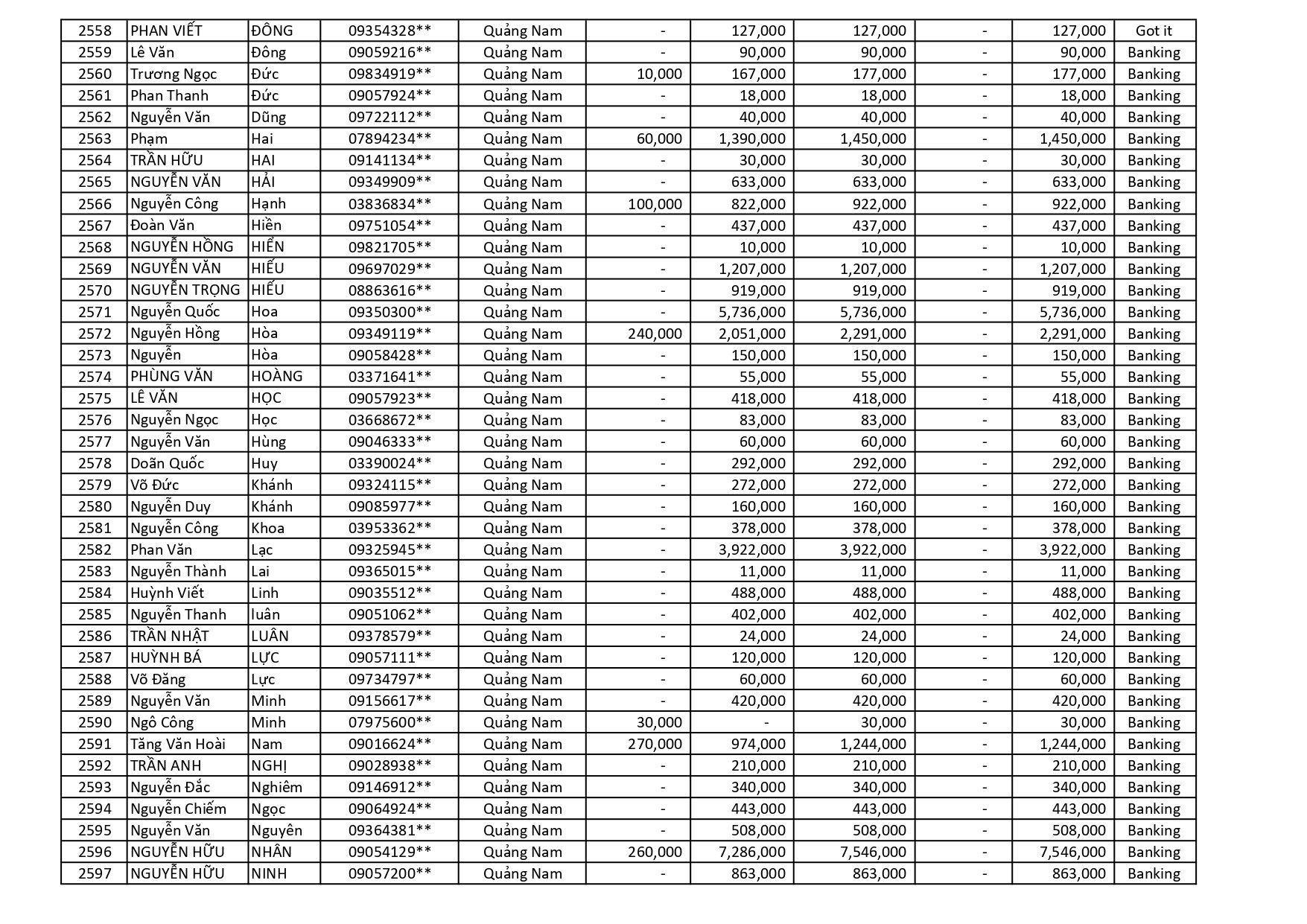
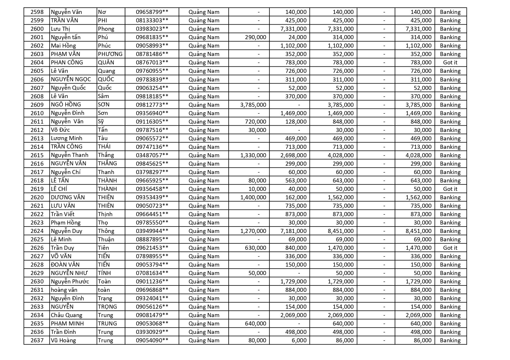
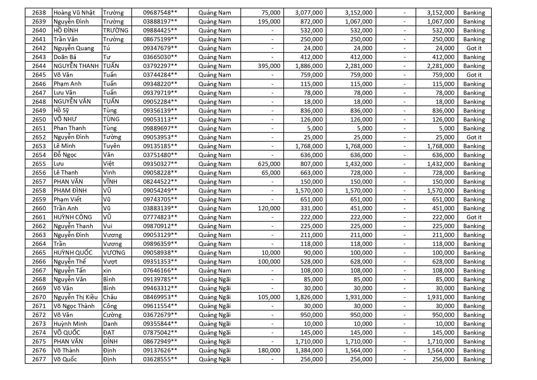
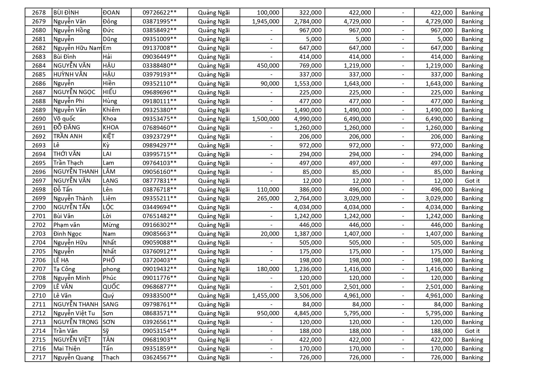
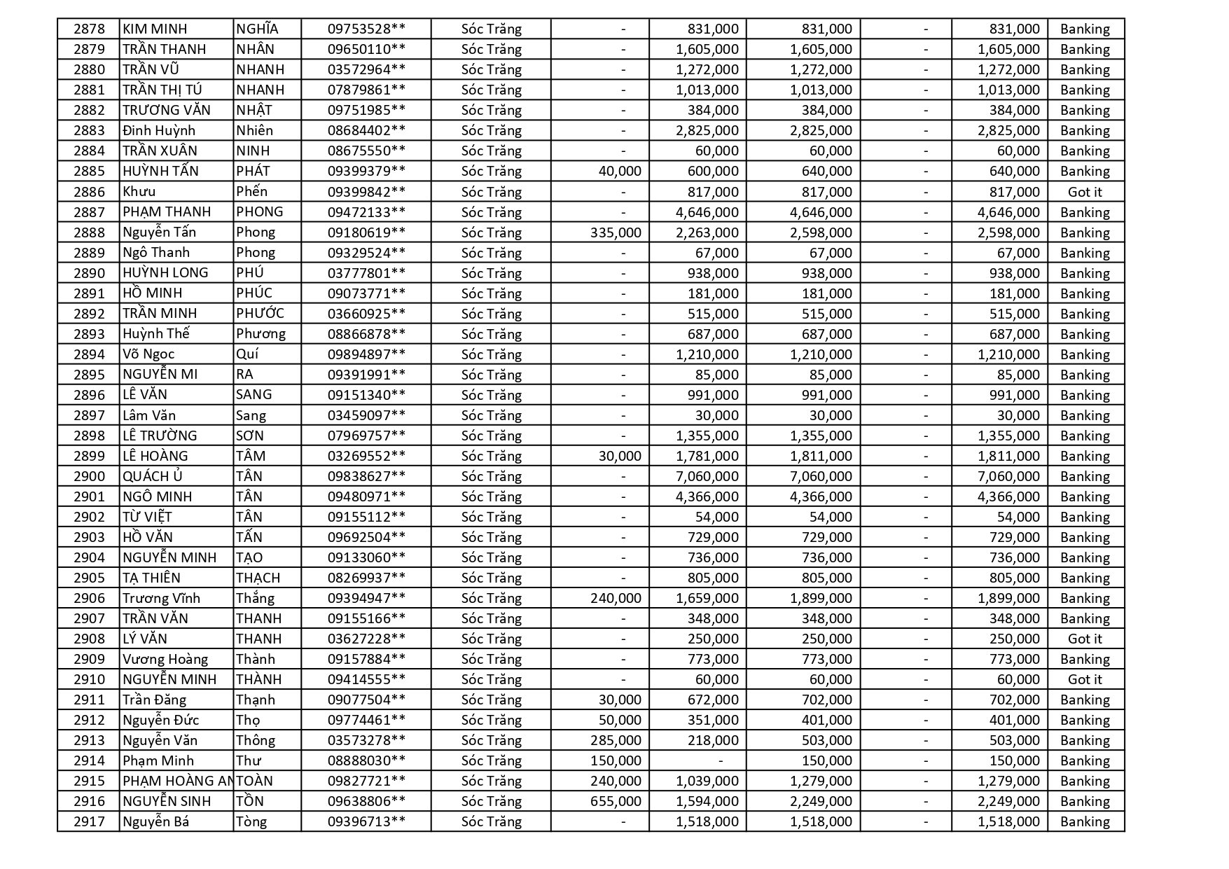
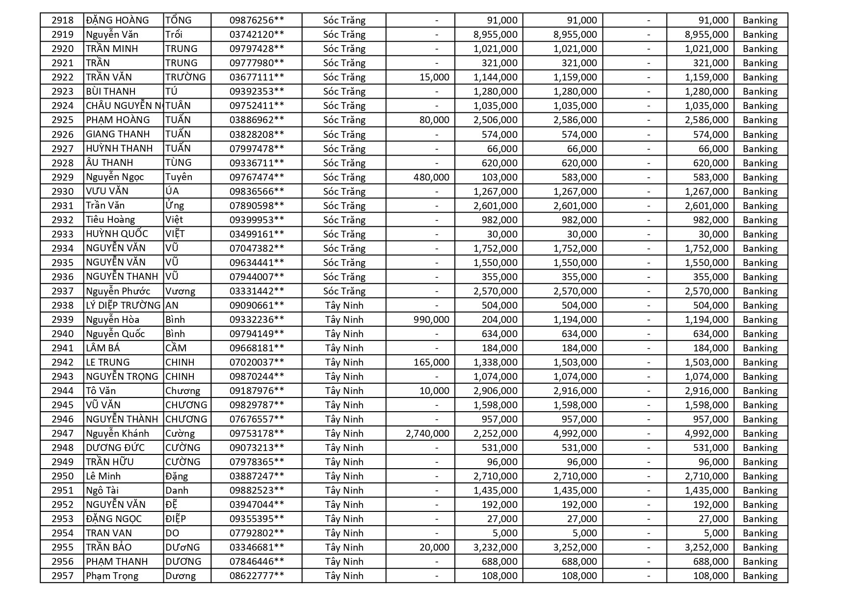
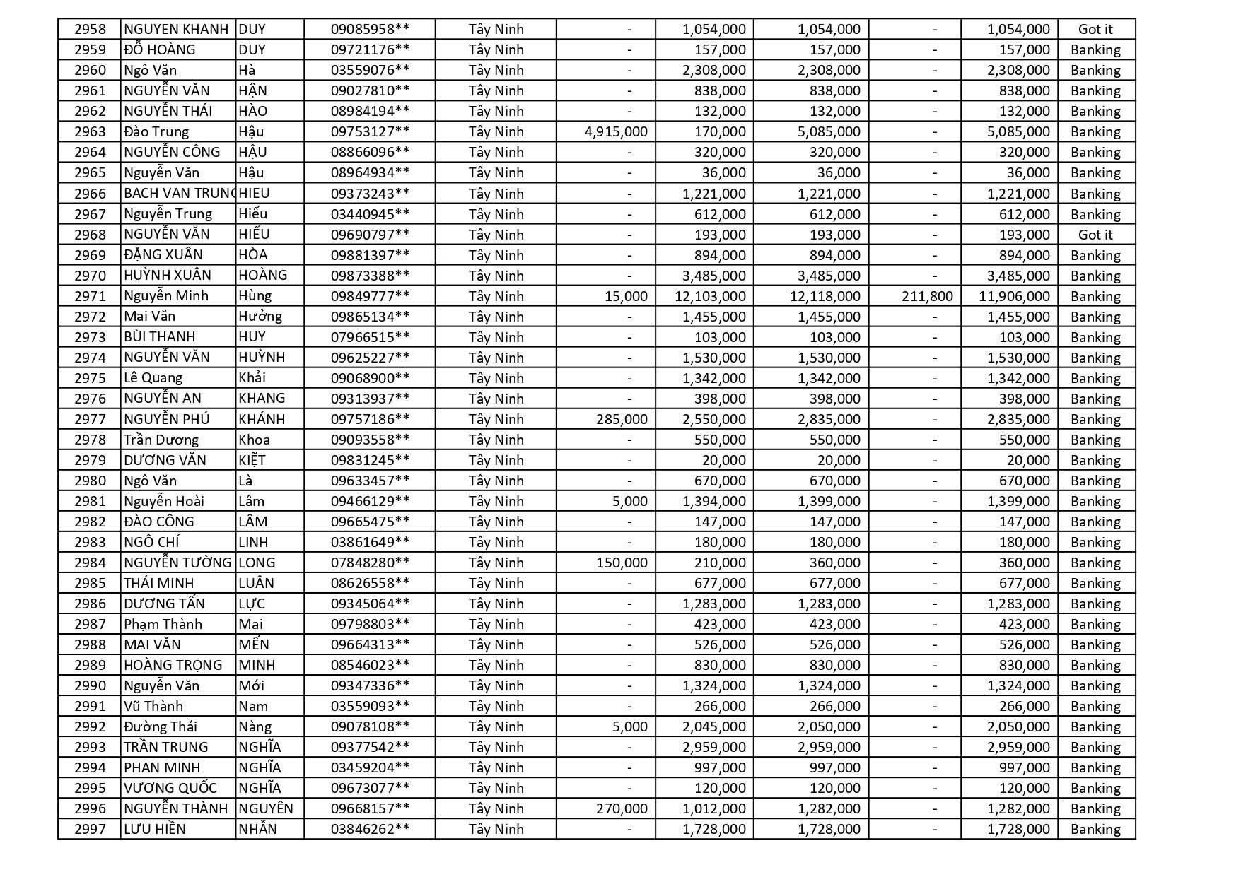
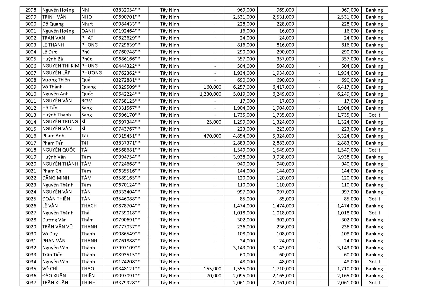
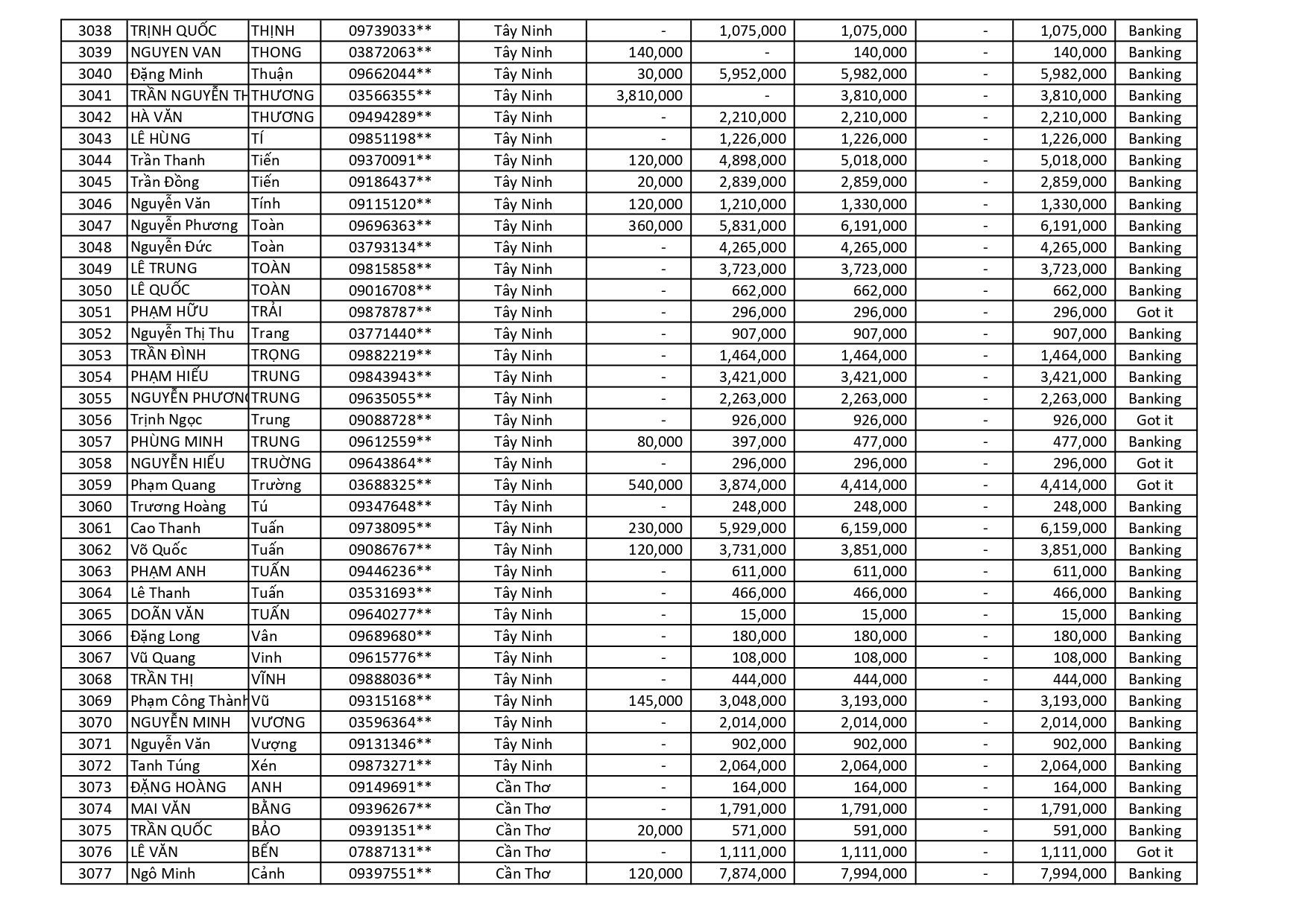
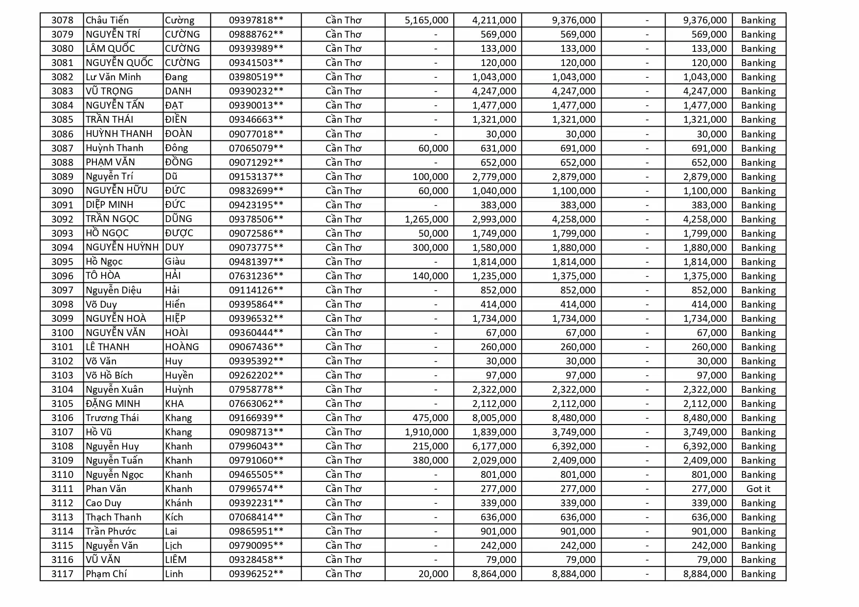
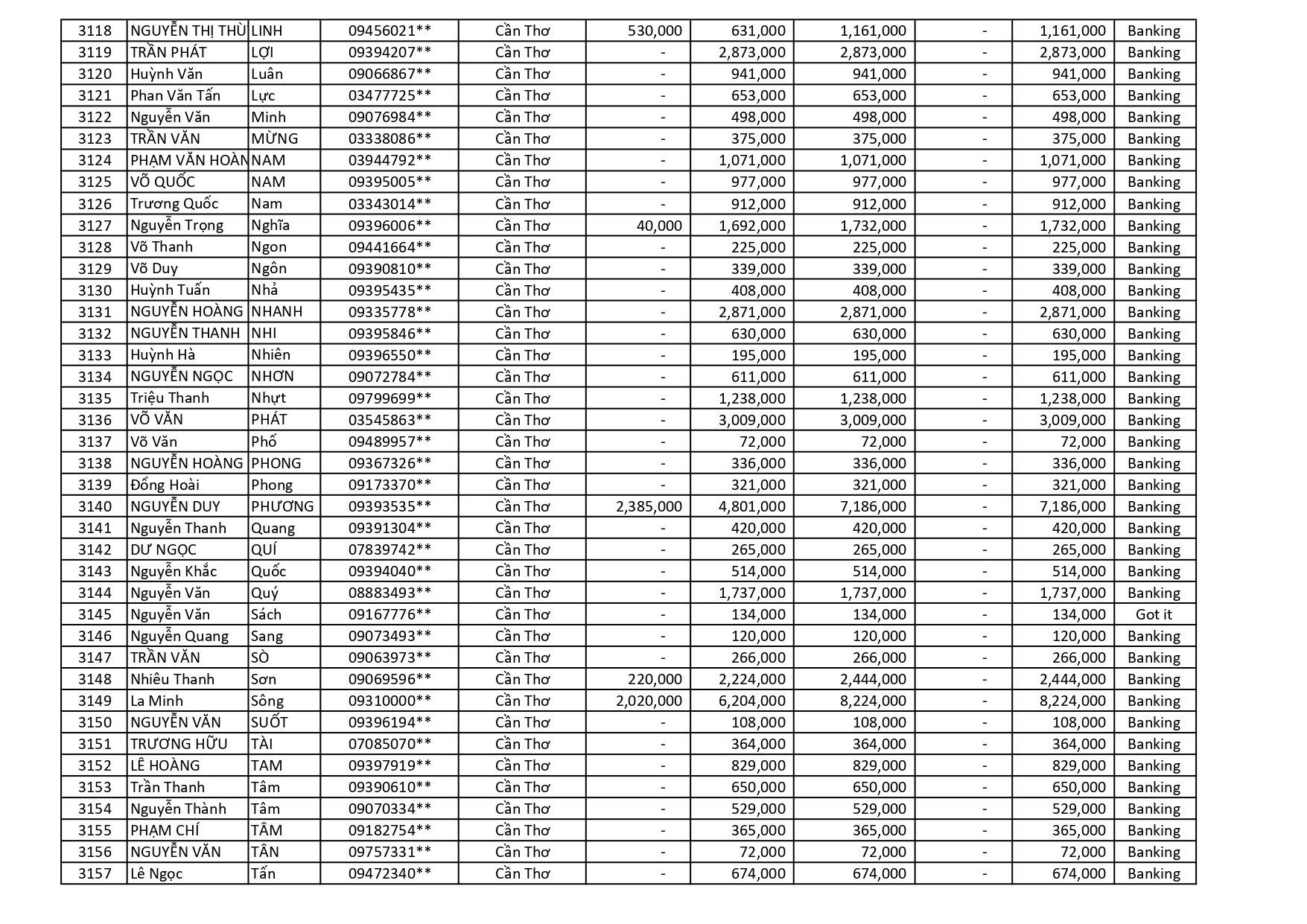
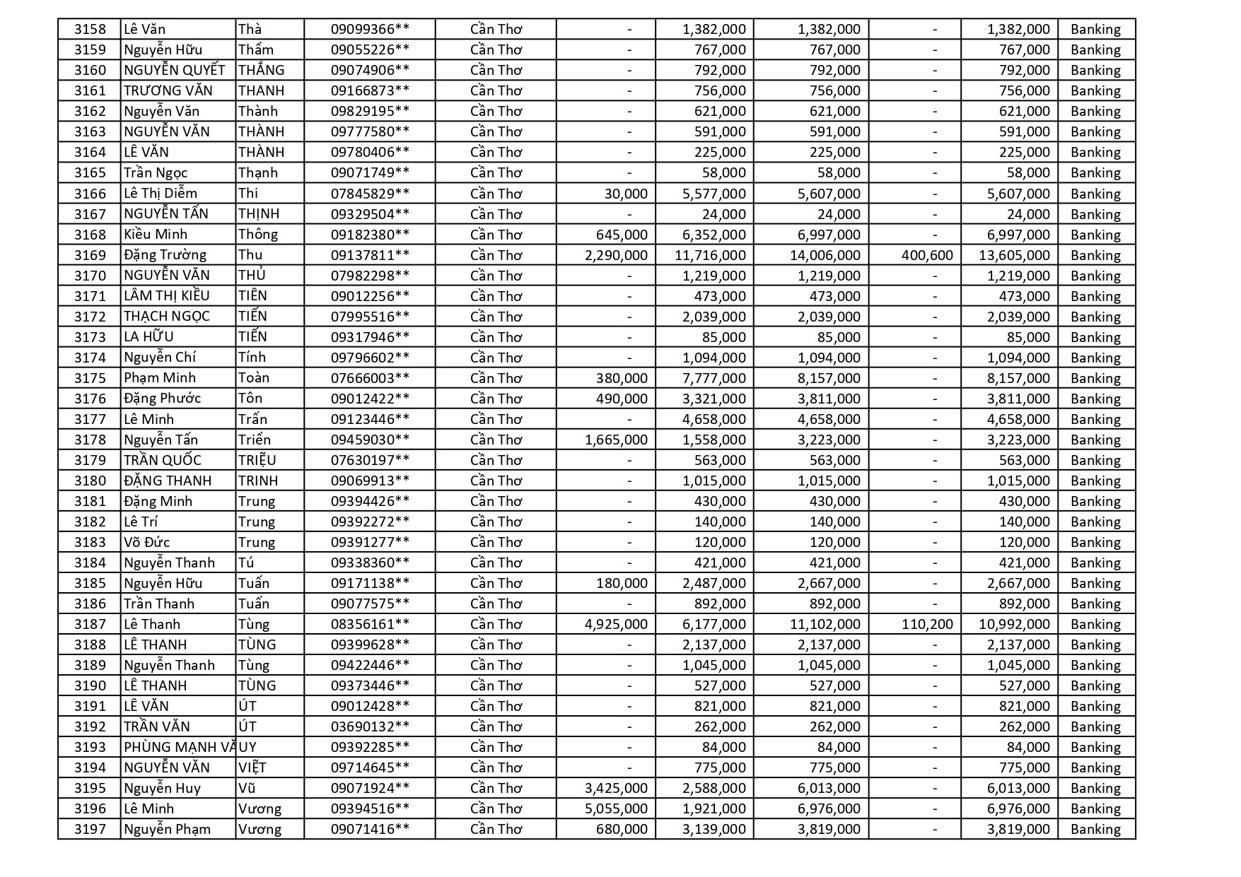
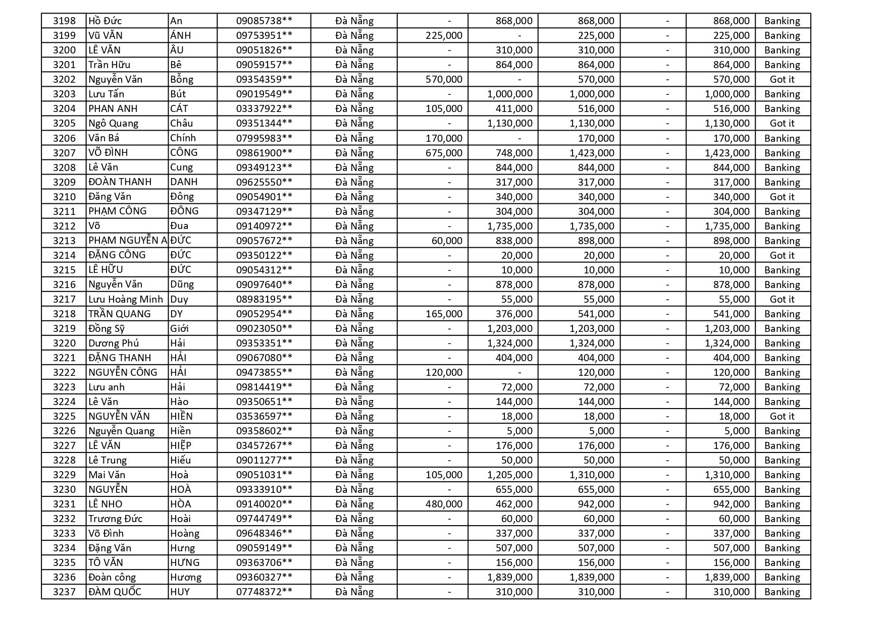
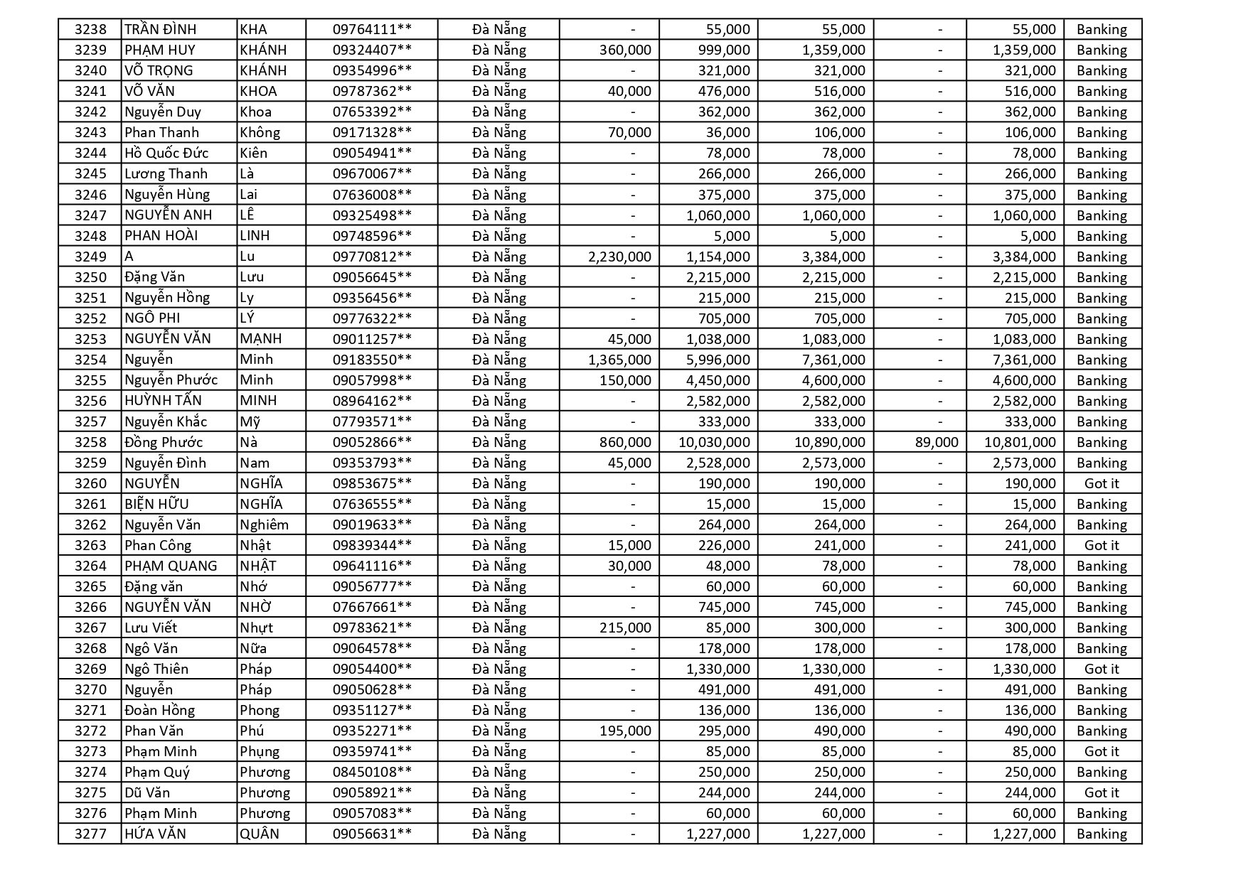
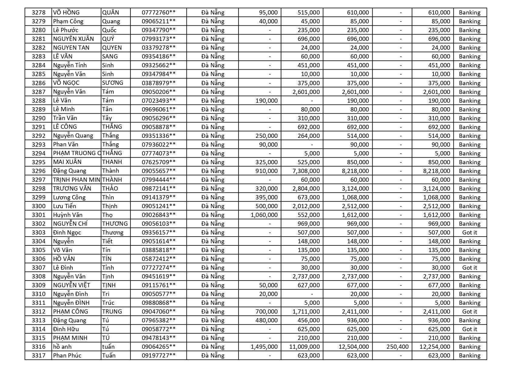
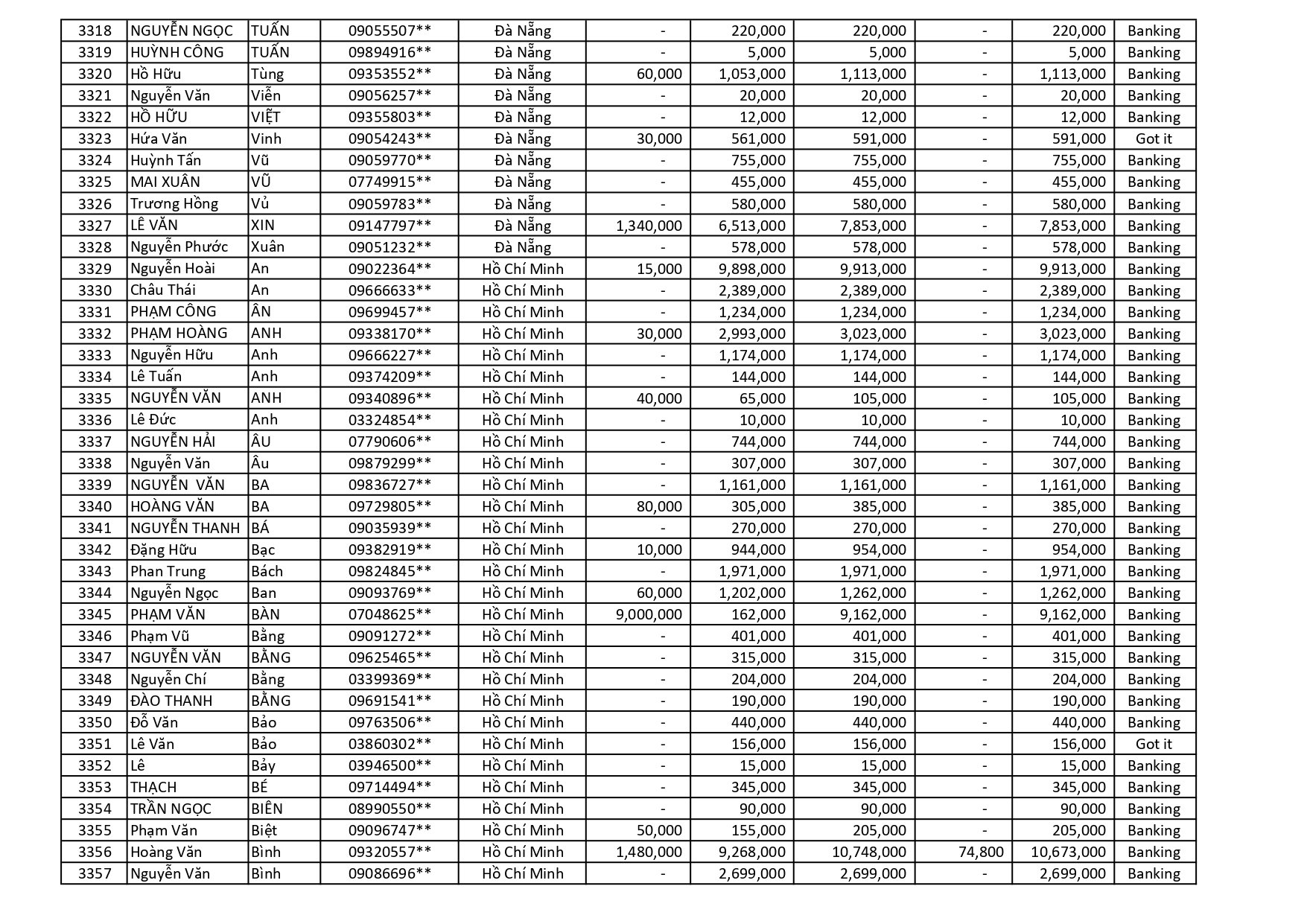
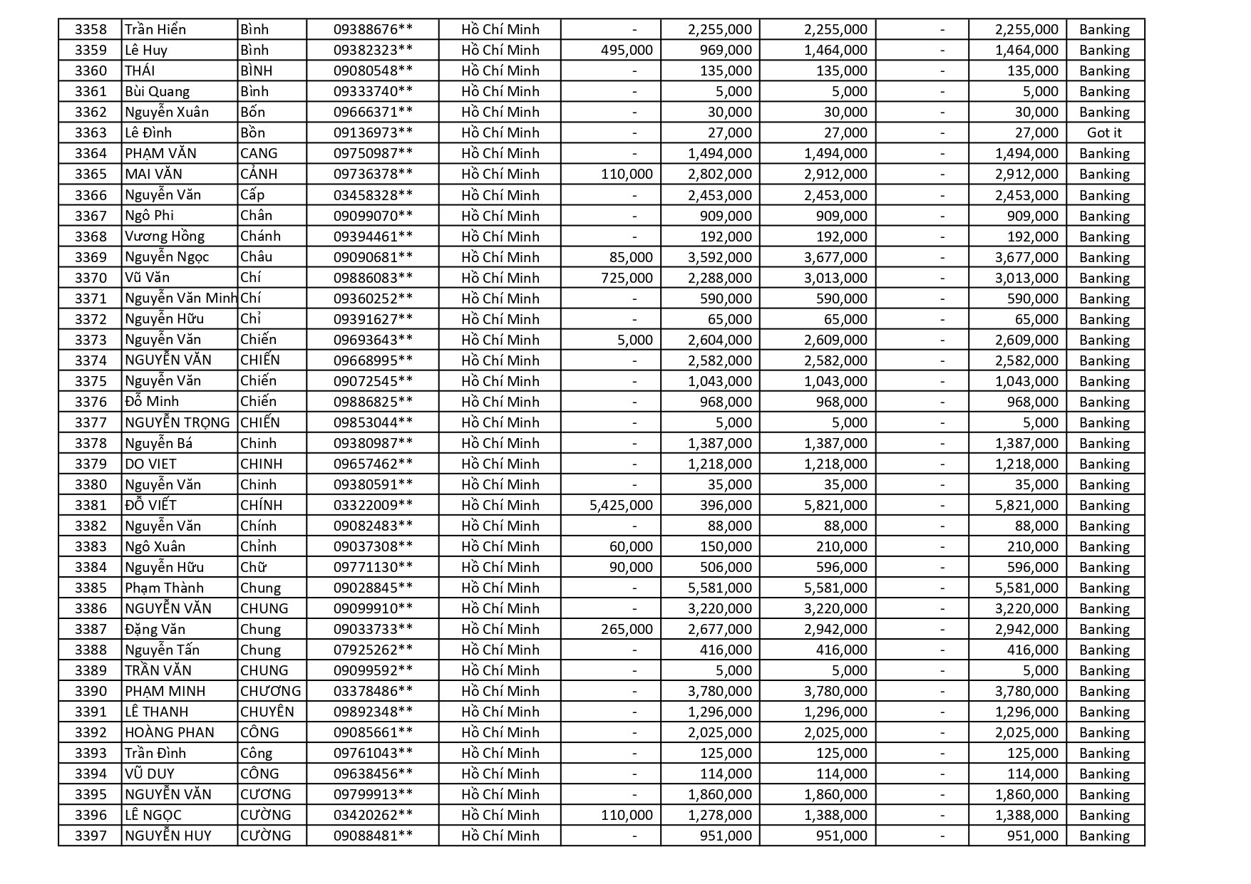
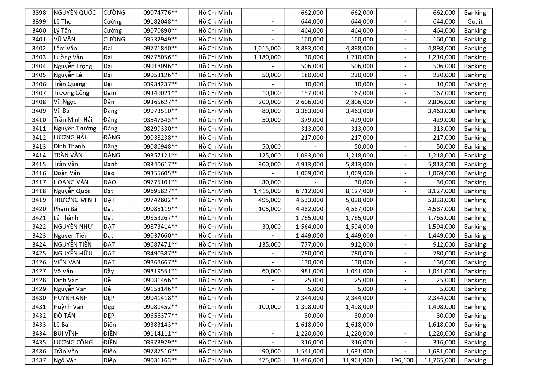
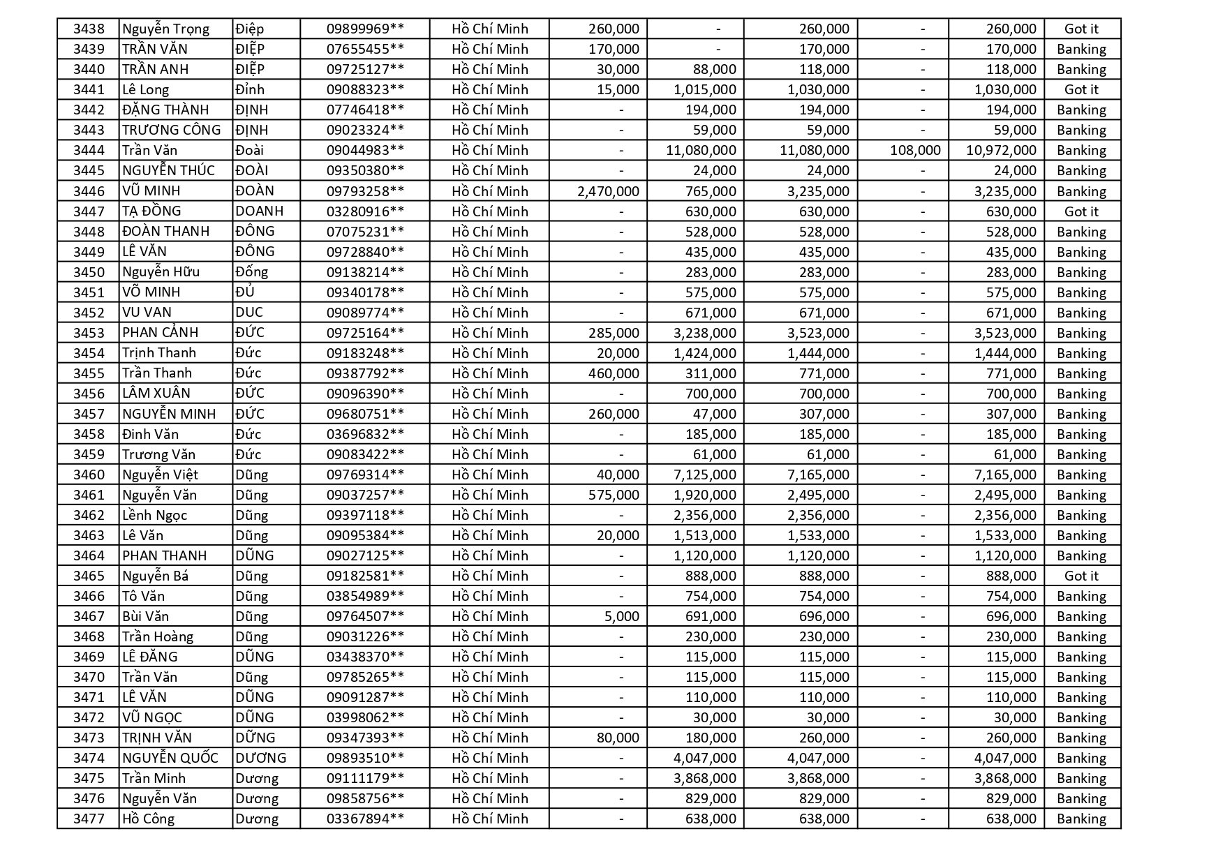
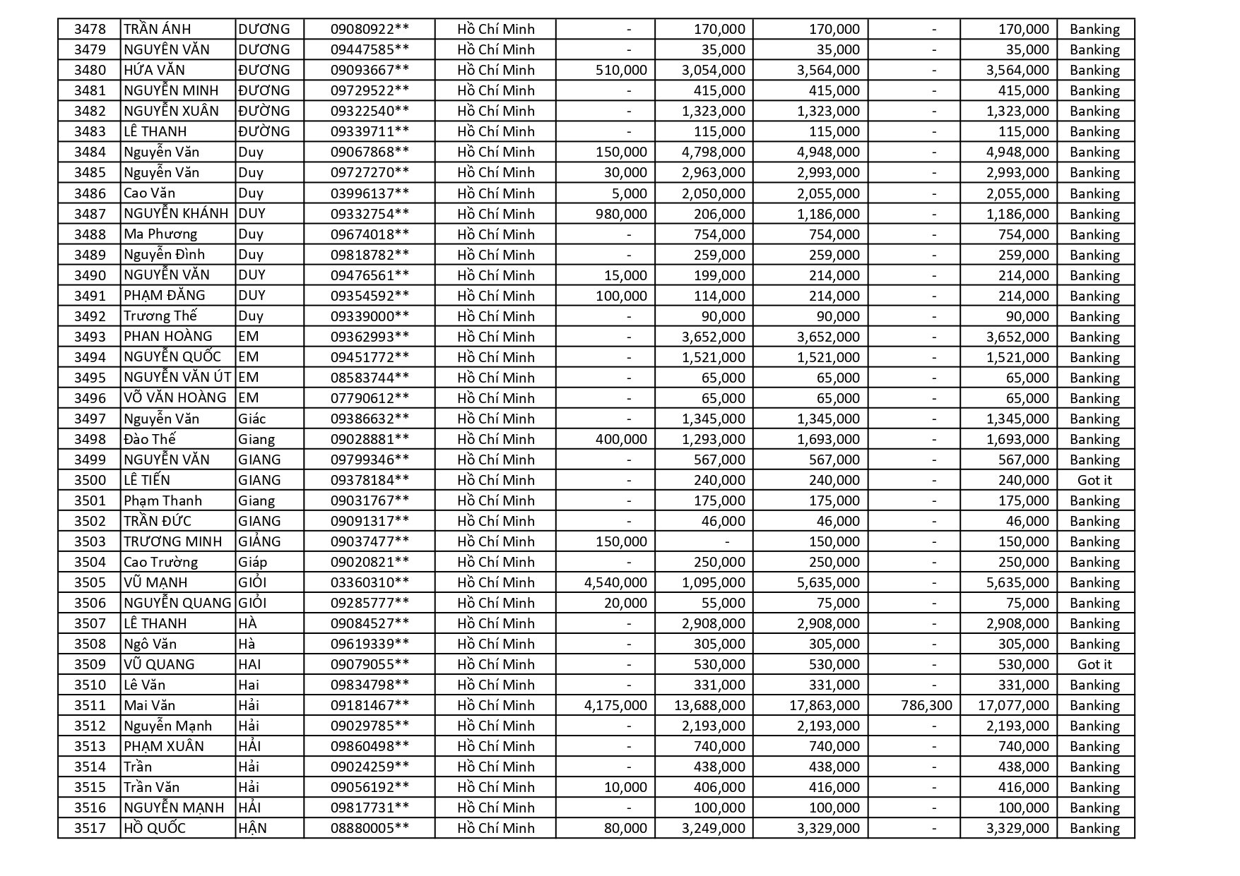
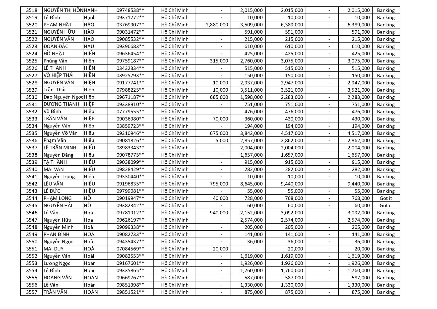
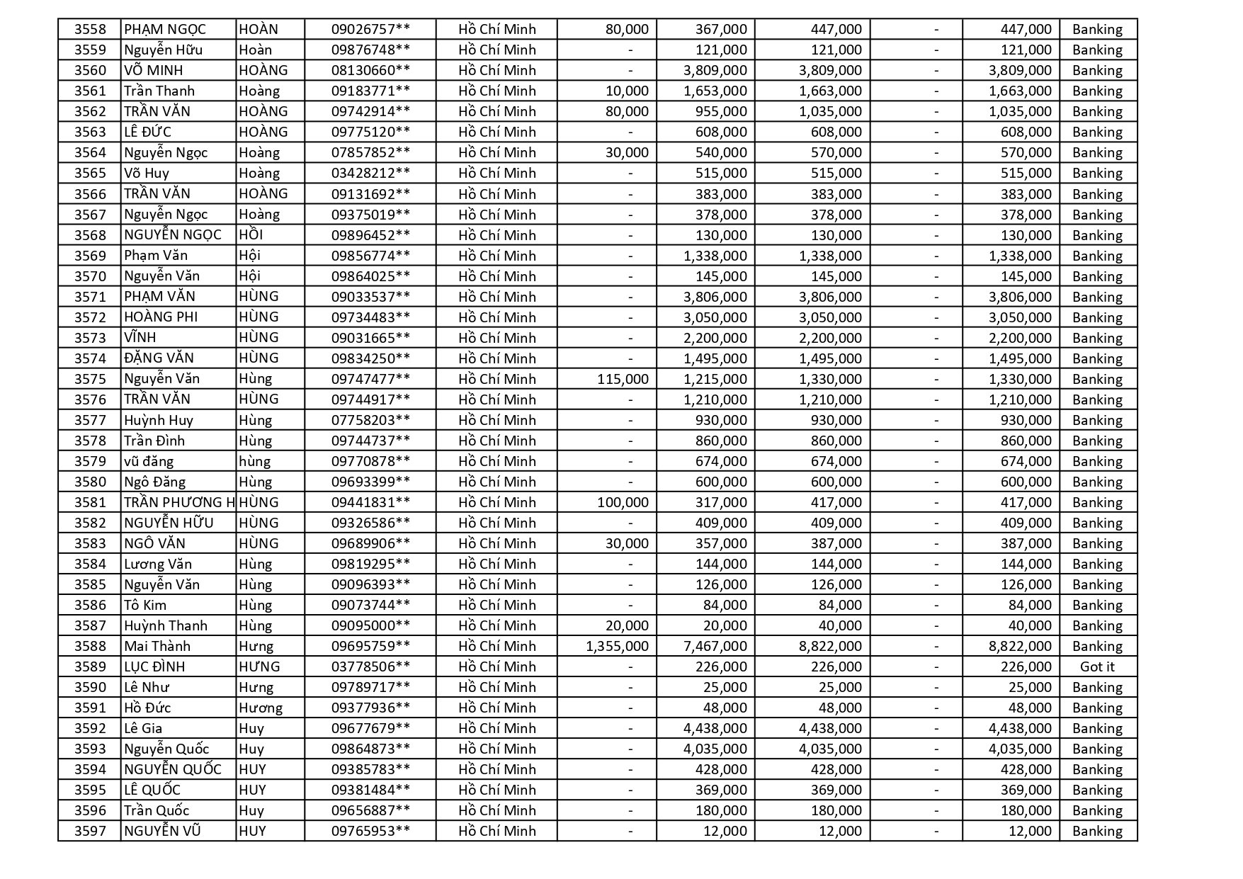
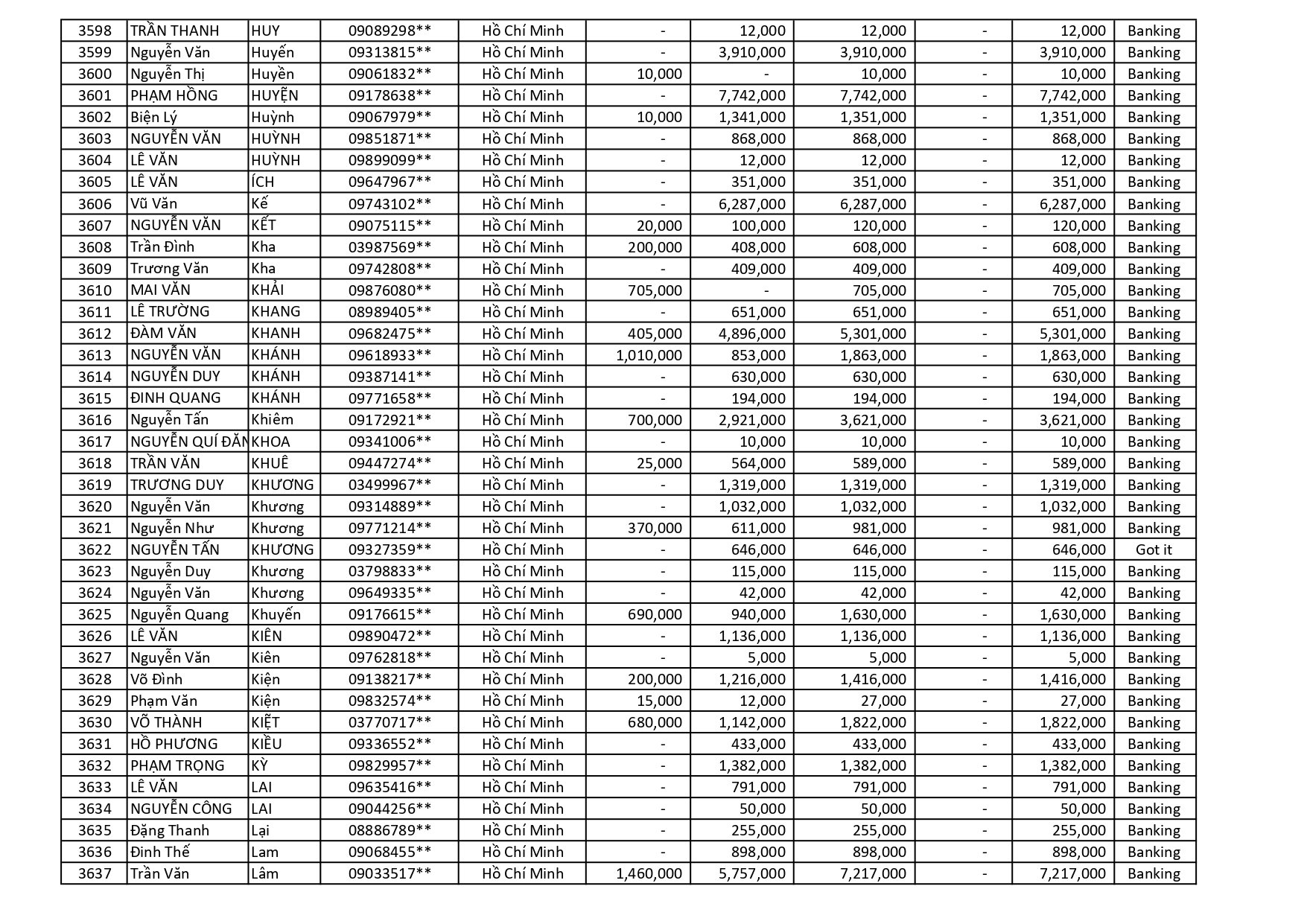
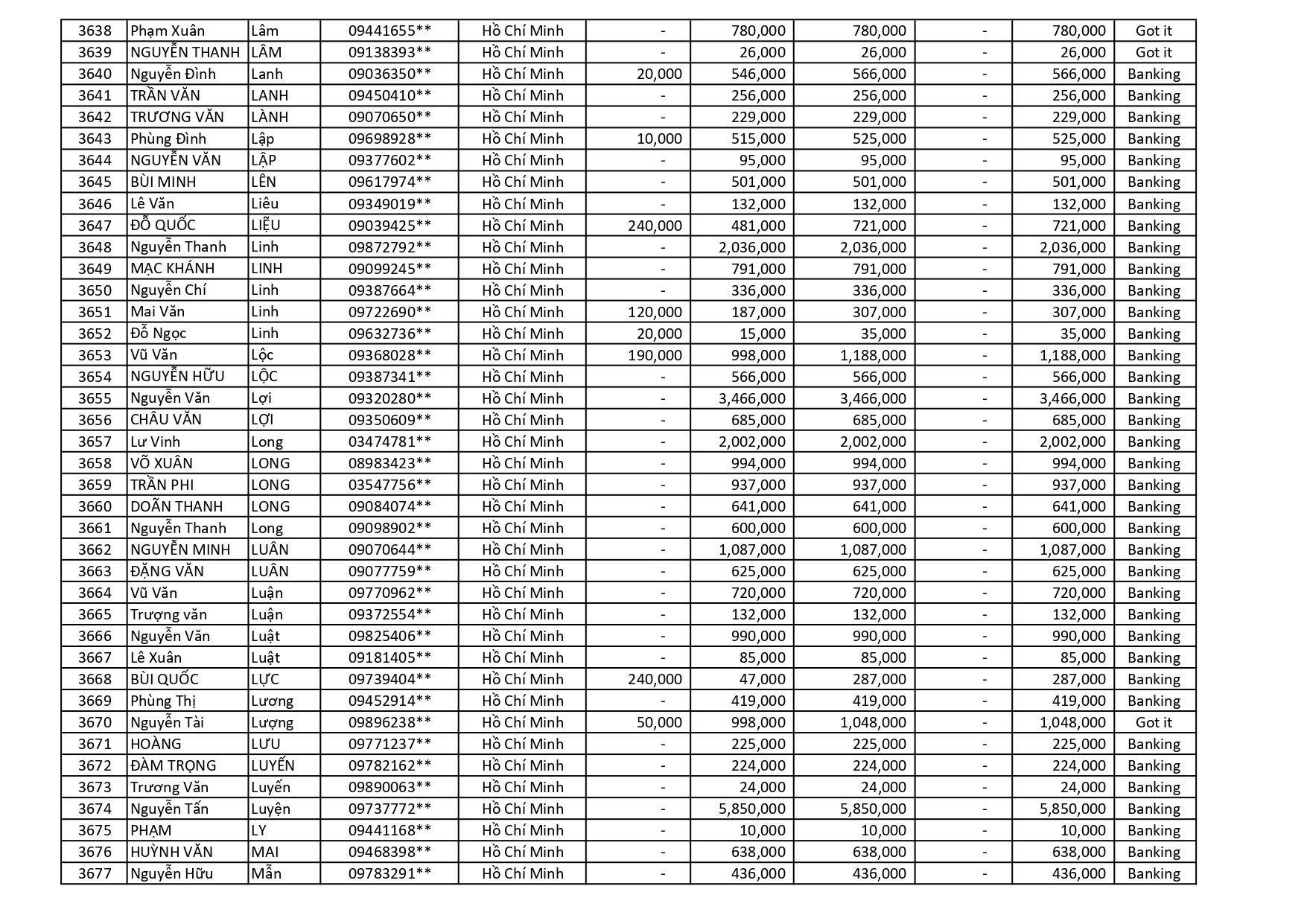
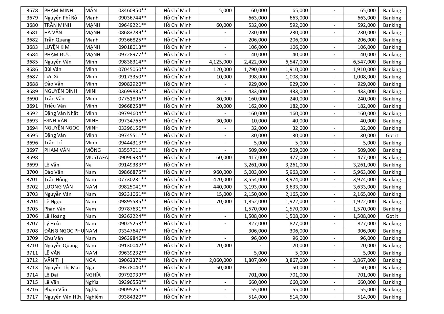
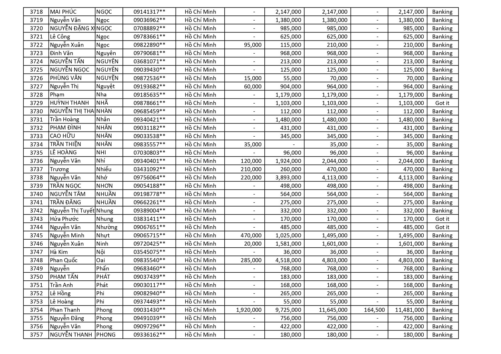
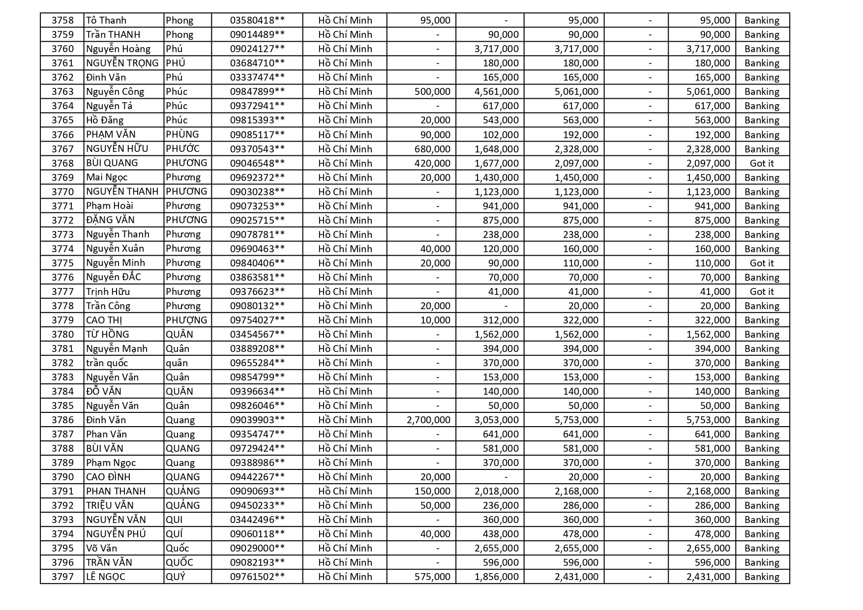
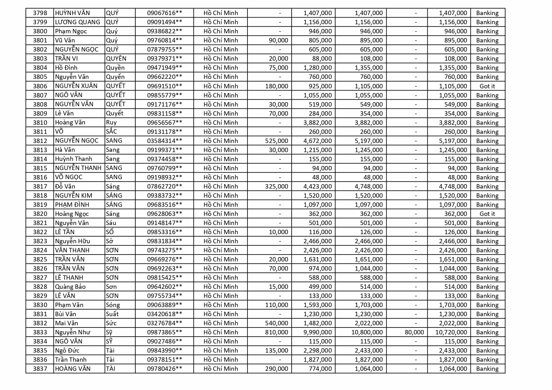
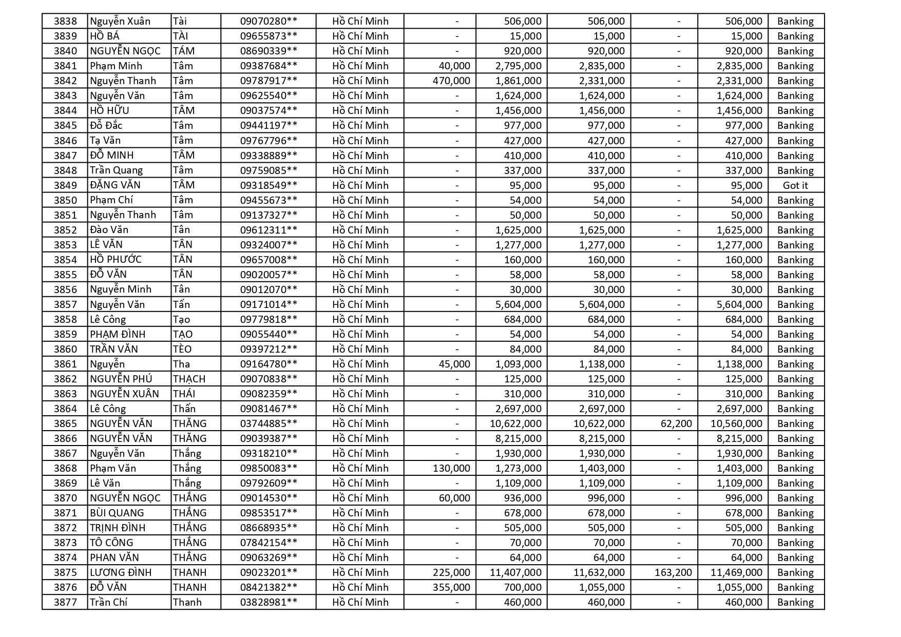
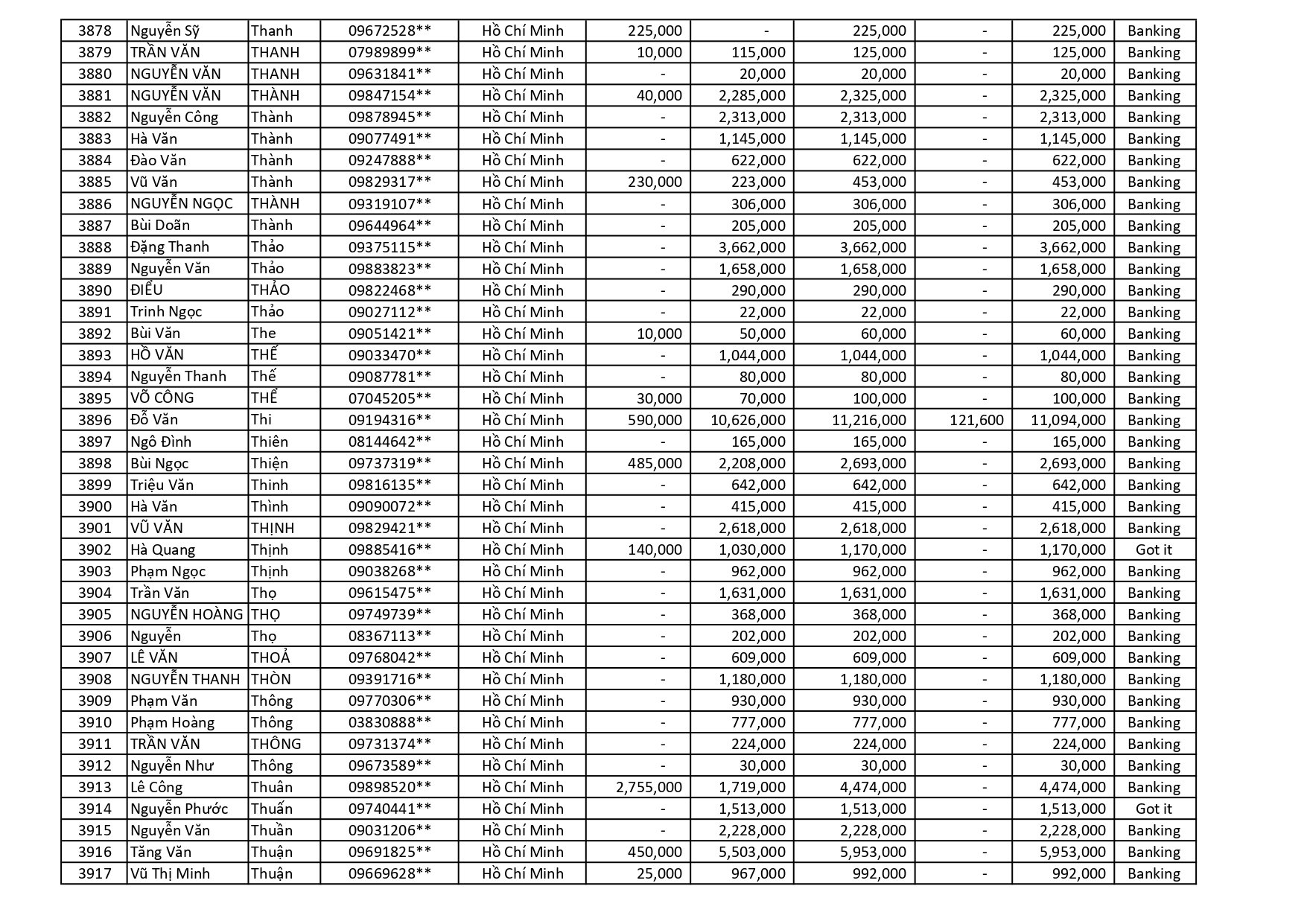
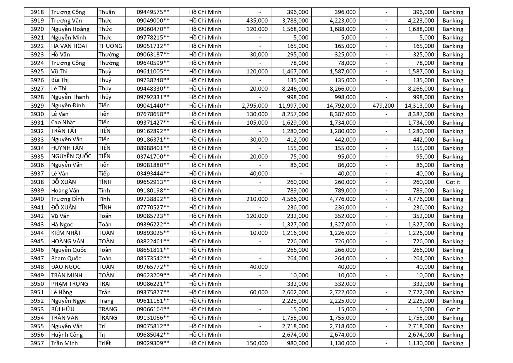
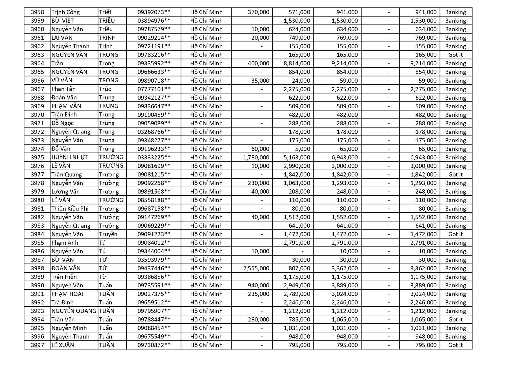
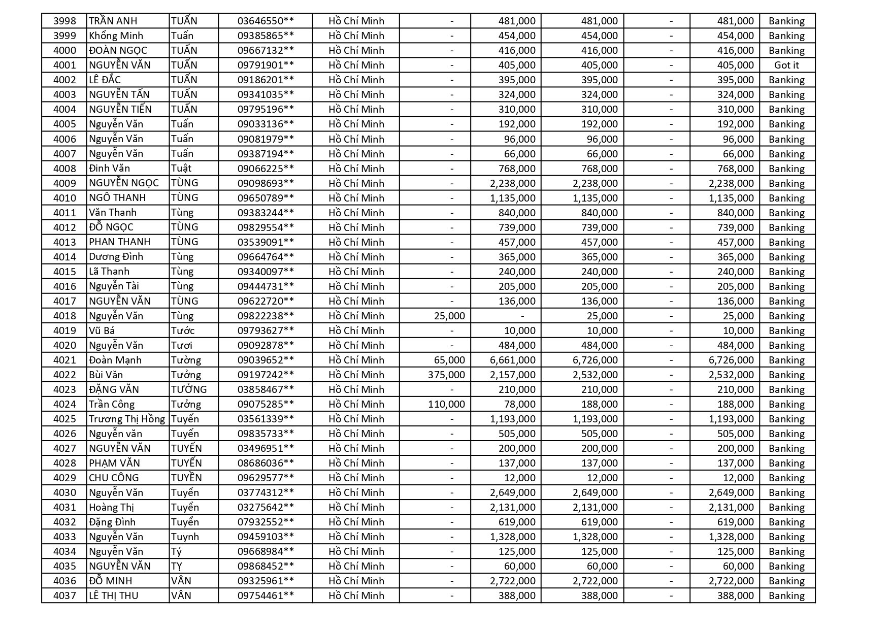
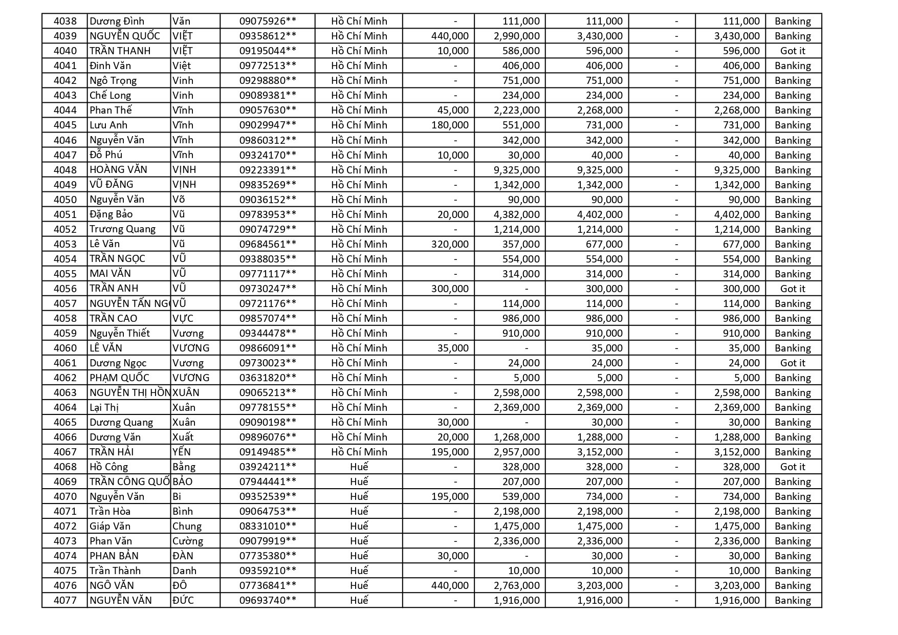
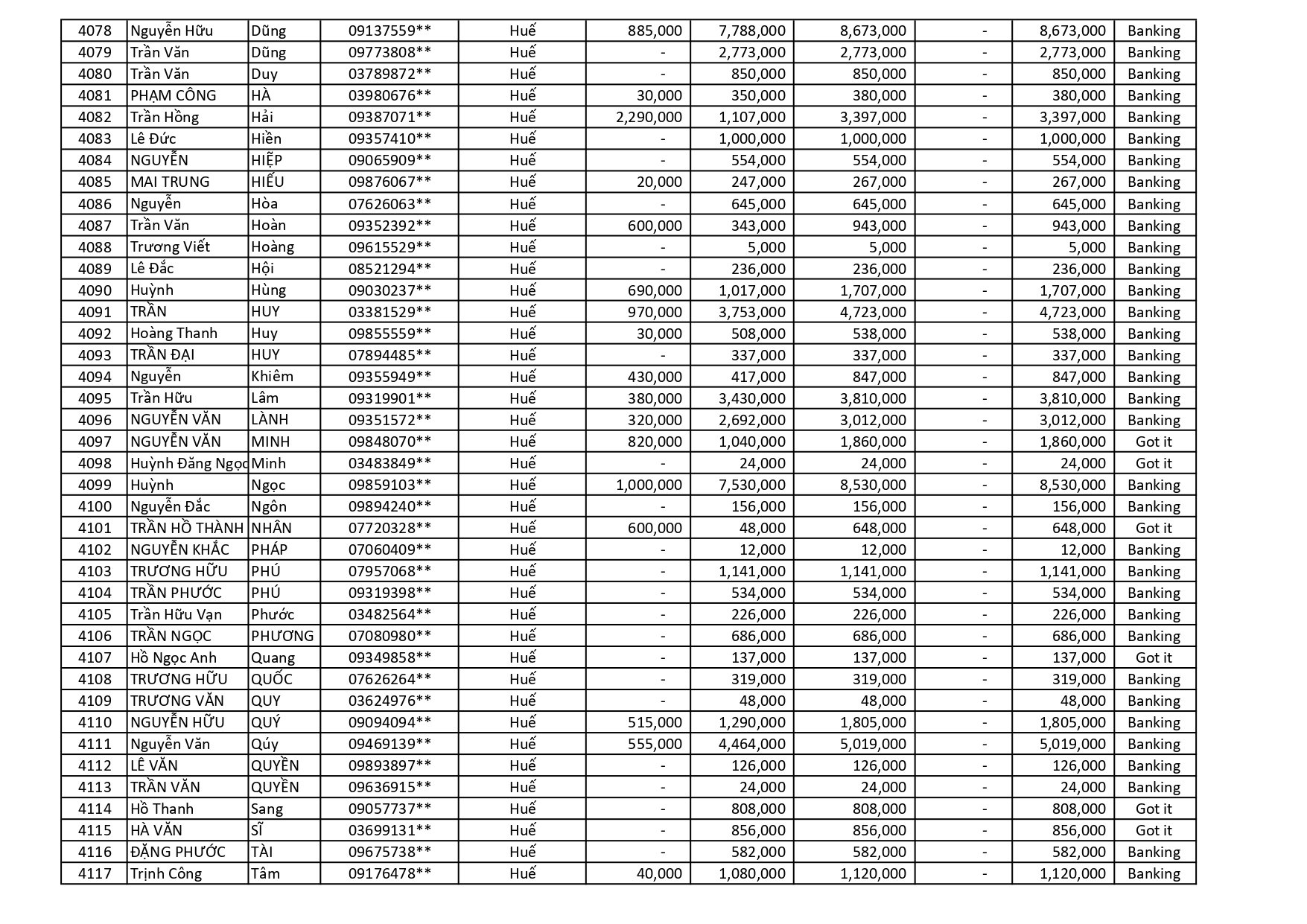
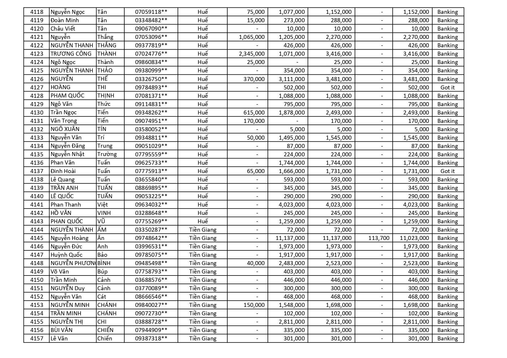
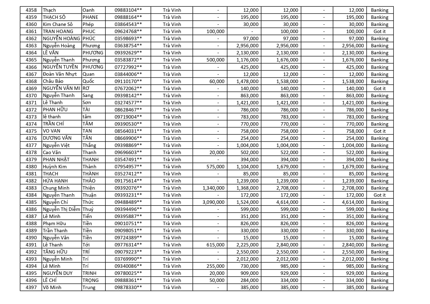
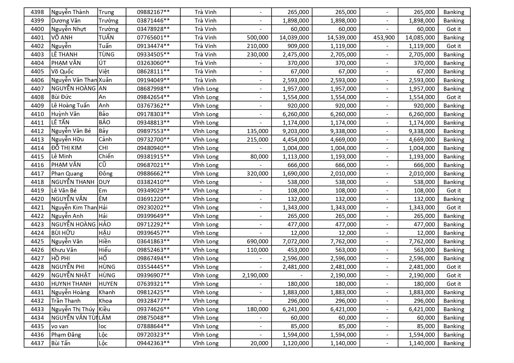
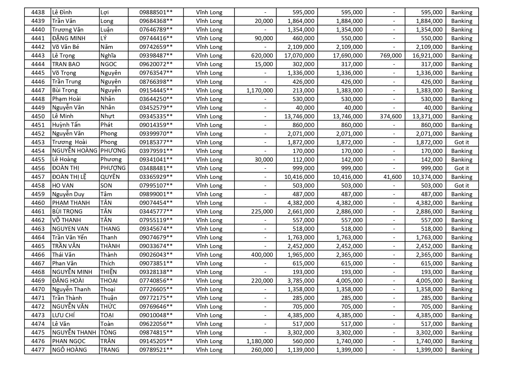
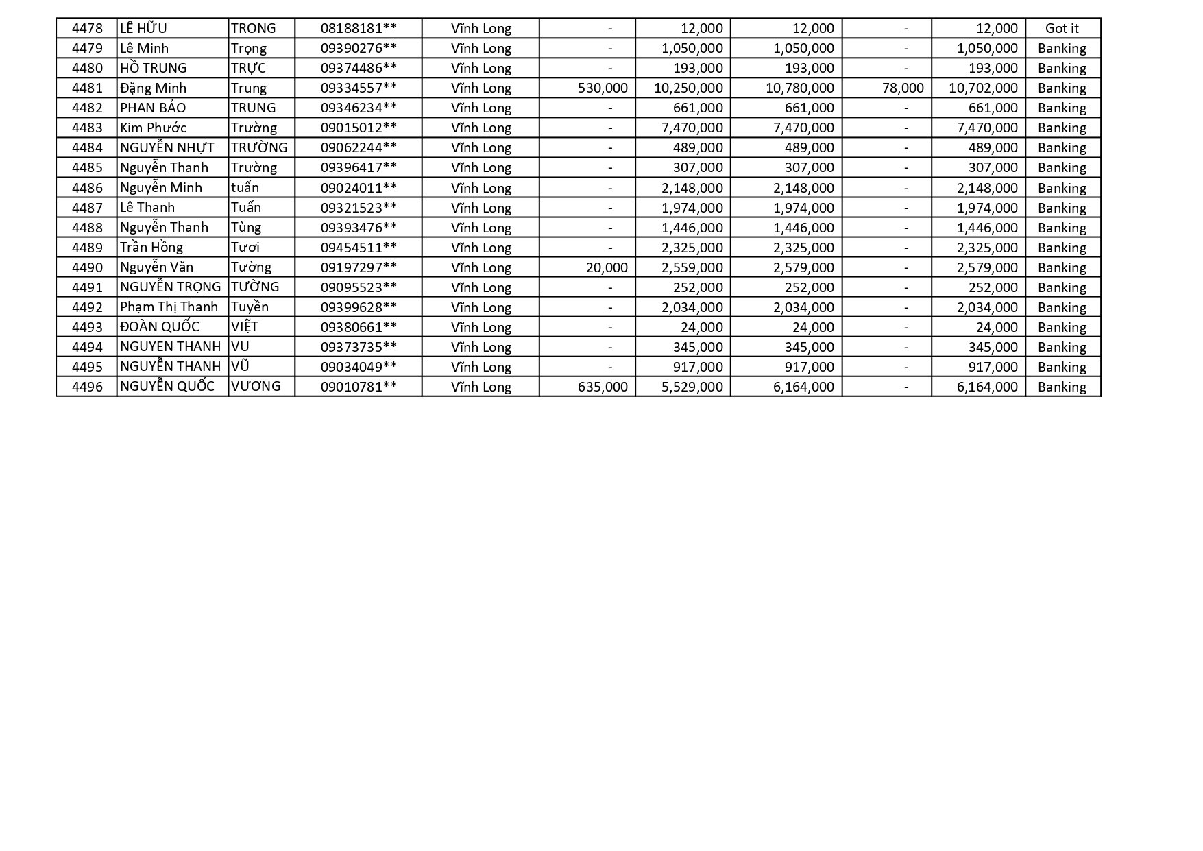
KẾT QUẢ CTKM HÈ ĐU ĐỈNH 01.04.2024 – 30.04.2024 [MIỀN NAM]
[MIỀN NAM] KẾT QUẢ CTKM HÈ ĐU ĐỈNH 01.04.2024 – 30.04.2024
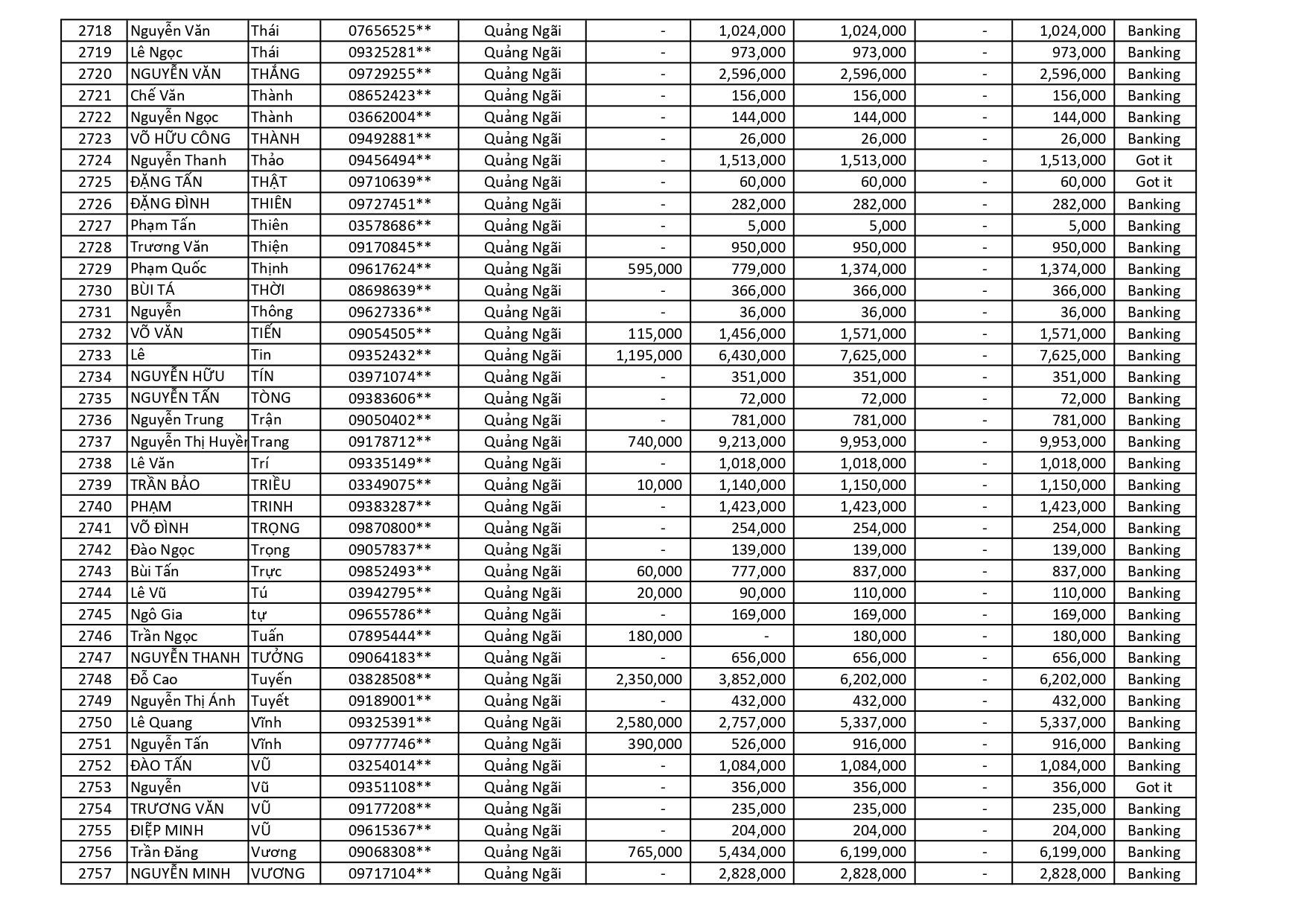
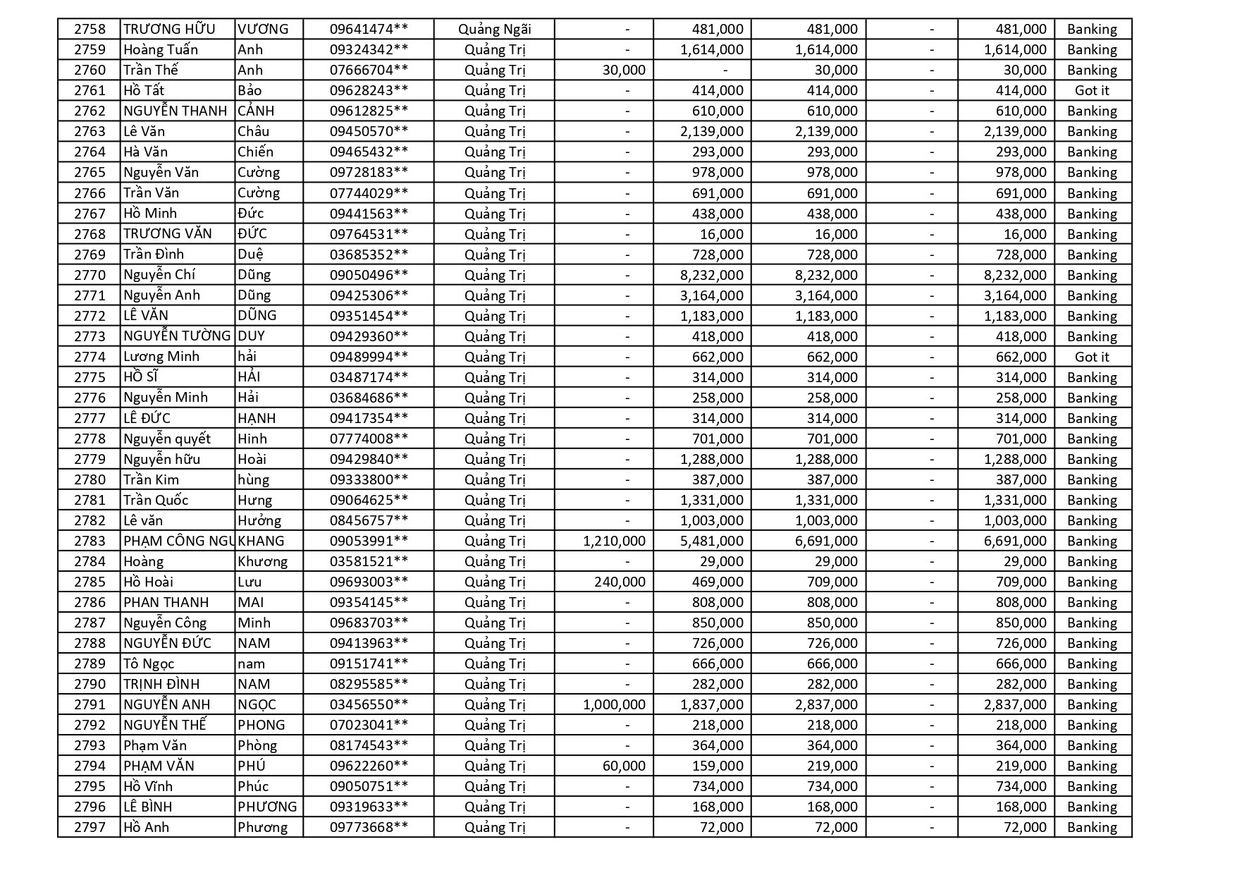
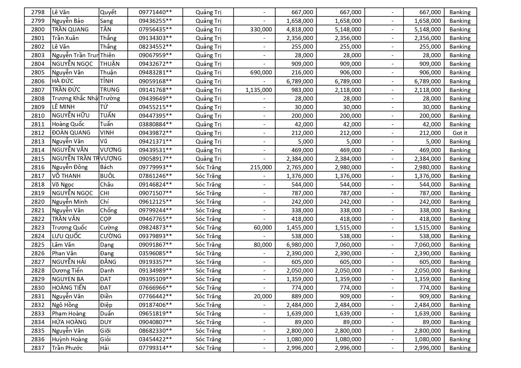
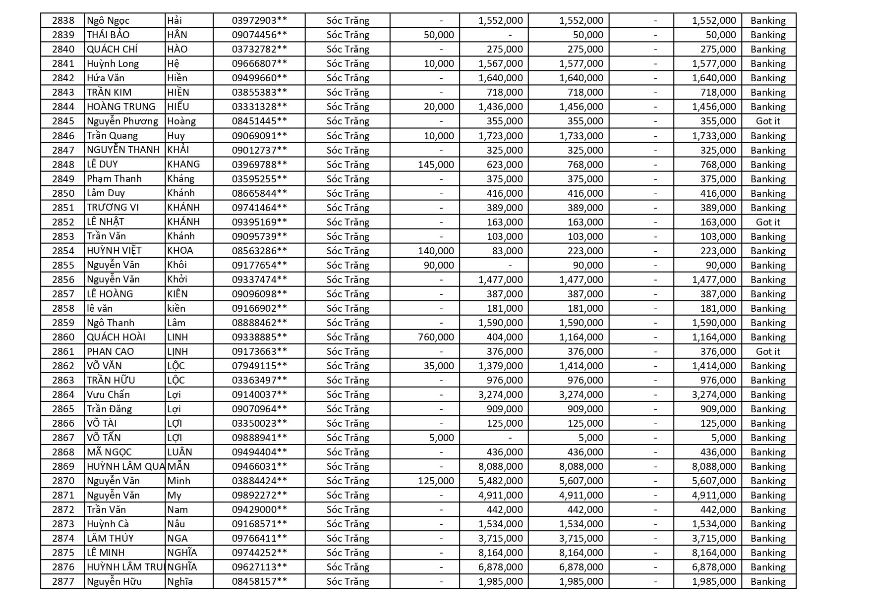
Vĩnh Tường cập nhật danh sách kết quả Chương Trình Khuyến Mãi HÈ ĐU ĐỈNH 01.04.2024 – 30.04.2024.
*Với quà tặng là Phiếu mua hàng/Chuyển khoản sẽ được chuyển đến khách hàng muộn nhất là 15 ngày sau ngày công bố kết quả.



























































































































